相关产品推荐更多 >
万千商家帮你免费找货
0 人在求购买到急需产品
- 详细信息
- 技术资料
- 库存:
57
- 英文名:
U 73343
- CAS号:
142878-12-4
- 供应商:
上海莼试
- 保存条件:
Store at -20°C
- 规格:
1mg 5mg 10mg 25mg
使用方法:
1.本蛋白酶抑制剂混合物为100×的储存液,使用时按照1:100的比例加入到裂解液中(例如,1ml裂解液中加入10μl蛋白酶抑制剂混合物),混匀后即可使用。根据需要,0.5M的EDTA也按照1:100的比例加入到裂解液中(如用于检测金属蛋白酶活性,则不宜添加EDTA)。含有蛋白酶抑制剂混合物的裂解液宜现用现配,不宜配制后冻存待后续使用。
2. 待所需的抑制剂添加完毕混匀后,就可以开始进行哺乳动物组织的裂解和蛋白提取。
商品属性:
产品描述:
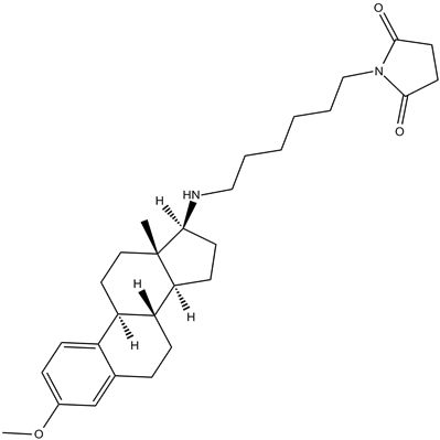
分子式:C29H42N2O3

分子量:466.66
溶解度:0.25mg/ml in ethanol; 0.5mg/ml in DMSO; 2mg/ml in DMF
储存条件:Store at -20°C
General tips:For obtaining a higher solubility , please warm the tube at 37 ℃ and shake it in the ultrasonic bath for a while.
Shipping Condition:Evaluation sample solution : ship with blue ice All other available size: ship with RT , or blue ice upon request
U-73122 is an inhibitor of PLC-dependent processes, however, the mechanism of action remains unclear.[1],[2],[3] The IC50 values for inhibition of platelet aggregation induced by collagen or thrombin are 0.6 and 5 μM, respectively.2 It also exhibits inhibitory activity against HIV-1 integrase with an IC50 value of 7 μM.[4] U-73343 is a close structural analog of U-73122 that does not inhibit PLC, making it useful as a negative control for PLC inhibition.[1]
注意事项:
抗逆滴加序列
每次向板内滴加抗原时,移液器滴头要与平面45度悬空,不要触碰到孔内的液体,由后向前依次滴加(即浓度由低往高滴加)。
抗感染反应期
抗原抗体在室温20~25℃下,必须反应30min以上,若环境温度低于室温,可将微量反应板置于恒温培养箱中,使二者充分反应。
旅游温度
磷酸盐缓冲液的pH值要在高压灭菌后进行滴定,往往在高压后pH值会有所改变,所以高压后再调一次pH值更为准确。磷酸盐缓冲液一经使用保存期不要超过3周。当pH<5.8时,红细胞会产生自凝现象;当pH>7.8时,图形洗脱加快,易造成肉眼观察产生误差;p H=7.2时,红细胞沉降最充分,图形最清晰。
当滴注 1%红细胞悬液时,应经常摇晃红细胞悬液,使红细胞均匀地分布在磷酸缓冲液中,以防止红细胞下降。
反应时间及温度
加入鸡红血球之后,反应板在室温(20~25℃)静置30~40min,对照孔血球下沉于孔底,即可判定结果。若室温达不到实验要求,需相应调整反应时间。当环境温度低于4℃时,红细胞发生自凝;高于37℃时,会发生反应物分离和红细胞溶血。
公司正在出售的产品:
1.本蛋白酶抑制剂混合物为100×的储存液,使用时按照1:100的比例加入到裂解液中(例如,1ml裂解液中加入10μl蛋白酶抑制剂混合物),混匀后即可使用。根据需要,0.5M的EDTA也按照1:100的比例加入到裂解液中(如用于检测金属蛋白酶活性,则不宜添加EDTA)。含有蛋白酶抑制剂混合物的裂解液宜现用现配,不宜配制后冻存待后续使用。
2. 待所需的抑制剂添加完毕混匀后,就可以开始进行哺乳动物组织的裂解和蛋白提取。
商品属性:
| 货号 | CS-01Y66670 | 规格 | 1mg 5mg 10mg 25mg |
| CAS号 | 142878-12-4 | 分子量 | 466.66 |
| 含量 | >95.00% | 别名 | N/A |
| 分子式 | C29H42N2O3 | 化学名 | 1-(6-(((8R,9S,13S,14S,17S)-3-methoxy-13-methyl-7,8,9,11,12,13,14,15,16,17-decahydro-6H-cyclopenta[a]phenanthren-17-yl)amino)hexyl)pyrrolidine-2,5-dione |
| 产地 | 国产 | 用途 | 仅供科研研究实验 |
分子式:C29H42N2O3

分子量:466.66
溶解度:0.25mg/ml in ethanol; 0.5mg/ml in DMSO; 2mg/ml in DMF
储存条件:Store at -20°C
General tips:For obtaining a higher solubility , please warm the tube at 37 ℃ and shake it in the ultrasonic bath for a while.
