万千商家帮你免费找货
0 人在求购买到急需产品
- 详细信息
- 技术资料
- 库存:
37
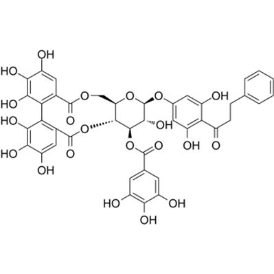
- 英文名:
Thonningianin A
- CAS号:
271579-11-4
- 供应商:
上海莼试
- 保存条件:
4°C, protect from light
- 规格:
5mg 10mg
使用方法:
1.本蛋白酶抑制剂混合物为100×的储存液,使用时按照1:100的比例加入到裂解液中(例如,1ml裂解液中加入10μl蛋白酶抑制剂混合物),混匀后即可使用。根据需要,0.5M的EDTA也按照1:100的比例加入到裂解液中(如用于检测金属蛋白酶活性,则不宜添加EDTA)。含有蛋白酶抑制剂混合物的裂解液宜现用现配,不宜配制后冻存待后续使用。
2. 待所需的抑制剂添加完毕混匀后,就可以开始进行哺乳动物组织的裂解和蛋白提取。
商品属性:
产品描述:
分子式:C42H34O21

分子量:874.71
溶解度:Soluble in DMSO
储存条件:4°C, protect from light
General tips:For obtaining a higher solubility , please warm the tube at 37 ℃ and shake it in the ultrasonic bath for a while.
Shipping Condition:Evaluation sample solution : ship with blue ice All other available size: ship with RT , or blue ice upon request
Thonningianin A, an ellagitannin, is isolated from the methanolic extract of the African medicinal herb, Thonningia sanguinea. The antioxidant properties of Th A involve radical scavenging, anti-superoxide formation and metal chelation. Anti-cancer activities[1][2].[1]. Gyamfi MA, et al. Antioxidant properties of Thonningianin A, isolated from the African medicinal herb, Thonningia sanguinea. Biochem Pharmacol. 2002 May 1;63(9):1725-37. [2]. Zhang TT, et al. Effects of thonningianin A in natural foods on apoptosis and cell cycle arrest of HepG-2 human hepatocellular carcinoma cells. Food Funct. 2015 Aug;6(8):2588-97.
注意事项:
抗逆滴加序列
每次向板内滴加抗原时,移液器滴头要与平面45度悬空,不要触碰到孔内的液体,由后向前依次滴加(即浓度由低往高滴加)。
抗感染反应期
抗原抗体在室温20~25℃下,必须反应30min以上,若环境温度低于室温,可将微量反应板置于恒温培养箱中,使二者充分反应。
旅游温度
磷酸盐缓冲液的pH值要在高压灭菌后进行滴定,往往在高压后pH值会有所改变,所以高压后再调一次pH值更为准确。磷酸盐缓冲液一经使用保存期不要超过3周。当pH<5.8时,红细胞会产生自凝现象;当pH>7.8时,图形洗脱加快,易造成肉眼观察产生误差;p H=7.2时,红细胞沉降最充分,图形最清晰。
当滴注 1%红细胞悬液时,应经常摇晃红细胞悬液,使红细胞均匀地分布在磷酸缓冲液中,以防止红细胞下降。
反应时间及温度
加入鸡红血球之后,反应板在室温(20~25℃)静置30~40min,对照孔血球下沉于孔底,即可判定结果。若室温达不到实验要求,需相应调整反应时间。当环境温度低于4℃时,红细胞发生自凝;高于37℃时,会发生反应物分离和红细胞溶血。
公司正在出售的产品:
1.本蛋白酶抑制剂混合物为100×的储存液,使用时按照1:100的比例加入到裂解液中(例如,1ml裂解液中加入10μl蛋白酶抑制剂混合物),混匀后即可使用。根据需要,0.5M的EDTA也按照1:100的比例加入到裂解液中(如用于检测金属蛋白酶活性,则不宜添加EDTA)。含有蛋白酶抑制剂混合物的裂解液宜现用现配,不宜配制后冻存待后续使用。
2. 待所需的抑制剂添加完毕混匀后,就可以开始进行哺乳动物组织的裂解和蛋白提取。
商品属性:
| 货号 | CS-01Y65987 | 规格 | 5mg 10mg |
| CAS号 | 271579-11-4 | 分子量 | 874.71 |
| 含量 | >98.00% | 别名 | N/A |
| 分子式 | C42H34O21 | 化学名 | N/A |
| 产地 | 国产 | 用途 | 仅供科研研究实验 |
分子式:C42H34O21

分子量:874.71
溶解度:Soluble in DMSO
储存条件:4°C, protect from light
General tips:For obtaining a higher solubility , please warm the tube at 37 ℃ and shake it in the ultrasonic bath for a while.
