相关产品推荐更多 >
万千商家帮你免费找货
0 人在求购买到急需产品
- 详细信息
- 文献和实验
- 技术资料
- 库存:
15
- 英文名:
Biotin-4-fluorescein
- CAS号:
1032732-74-3
- 保质期:
5年
- 供应商:
上海烜雅生物科技有限公司
- 保存条件:
-20℃
- 规格:
10 mg
产品概述:
产品名称:Biotin-4-fluorescein(生物素-4-荧光素)
产品规格:10 mg
产品应用方向:标记亲和素及链霉亲和素
产品保存条件:-20℃避光保存,有效期见外包装
产品运输条件:冰袋
保质期(月):60
外观:可溶于DMSO或pH>7的buffer的黄色固体
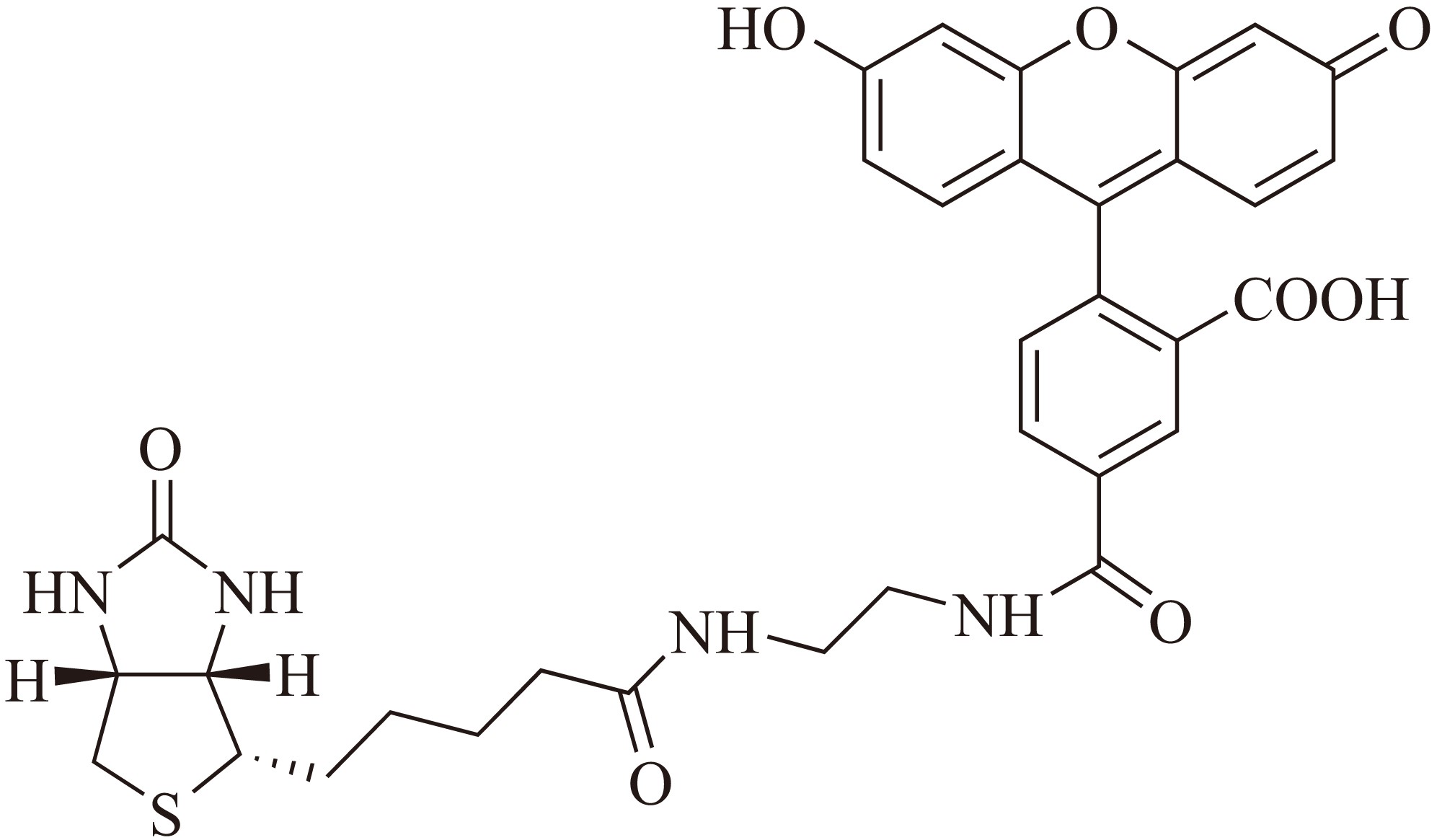
Ex/Em: 494/523 nm
CAS 号:1032732-74-3
分子式:C33H32N4O8S
分子量:644.7
分子结构图:

产品介绍:
Biotin-4-fluorescein是一种荧光标记的生物素衍生物,生物素与亲和素之间高亲合力的牢固结合以及多级放大效应,使得该产品能够准确定量生物样品中亲和素与链霉亲和素。
注意事项:
1. 荧光染料均存在淬灭问题,请尽量注意避光,以减缓荧光淬灭。
2. 为了您的安全和健康,请穿实验服并戴一次性手套操作。
相关产品:
产品名称:Biotin-4-fluorescein(生物素-4-荧光素)
产品规格:10 mg
产品应用方向:标记亲和素及链霉亲和素
产品保存条件:-20℃避光保存,有效期见外包装
产品运输条件:冰袋
保质期(月):60
外观:可溶于DMSO或pH>7的buffer的黄色固体
Ex/Em: 494/523 nm
CAS 号:1032732-74-3
分子式:C33H32N4O8S
分子量:644.7
分子结构图:

产品介绍:
Biotin-4-fluorescein是一种荧光标记的生物素衍生物,生物素与亲和素之间高亲合力的牢固结合以及多级放大效应,使得该产品能够准确定量生物样品中亲和素与链霉亲和素。
