相关产品推荐更多 >
万千商家帮你免费找货
0 人在求购买到急需产品
- 详细信息
- 文献和实验
- 技术资料
- 保存条件:
室温
- 英文名:
Cellulose acetate butyrate
- 库存:
现货
- 供应商:
上海阿拉丁生化科技股份有限公司
- CAS号:
9004-36-8
- 规格:
C293128-500g/C293128-2.5kg
| 规格: | C293128-500g | 产品价格: | ¥278.9 |
|---|---|---|---|
| 规格: | C293128-2.5kg | 产品价格: | ¥898.9 |
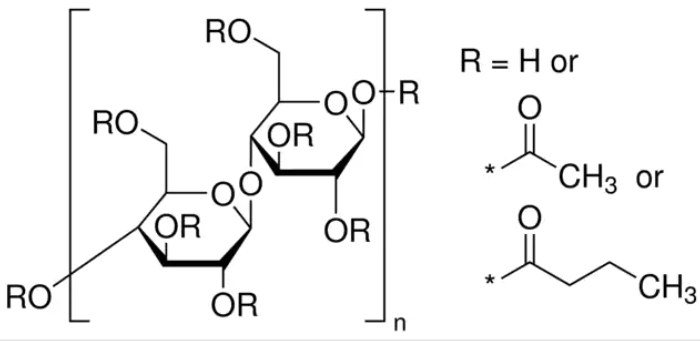
英文名:Cellulose acetate butyrate
纯度或规格:乙酰基含量15.5%,丁酰基含量35.5%
SPU:C293128
CAS:9004-36-8
存储温度:室温
运输条件:常规运输
查看阿拉丁官网此产品相关对应页面:
风险提示:丁香通仅作为第三方平台,为商家信息发布提供平台空间。用户咨询产品时请注意保护个人信息及财产安全,合理判断,谨慎选购商品,商家和用户对交易行为负责。对于医疗器械类产品,请先查证核实企业经营资质和医疗器械产品注册证情况。
文献和实验,放置1小时,用3号垂熔玻璃漏斗滤过,也可用自然沉降或离心法倾取上清液,按各药品项下的规定测定吸收度,并按吸收系数计算含量。 二、醋酸纤维素薄膜电泳法 1.仪器装置 电泳室及直流电源同纸电泳。 2.试剂 (1) 巴比妥缓冲液(pH8.6)取巴比妥2.76g,巴比妥钠15.45g,加水溶解使成1000ml。(2) 氨基黑染色液 取0.5g的氨基黑10B,溶于甲醇50ml、冰醋酸10ml及水40ml的混合液中。(3) 漂洗液 取乙醇45ml、冰醋酸5ml及水50ml,混匀。(4) 透明液 取
Science:心脏的全面定量代谢图谱,发现心力衰竭的心脏燃料使用异常
的桡动脉,心脏处的冠状窦,大腿处的股静脉的血液,即代表了人从心脏到腿部的动静脉。测定代谢物使用的方法是液相色谱 - 质谱,总共检测了 600 种已知代谢物,其中 277 种在血浆中被可靠地检测。通过比较动脉(即桡动脉)和静脉(即冠状窦,股静脉)血液中的代谢产物的丰度。在腿部和心脏中,发现有 117 种代谢物的摄取或释放有显著变化。并根据每种代谢物的浓度和分子式,计算出每种代谢物的绝对碳吸收或排出,用其在心脏或腿部每升血液中的含量表示。 图 1 同时从桡动脉(A),冠状窦(CS)和股静脉(FV)采集血液
素、角质等)所组成,是植物细胞壁的主要组成部分,也是饲料中最难消化的物质。纤维素即真纤维,其化学性质很稳定,弱的无机酸不能使其分解,在80%的硫酸作用下,才可达到水解的目的,其营养价值与淀粉相近。半纤维素在植物界的分布最广,易被稀酸所水解,大部分半纤维素和多糖一样,由相同的组成部分构成;另一些则由不同的单糖组成,个别的半纤维素则由非糖物质的分子构成。木质素是最稳定、最坚韧的物质,一般认为木质素含有甲氧基乙酰基及芳香环。 一般动物难以利用粗纤维,但对草食性动物尤其是复胃动物,粗纤维却是必不可少
技术资料暂无技术资料 索取技术资料






![6-氯-3-甲基苯并[b]噻吩-2-甲酸,1624260-45-2,≥97%,阿拉丁](https://img1.dxycdn.com/p/s14/2024/0619/573/6505210918175633081.jpg!wh200)


![([(5-甲基异恶唑-4-基)羰基]氨基)乙酸,试剂级,阿拉丁](https://img1.dxycdn.com/p/s14/2026/0106/911/4262887962962648002.jpg!wh200)
