万千商家帮你免费找货
0 人在求购买到急需产品
- 详细信息
- 技术资料
- 库存:
52
- 英文名:
PD 166285 dihydrochloride
- 供应商:
上海莼试
- 保存条件:
Store at -20°C
- 规格:
1 mg 10 mg
使用方法:
1.本蛋白酶抑制剂混合物为100×的储存液,使用时按照1:100的比例加入到裂解液中(例如,1ml裂解液中加入10μl蛋白酶抑制剂混合物),混匀后即可使用。根据需要,0.5M的EDTA也按照1:100的比例加入到裂解液中(如用于检测金属蛋白酶活性,则不宜添加EDTA)。含有蛋白酶抑制剂混合物的裂解液宜现用现配,不宜配制后冻存待后续使用。
2. 待所需的抑制剂添加完毕混匀后,就可以开始进行哺乳动物组织的裂解和蛋白提取。
商品属性:
产品描述:
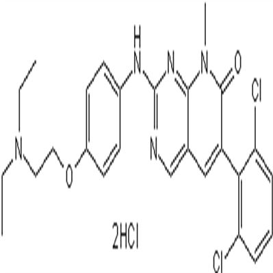
分子式:C26H27Cl2N5O2.2HCl

分子量:585.35
溶解度:Soluble in DMSO
储存条件:Store at -20°C
General tips:For obtaining a higher solubility , please warm the tube at 37 ℃ and shake it in the ultrasonic bath for a while.
Shipping Condition:Evaluation sample solution : ship with blue ice All other available size: ship with RT , or blue ice upon request
Potent inhibitor of the tyrosine kinases c-Src, fibroblast growth factor receptor 1 (FGFR1), and platelet-derived growth factor receptor β (PDGFRβ) (IC50 values are 8.4, 39.3 and 98.3 nM respectively). Also inhibits the checkpoint kinases Wee1 and Myt1; abolishes Cdc2 phosphorylation in numerous tumor cell lines and abrogates the G2 checkpoint.Panek et al (1997) In vitro pharmacological characterization of PD 166285, a new nanomolar potent and broadly active protein tyrosine kinase inhibitor. J.Pharmacol.Exp.Ther. 283 1433 PMID:9400019 |Wang et al (2001) Radiosensitization of p53 mutant cells by PD0166285, a novel G2 checkpoint abrogator. Cancer Res. 61 8211 PMID:11719452 |Hashimoto et al (2006) Cell cycle regulation by the Wee1 inhibitor PD0166285, Pyrido [2,3-d] pyimidine, in the B16 mouse melanoma cell line. BMC Cancer 6 292 PMID:17177986
注意事项:
抗逆滴加序列
每次向板内滴加抗原时,移液器滴头要与平面45度悬空,不要触碰到孔内的液体,由后向前依次滴加(即浓度由低往高滴加)。
抗感染反应期
抗原抗体在室温20~25℃下,必须反应30min以上,若环境温度低于室温,可将微量反应板置于恒温培养箱中,使二者充分反应。
旅游温度
磷酸盐缓冲液的pH值要在高压灭菌后进行滴定,往往在高压后pH值会有所改变,所以高压后再调一次pH值更为准确。磷酸盐缓冲液一经使用保存期不要超过3周。当pH<5.8时,红细胞会产生自凝现象;当pH>7.8时,图形洗脱加快,易造成肉眼观察产生误差;p H=7.2时,红细胞沉降最充分,图形最清晰。
当滴注 1%红细胞悬液时,应经常摇晃红细胞悬液,使红细胞均匀地分布在磷酸缓冲液中,以防止红细胞下降。
反应时间及温度
加入鸡红血球之后,反应板在室温(20~25℃)静置30~40min,对照孔血球下沉于孔底,即可判定结果。若室温达不到实验要求,需相应调整反应时间。当环境温度低于4℃时,红细胞发生自凝;高于37℃时,会发生反应物分离和红细胞溶血。
公司正在出售的产品:
1.本蛋白酶抑制剂混合物为100×的储存液,使用时按照1:100的比例加入到裂解液中(例如,1ml裂解液中加入10μl蛋白酶抑制剂混合物),混匀后即可使用。根据需要,0.5M的EDTA也按照1:100的比例加入到裂解液中(如用于检测金属蛋白酶活性,则不宜添加EDTA)。含有蛋白酶抑制剂混合物的裂解液宜现用现配,不宜配制后冻存待后续使用。
2. 待所需的抑制剂添加完毕混匀后,就可以开始进行哺乳动物组织的裂解和蛋白提取。
商品属性:
| 货号 | CS-01Y65925 | 规格 | 1 mg 10 mg |
| CAS号 | 分子量 | 585.35 | |
| 含量 | >98.00% | 别名 | N/A |
| 分子式 | C26H27Cl2N5O2.2HCl | 化学名 | N/A |
| 产地 | 国产 | 用途 | 仅供科研研究实验 |
分子式:C26H27Cl2N5O2.2HCl

分子量:585.35
溶解度:Soluble in DMSO
储存条件:Store at -20°C
General tips:For obtaining a higher solubility , please warm the tube at 37 ℃ and shake it in the ultrasonic bath for a while.