注意事项:
1. 荧光染料均存在淬灭问题,请尽量注意避光,以减缓荧光淬灭。
2. 为了您的安全和健康,请穿实验服并戴一次性手套操作。
相关产品:
| Cy3-E SE (Cy3-E 琥珀酰亚胺酯) |
| Cy3.5-E SE(Cy3.5-E 琥珀酰亚胺酯) |
| Cy5.5-M SE(Cy5.5-M 琥珀酰亚胺酯) |
| Sulfo-Cy3-E SE(Sulfo-Cy3-E 琥珀酰亚胺酯) |
| Sulfo-Cy5-E SE(Sulfo-Cy5-E 琥珀酰亚胺酯) |
| Sulfo-Cy7-E SE(Sulfo-Cy7-E 琥珀酰亚胺酯) |
| Sulfo-Cy5.5-E SE(Sulfo-Cy5.5-E 琥珀酰亚胺酯) |
| Sulfo-Cy5 bis-SE(Sulfo-Cy5 双琥珀酰亚胺酯) |
| Sulfo-Cy5.5 bis-SE(Sulfo-Cy5.5 双琥珀酰亚胺酯) |
| Sulfo-Cy7 bis-SE(Sulfo-Cy7 双琥珀酰亚胺酯) |
| 6-CDCFDA SE(6-羧基-2',7'-二氯荧光素二乙酸,琥珀酰亚胺酯) |
| 5(6)-CFDA, SE(5(6)-羧基荧光素二乙酸,琥珀酰亚胺酯) |
| 5-CR110 SE(5-羧基罗丹明 110 琥珀酰亚胺酯) |
| DAC SE(DAC 琥珀酰亚胺酯) |
| FITC,异构体 I |
| 5-FAM SE(5-羧基荧光素琥珀酰亚胺酯) |
风险提示:丁香通仅作为第三方平台,为商家信息发布提供平台空间。用户咨询产品时请注意保护个人信息及财产安全,合理判断,谨慎选购商品,商家和用户对交易行为负责。对于医疗器械类产品,请先查证核实企业经营资质和医疗器械产品注册证情况。
文献和实验该产品被引用文献
Biotin-4-fluorescein(生物素-4-荧光素)
技术资料暂无技术资料 索取技术资料
文献支持
生物素-4-荧光素(Biotin-4-fluorescein)
¥1150










