万千商家帮你免费找货
0 人在求购买到急需产品
- 详细信息
- 技术资料
- 库存:
22
- 英文名:
SGI-1027
- CAS号:
1020149-73-8
- 供应商:
上海莼试
- 保存条件:
Store at -20°C
- 规格:
10mM (in 1mL DMSO) 10mg 100mg
商品属性:
产品描述:
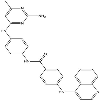
分子式:C27H23N7O

分子量:461.52
溶解度:≥ 22.25mg/mL in DMSO with gentle warming
储存条件:Store at -20° C
General tips:For obtaining a higher solubility , please warm the tube at 37 ℃ and shake it in the ultrasonic bath for a while.
Shipping Condition:Evaluation sample solution : ship with blue ice All other available size: ship with RT , or blue ice upon request
SGI-1027 is an inhibitor of DNMT with IC50 values of 12.5μM, 8μM and 7.5μM, respectively for DNMT1, DNMT3A and DNMT3B [1].SGI-1027 shows inhibition with mammalian DNMTs and bacterial M. SssI in vitro. Both the endogenous and recombinant DNMTs can be inhibited by SGI-1027. The mechanism of this inhibition is that SGI-1027 competes with Ado-Met but not the substrate DNA within the cofactor binding site of the enzyme. SGI-1027 inhibits DNA methylation through directly inhibiting DNMTs [1].In cancer cells, many TSGs are silenced due to hypermethylation of CpG islands in their promoters. SGI-1027 can demethylates these CpG islands and reactivate the silenced TSGs. In RKO cells, prolonged treatment of SGI-1027 induces reexpression of P16 and TIMP3 genes. Moreover, SGI-1027 is found to cause selective degradation of DNMT1 via proteasomal pathway [1].
注意事项:
抗逆滴加序列
每次向板内滴加抗原时,移液器滴头要与平面45度悬空,不要触碰到孔内的液体,由后向前依次滴加(即浓度由低往高滴加)。
抗感染反应期
抗原抗体在室温20~25℃下,必须反应30min以上,若环境温度低于室温,可将微量反应板置于恒温培养箱中,使二者充分反应。
旅游温度
磷酸盐缓冲液的pH值要在高压灭菌后进行滴定,往往在高压后pH值会有所改变,所以高压后再调一次pH值更为准确。磷酸盐缓冲液一经使用保存期不要超过3周。当pH<5.8时,红细胞会产生自凝现象;当pH>7.8时,图形洗脱加快,易造成肉眼观察产生误差;p H=7.2时,红细胞沉降最充分,图形最清晰。
当滴注 1%红细胞悬液时,应经常摇晃红细胞悬液,使红细胞均匀地分布在磷酸缓冲液中,以防止红细胞下降。
反应时间及温度
加入鸡红血球之后,反应板在室温(20~25℃)静置30~40min,对照孔血球下沉于孔底,即可判定结果。若室温达不到实验要求,需相应调整反应时间。当环境温度低于4℃时,红细胞发生自凝;高于37℃时,会发生反应物分离和红细胞溶血。
使用方法:
1.本蛋白酶抑制剂混合物为100×的储存液,使用时按照1:100的比例加入到裂解液中(例如,1ml裂解液中加入10μl蛋白酶抑制剂混合物),混匀后即可使用。根据需要,0.5M的EDTA也按照1:100的比例加入到裂解液中(如用于检测金属蛋白酶活性,则不宜添加EDTA)。含有蛋白酶抑制剂混合物的裂解液宜现用现配,不宜配制后冻存待后续使用。
2. 待所需的抑制剂添加完毕混匀后,就可以开始进行哺乳动物组织的裂解和蛋白提取。
公司正在出售的产品:
| 货号 | CS-01Y66480 | 规格 | 10mM (in 1mL DMSO) 10mg 100mg |
| CAS号 | 1020149-73-8 | 分子量 | 461.52 |
| 含量 | >98.00% | 别名 | |
| 分子式 | C27H23N7O | 化学名 | |
| 产地 | 国产 | 用途 | 仅供科研研究实验 |
分子式:C27H23N7O

分子量:461.52
溶解度:≥ 22.25mg/mL in DMSO with gentle warming
储存条件:Store at -20° C
General tips:For obtaining a higher solubility , please warm the tube at 37 ℃ and shake it in the ultrasonic bath for a while.