Shipping Condition:Evaluation sample solution : ship with blue ice All other available size: ship with RT , or blue ice upon request
Thonningianin A, an ellagitannin, is isolated from the methanolic extract of the African medicinal herb, Thonningia sanguinea. The antioxidant properties of Th A involve radical scavenging, anti-superoxide formation and metal chelation. Anti-cancer activities[1][2].[1]. Gyamfi MA, et al. Antioxidant properties of Thonningianin A, isolated from the African medicinal herb, Thonningia sanguinea. Biochem Pharmacol. 2002 May 1;63(9):1725-37. [2]. Zhang TT, et al. Effects of thonningianin A in natural foods on apoptosis and cell cycle arrest of HepG-2 human hepatocellular carcinoma cells. Food Funct. 2015 Aug;6(8):2588-97.
注意事项:
抗逆滴加序列
每次向板内滴加抗原时,移液器滴头要与平面45度悬空,不要触碰到孔内的液体,由后向前依次滴加(即浓度由低往高滴加)。
抗感染反应期
抗原抗体在室温20~25℃下,必须反应30min以上,若环境温度低于室温,可将微量反应板置于恒温培养箱中,使二者充分反应。
旅游温度
磷酸盐缓冲液的pH值要在高压灭菌后进行滴定,往往在高压后pH值会有所改变,所以高压后再调一次pH值更为准确。磷酸盐缓冲液一经使用保存期不要超过3周。当pH<5.8时,红细胞会产生自凝现象;当pH>7.8时,图形洗脱加快,易造成肉眼观察产生误差;p H=7.2时,红细胞沉降最充分,图形最清晰。
当滴注 1%红细胞悬液时,应经常摇晃红细胞悬液,使红细胞均匀地分布在磷酸缓冲液中,以防止红细胞下降。
反应时间及温度
加入鸡红血球之后,反应板在室温(20~25℃)静置30~40min,对照孔血球下沉于孔底,即可判定结果。若室温达不到实验要求,需相应调整反应时间。当环境温度低于4℃时,红细胞发生自凝;高于37℃时,会发生反应物分离和红细胞溶血。
公司正在出售的产品:
| 脑蛋白5封闭多肽 | EXOC3L2蛋白/Hepatitis B X antigen封闭多肽 |
| 透明质酸酶3/玻璃酸酶3封闭多肽 | 内毒素受体抗体 |
| 膜类胰蛋白酶1封闭多肽 | IV型己糖激酶抗体 |
| 墨蝶蛉还原酶封闭多肽 | 肿瘤相关钙信号传感器2抗体 |
| 原钙粘蛋白β2封闭多肽 | 自噬相关蛋白13抗体 |
| 葡萄糖转运蛋白10封闭多肽 | 乙酰化化组蛋白H2B (Lys24)鼠单克隆抗体 |
| 细胞外基质金属蛋白酶诱导因子封闭多肽 | 有丝分裂检验点蛋白BubR1抗体 |
| 胰岛素基因增强结合蛋白2封闭多肽 | 程序性死亡配体1(CD274)抗体 |
| 长链脂肪酸延长酶ELOVL4封闭多肽 | 粘着斑激酶抗体 |
| 嗅觉受体5R1封闭多肽 | 脱羧酶蛋白体36抗体 |
| 人类乳头状瘤病毒16-E7封闭多肽 | 磷酸化微管相关蛋白抗体 |
| 环指蛋白142封闭多肽 | 磷酸化细胞周期检测点激酶2抗体 |
| 结蛋白封闭多肽 | Thonningianin A分泌细胞凋亡相关蛋白1抗体 |
| 重组小鼠表皮膜蛋白1 | C型凝集素结构域家族1成员B抗体 |
| 磷酸化真核翻译起始因子4B抗体 | 磷酸化组蛋白去乙酰化酶4(Ser246)抗体 |
风险提示:丁香通仅作为第三方平台,为商家信息发布提供平台空间。用户咨询产品时请注意保护个人信息及财产安全,合理判断,谨慎选购商品,商家和用户对交易行为负责。对于医疗器械类产品,请先查证核实企业经营资质和医疗器械产品注册证情况。
技术资料暂无技术资料 索取技术资料
Thonningianin A
¥600 - 3200