Shipping Condition:Evaluation sample solution : ship with blue ice All other available size: ship with RT , or blue ice upon request
U-73122 is an inhibitor of PLC-dependent processes, however, the mechanism of action remains unclear.[1],[2],[3] The IC50 values for inhibition of platelet aggregation induced by collagen or thrombin are 0.6 and 5 μM, respectively.2 It also exhibits inhibitory activity against HIV-1 integrase with an IC50 value of 7 μM.[4] U-73343 is a close structural analog of U-73122 that does not inhibit PLC, making it useful as a negative control for PLC inhibition.[1]
注意事项:
抗逆滴加序列
每次向板内滴加抗原时,移液器滴头要与平面45度悬空,不要触碰到孔内的液体,由后向前依次滴加(即浓度由低往高滴加)。
抗感染反应期
抗原抗体在室温20~25℃下,必须反应30min以上,若环境温度低于室温,可将微量反应板置于恒温培养箱中,使二者充分反应。
旅游温度
磷酸盐缓冲液的pH值要在高压灭菌后进行滴定,往往在高压后pH值会有所改变,所以高压后再调一次pH值更为准确。磷酸盐缓冲液一经使用保存期不要超过3周。当pH<5.8时,红细胞会产生自凝现象;当pH>7.8时,图形洗脱加快,易造成肉眼观察产生误差;p H=7.2时,红细胞沉降最充分,图形最清晰。
当滴注 1%红细胞悬液时,应经常摇晃红细胞悬液,使红细胞均匀地分布在磷酸缓冲液中,以防止红细胞下降。
反应时间及温度
加入鸡红血球之后,反应板在室温(20~25℃)静置30~40min,对照孔血球下沉于孔底,即可判定结果。若室温达不到实验要求,需相应调整反应时间。当环境温度低于4℃时,红细胞发生自凝;高于37℃时,会发生反应物分离和红细胞溶血。
公司正在出售的产品:
| 磷酸化热休克蛋白β5/α晶状体球蛋白B/αB-crystallin封闭多肽 | 1号染色体开放阅读框151封闭多肽 |
| 磺基转移酶CSPS封闭多肽 | 内脂素/内脏脂肪素/前B细胞克隆增强因子1抗体 |
| 7号染色体开放阅读框45封闭多肽 | 2-二醇脱氢酶抗体 |
| 驱动蛋白家族成员C1封闭多肽 | 细胞凋亡水解酶样蛋白1抗体 |
| SMCHD1蛋白封闭多肽 | 钙依赖膜结合蛋白Copine蛋白1抗体 |
| 胆碱/磷酸转移酶1封闭多肽 | 碱性成纤维细胞生长因子/FGF2抗体 |
| 磷酸化丝裂原活化蛋白激酶激酶8封闭多肽 | 磷酸化微管相关蛋白抗体 |
| KIAA2018蛋白封闭多肽 | X射线修复交叉互补蛋白3抗体 |
| 氧化固醇结合蛋白8封闭多肽 | 磷酸化磷酯酶Cγ2抗体 |
| STOX1蛋白封闭多肽 | 整合素αX抗体 |
| 趋化素样因子超家族成员8封闭多肽 | 去甲转运蛋白/神经递质去甲转运体抗体 |
| 22号染色体开放阅读框29封闭多肽 | 多巴胺受体D2抗体 |
| Symplekin蛋白封闭多肽 | U 73343腺苷脱氨酶(ADA)抗体 |
| 钾离子通道Kr2.2封闭多肽 | 磷酸化脆性X综合征相关蛋白AFF1抗体 |
| 生长抑制DNA损伤基因GADD45β抗体 | 磷酸化真核翻译起始因子4B抗体 |
风险提示:丁香通仅作为第三方平台,为商家信息发布提供平台空间。用户咨询产品时请注意保护个人信息及财产安全,合理判断,谨慎选购商品,商家和用户对交易行为负责。对于医疗器械类产品,请先查证核实企业经营资质和医疗器械产品注册证情况。
技术资料暂无技术资料 索取技术资料
U 73343
¥600 - 3200








