相关产品推荐更多 >
万千商家帮你免费找货
0 人在求购买到急需产品
- 详细信息
- 文献和实验
- 技术资料
- 保存条件:
室温
- 英文名:
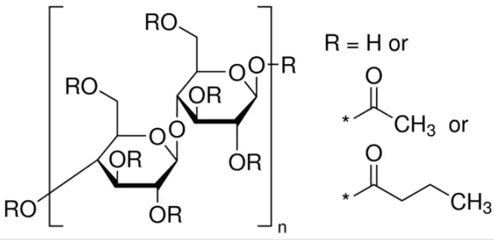
Cellulose acetate butyrate
- 库存:
现货
- 供应商:
上海阿拉丁生化科技股份有限公司
- CAS号:
9004-36-8
- 规格:
C293143-500g/C293143-2.5kg
| 规格: | C293143-500g | 产品价格: | ¥359.9 |
|---|---|---|---|
| 规格: | C293143-2.5kg | 产品价格: | ¥1213.9 |
英文名:Cellulose acetate butyrate
纯度或规格:乙酰基含量2%,丁酰基含量46%
SPU:C293143
CAS:9004-36-8
存储温度:室温
运输条件:常规运输
查看阿拉丁官网此产品相关对应页面:
风险提示:丁香通仅作为第三方平台,为商家信息发布提供平台空间。用户咨询产品时请注意保护个人信息及财产安全,合理判断,谨慎选购商品,商家和用户对交易行为负责。对于医疗器械类产品,请先查证核实企业经营资质和医疗器械产品注册证情况。
文献和实验,因此,以澳洲茄胺作为龙葵生物碱含量的评判指标是可行而且可靠的。本文所开发的方法简单快速,准确可靠,可作为龙葵药材及其制剂的质量控制方法。 【参考文献】 [1] 徐东花, 于春月, 韩成花. 龙葵的化学成分及药理作用研究[J].黑龙江中医药, 2007, 36 (2): 46. [2] 张海洋. 值得开发的植物资源-龙葵[J].北方园艺, 1997, 117 (6):13. [3] 那顺孟和, 杨秋林, 米 拉. 野生龙葵中矿物质和维生素含量的分析研究[J]
g/mL 无 DNA 酶的 RNA 酶,37 ℃ 温育 1 h,以除去残留的 RNA。6. 重复步骤 4、5。1 g 细胞大约能提取到 2 mg DNA。(二)从植物组织中提取基因组 DNA【实验试剂与器材】1. CTAB 抽提液:2% (w/v) CTAB (十六烷基三甲基溴化铵),100 mM Tris.Cl,pH8.0, 20 mM EDTA,pH8.0,1.4M NaCl2. CTAB/NaCl 溶液:10% CTAB,0.7M NaCl配制方法:在 80 mL 双蒸水中溶解 4.1 g
[5],但是其生长和结实需要充足的水分。因此,俄罗斯、加拿大、美国、芬兰和波兰是主要的燕麦生产国 [6 ]。而燕麦最高的产量一般来自新西兰、瑞士、德国、英国、爱尔兰、瑞典和法国等国 [7]。 因为燕麦的蛋白质和必需矿物质含量高,几个世纪以来,一直是优良的家畜伺料[ 8 ]。另外,燕麦的高纤维含量能促进消化 [ 6 ]。燕麦也可用于食品加工,如燕麦片、燕麦淀粉和饼干。近来燕麦和燕麦麸作为健康食物也大受欢迎,因为其能够帮助减少血液中的胆固醇,并且能够调节胃肠功能 [6 ]。最近燕麦更是被用于化妆品生产
技术资料暂无技术资料 索取技术资料