Shipping Condition:Evaluation sample solution : ship with blue ice All other available size: ship with RT , or blue ice upon request
Potent inhibitor of the tyrosine kinases c-Src, fibroblast growth factor receptor 1 (FGFR1), and platelet-derived growth factor receptor β (PDGFRβ) (IC50 values are 8.4, 39.3 and 98.3 nM respectively). Also inhibits the checkpoint kinases Wee1 and Myt1; abolishes Cdc2 phosphorylation in numerous tumor cell lines and abrogates the G2 checkpoint.Panek et al (1997) In vitro pharmacological characterization of PD 166285, a new nanomolar potent and broadly active protein tyrosine kinase inhibitor. J.Pharmacol.Exp.Ther. 283 1433 PMID:9400019 |Wang et al (2001) Radiosensitization of p53 mutant cells by PD0166285, a novel G2 checkpoint abrogator. Cancer Res. 61 8211 PMID:11719452 |Hashimoto et al (2006) Cell cycle regulation by the Wee1 inhibitor PD0166285, Pyrido [2,3-d] pyimidine, in the B16 mouse melanoma cell line. BMC Cancer 6 292 PMID:17177986
注意事项:
抗逆滴加序列
每次向板内滴加抗原时,移液器滴头要与平面45度悬空,不要触碰到孔内的液体,由后向前依次滴加(即浓度由低往高滴加)。
抗感染反应期
抗原抗体在室温20~25℃下,必须反应30min以上,若环境温度低于室温,可将微量反应板置于恒温培养箱中,使二者充分反应。
旅游温度
磷酸盐缓冲液的pH值要在高压灭菌后进行滴定,往往在高压后pH值会有所改变,所以高压后再调一次pH值更为准确。磷酸盐缓冲液一经使用保存期不要超过3周。当pH<5.8时,红细胞会产生自凝现象;当pH>7.8时,图形洗脱加快,易造成肉眼观察产生误差;p H=7.2时,红细胞沉降最充分,图形最清晰。
当滴注 1%红细胞悬液时,应经常摇晃红细胞悬液,使红细胞均匀地分布在磷酸缓冲液中,以防止红细胞下降。
反应时间及温度
加入鸡红血球之后,反应板在室温(20~25℃)静置30~40min,对照孔血球下沉于孔底,即可判定结果。若室温达不到实验要求,需相应调整反应时间。当环境温度低于4℃时,红细胞发生自凝;高于37℃时,会发生反应物分离和红细胞溶血。
公司正在出售的产品:
| Recombnant Human Annexn-13 | GADD45γ相互作用蛋白1封闭多肽 |
| 白血病相关蛋白5封闭多肽 | DCXR Antibody Blocking Peptide |
| 三磷酸腺苷门控阳离子通道蛋白封闭多肽 | PTOP Antibody Blocking Peptide |
| 鸟苷酸激酶GMK封闭多肽 | YAP1 Antibody Blocking Peptide |
| ZC3H15蛋白封闭多肽 | Recombinant human ACE2 protein, His |
| 磷酸化转录生长因子SP1封闭多肽 | TEAD2 Antibody Blocking Peptide |
| 结构蛋白家族1封闭多肽 | ALG13 Antibody Blocking Peptide |
| 肿瘤/睾丸抗原家族104成员3封闭多肽 | 重组人gG4 Fc蛋白 |
| 羰基还原酶2封闭多肽 | POTEA Antibody Blocking Peptide |
| 肾上腺皮质发育异常同源蛋白封闭多肽 | TCTN1 Antibody Blocking Peptide |
| 重组人血管紧张素转换酶2 | phospho-SP1 (Thr739) Antibody Blocking Peptide |
| 原癌基因Yes相关蛋白1封闭多肽 | ZC3H15 Antibody Blocking Peptide |
| 转录增强因子TEF4封闭多肽 | PD 166285 dihydrochlorideGUK1 Antibody Blocking Peptide |
| 糖基转移酶28家族1封闭多肽 | P2RX4 Antibody Blocking Peptide |
| GADD45GIP1 Antibody Blocking Peptide | TRIM13 Antibody Blocking Peptide |
风险提示:丁香通仅作为第三方平台,为商家信息发布提供平台空间。用户咨询产品时请注意保护个人信息及财产安全,合理判断,谨慎选购商品,商家和用户对交易行为负责。对于医疗器械类产品,请先查证核实企业经营资质和医疗器械产品注册证情况。
技术资料暂无技术资料 索取技术资料
PD 166285 dihydrochloride
¥600 - 3200