Shipping Condition:Evaluation sample solution : ship with blue ice All other available size: ship with RT , or blue ice upon request
SGI-1027 is an inhibitor of DNMT with IC50 values of 12.5μM, 8μM and 7.5μM, respectively for DNMT1, DNMT3A and DNMT3B [1].SGI-1027 shows inhibition with mammalian DNMTs and bacterial M. SssI in vitro. Both the endogenous and recombinant DNMTs can be inhibited by SGI-1027. The mechanism of this inhibition is that SGI-1027 competes with Ado-Met but not the substrate DNA within the cofactor binding site of the enzyme. SGI-1027 inhibits DNA methylation through directly inhibiting DNMTs [1].In cancer cells, many TSGs are silenced due to hypermethylation of CpG islands in their promoters. SGI-1027 can demethylates these CpG islands and reactivate the silenced TSGs. In RKO cells, prolonged treatment of SGI-1027 induces reexpression of P16 and TIMP3 genes. Moreover, SGI-1027 is found to cause selective degradation of DNMT1 via proteasomal pathway [1].
注意事项:
抗逆滴加序列
每次向板内滴加抗原时,移液器滴头要与平面45度悬空,不要触碰到孔内的液体,由后向前依次滴加(即浓度由低往高滴加)。
抗感染反应期
抗原抗体在室温20~25℃下,必须反应30min以上,若环境温度低于室温,可将微量反应板置于恒温培养箱中,使二者充分反应。
旅游温度
磷酸盐缓冲液的pH值要在高压灭菌后进行滴定,往往在高压后pH值会有所改变,所以高压后再调一次pH值更为准确。磷酸盐缓冲液一经使用保存期不要超过3周。当pH<5.8时,红细胞会产生自凝现象;当pH>7.8时,图形洗脱加快,易造成肉眼观察产生误差;p H=7.2时,红细胞沉降最充分,图形最清晰。
当滴注 1%红细胞悬液时,应经常摇晃红细胞悬液,使红细胞均匀地分布在磷酸缓冲液中,以防止红细胞下降。
反应时间及温度
加入鸡红血球之后,反应板在室温(20~25℃)静置30~40min,对照孔血球下沉于孔底,即可判定结果。若室温达不到实验要求,需相应调整反应时间。当环境温度低于4℃时,红细胞发生自凝;高于37℃时,会发生反应物分离和红细胞溶血。
使用方法:
1.本蛋白酶抑制剂混合物为100×的储存液,使用时按照1:100的比例加入到裂解液中(例如,1ml裂解液中加入10μl蛋白酶抑制剂混合物),混匀后即可使用。根据需要,0.5M的EDTA也按照1:100的比例加入到裂解液中(如用于检测金属蛋白酶活性,则不宜添加EDTA)。含有蛋白酶抑制剂混合物的裂解液宜现用现配,不宜配制后冻存待后续使用。
2. 待所需的抑制剂添加完毕混匀后,就可以开始进行哺乳动物组织的裂解和蛋白提取。
公司正在出售的产品:
| Recombnant Human ATG4B | 胶体金标记的羊抗豚鼠IgG H&L |
| 碱性磷酸酶(AP)标记的兔抗大鼠IgM | Mouse Anti-Guinea Pig IgG H&L / PE-Cy3 |
| AbBy Fluor 647标记的驴抗兔IgG(H&L) | Rabbit Anti-Bovine IgG H&L / Biotin |
| APC标记的兔抗羊IgM | Rabbit Anti-Human IgG H&L / Cy3 |
| Alexa Fluor 594标记的兔抗小鼠IgG H&L | Goat Anti-Guinea Pig IgG H&L / APC |
| APC标记的羊抗大鼠IgG H&L | Mouse Anti-Goat IgG H&L / AF350 |
| Alexa Fluor 647标记的兔抗马IgG H&L | Donkey Anti-Goat IgG H&L / BF488 |
| Alexa Fluor 488标记的兔抗小鼠IgG H&L-Fc | 锌指蛋白764封闭多肽 |
| PE-Cy3标记的小鼠抗豚鼠IgG H&L | Rabbit Anti-Mouse IgG Fc / AF488 |
| 生物素标记的兔抗牛IgG H&L | Rabbit Anti-Horse IgG H&L / AF647 |
| APC标记的羊抗豚鼠IgG H&L | Goat Anti-Rat IgG H&L / APC |
| Cy3标记的兔抗人IgG H&L | Rabbit Anti-Mouse IgG H&L / AF594 |
| Alexa Fluor 350标记的小鼠抗羊IgG H&L | SGI-1027Rabbit Anti-Goat IgM / APC |
| AbBy Fluor 488标记的驴抗羊IgG(H&L) | Donkey Anti-Rabbit IgG H&L / BF647 |
| Goat Anti-Guinea Pig IgG H&L / Gold | Rabbit Anti-Rat IgM / AP |
风险提示:丁香通仅作为第三方平台,为商家信息发布提供平台空间。用户咨询产品时请注意保护个人信息及财产安全,合理判断,谨慎选购商品,商家和用户对交易行为负责。对于医疗器械类产品,请先查证核实企业经营资质和医疗器械产品注册证情况。
技术资料暂无技术资料 索取技术资料
SGI-1027
¥600 - 3200








