相关产品推荐更多 >
万千商家帮你免费找货
0 人在求购买到急需产品
- 详细信息
- 文献和实验
- 技术资料
- 保存条件:
室温
- 英文名:
Cellulose acetate butyrate
- 库存:
现货
- 供应商:
上海阿拉丁生化科技股份有限公司
- CAS号:
9004-36-8
- 规格:
C293137-500g/C293137-2.5kg
| 规格: | C293137-500g | 产品价格: | ¥287.9 |
|---|---|---|---|
| 规格: | C293137-2.5kg | 产品价格: | ¥1081.9 |
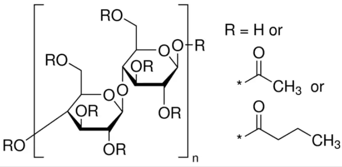
英文名:Cellulose acetate butyrate
纯度或规格:乙酰基含量3%,丁酰基含量50%
SPU:C293137
CAS:9004-36-8
存储温度:室温
运输条件:常规运输
查看阿拉丁官网此产品相关对应页面:
风险提示:丁香通仅作为第三方平台,为商家信息发布提供平台空间。用户咨询产品时请注意保护个人信息及财产安全,合理判断,谨慎选购商品,商家和用户对交易行为负责。对于医疗器械类产品,请先查证核实企业经营资质和医疗器械产品注册证情况。
文献和实验分析,得回归方程Y = 689.52X+3.65,r=0.999 9。 2.3.2 精密度实验 取上述供试品溶液20 μl,在上述色谱条件连续进样6次测定,澳洲茄胺峰面积的RSD为1.45%,符合含量测定要求。 2.3.3 回收率实验 精密称取龙葵药材6份,分为3组,依次按本底含量的50%,100%和150%加入澳洲茄胺对照品,按照供试品制备与测定方法,计算回收率。澳洲茄胺的平均回收率为96.0%,RSD=3.35%(n=6)。 2.4 样品测定
透析液,加试剂1~2滴,出现砖红色即认为有NH4 存在),直至无SO42-或NH4 出现为止。也可采用SephadexG25或电透析除盐。(9)离心去沉淀(去除杂蛋白),上清液即为粗提IgG (即γ球蛋白,如以36%的饱和硫酸铵沉淀血清的产物即为优球蛋白,Euglobin,含γ球蛋白)。(10)过DEAE-纤维素层析柱。(装柱过程见层析技术)。以0.01Mol/L pH7.4PBS(0.03Mol/L NaCl)洗脱,收集洗脱液。也可采用SephadexG150或G200柱。(11)蛋白质及其定量
[5],但是其生长和结实需要充足的水分。因此,俄罗斯、加拿大、美国、芬兰和波兰是主要的燕麦生产国 [6 ]。而燕麦最高的产量一般来自新西兰、瑞士、德国、英国、爱尔兰、瑞典和法国等国 [7]。 因为燕麦的蛋白质和必需矿物质含量高,几个世纪以来,一直是优良的家畜伺料[ 8 ]。另外,燕麦的高纤维含量能促进消化 [ 6 ]。燕麦也可用于食品加工,如燕麦片、燕麦淀粉和饼干。近来燕麦和燕麦麸作为健康食物也大受欢迎,因为其能够帮助减少血液中的胆固醇,并且能够调节胃肠功能 [6 ]。最近燕麦更是被用于化妆品生产
技术资料暂无技术资料 索取技术资料










