相关产品推荐更多 >
万千商家帮你免费找货
0 人在求购买到急需产品
- 详细信息
- 技术资料
- 库存:
38
- 英文名:
Pralatrexate
- CAS号:
146464-95-1
- 供应商:
上海莼试
- 保存条件:
Store at -20°C
- 规格:
10mM (in 1mL DMSO) 10mg 50mg
商品属性:
产品描述:
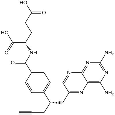
分子式:C23H23N7O5

分子量:477.47
溶解度:≥ 23.85 mg/mL in DMSO
储存条件:Store at -20°C
General tips:For obtaining a higher solubility , please warm the tube at 37 ℃ and shake it in the ultrasonic bath for a while.
Shipping Condition:Evaluation sample solution : ship with blue ice All other available size: ship with RT , or blue ice upon request
Pralatrexate is an inhibitor of DHFR with Ki value of 45 nM [1].Dihydrofolate reductase (DHFR) is an enzyme that reduces dihydrofolic acid to tetrahydrofolic acid, a methyl group shuttle required for the synthesis of purines, thymidylic acid, and certain amino acids.Pralatrexate is a DHFR inhibitor with high affinity for folylpolyglutamate synthetase (FPGS) and reduced folate carrier 1 (RFC-1), resulting in extensive internalization and accumulation in tumour cells. In 15 human cancer cell lines, pralatrexate showed antiproliferative effects with IC50 < 0.1 μM in PC3, SCC61, DU145, HT29, HOP62, SQ20B, HOP92, HEP2 and IGROV1 cells. While it showed antiproliferative effects with IC50≥ 9 μM in Colo205, HCC2998, MCF7, HCT116, OVCAR3 and MDA-MB-435 cells [2].In MV522 human non-small cell lung cancer (NSCLC) xenograft, pralatrexate showed increased antitumor activity. In the 2 mg/kg pralatrexate-treated group, the 38% tumor growth inhibition (TGI) was orved. In NCI-H460 NSCLC xenograft, pralatrexate showed antitumor activity in a dose-dependent way. TGI of 1 mg/kg and 2 mg/kg pralatrexate-treated groups was 34% and 52%, respectively. In the two xenografts, pralatrexate resulted in weight loss, which suggested its toxicity [1].
注意事项:
抗逆滴加序列
每次向板内滴加抗原时,移液器滴头要与平面45度悬空,不要触碰到孔内的液体,由后向前依次滴加(即浓度由低往高滴加)。
抗感染反应期
抗原抗体在室温20~25℃下,必须反应30min以上,若环境温度低于室温,可将微量反应板置于恒温培养箱中,使二者充分反应。
旅游温度
磷酸盐缓冲液的pH值要在高压灭菌后进行滴定,往往在高压后pH值会有所改变,所以高压后再调一次pH值更为准确。磷酸盐缓冲液一经使用保存期不要超过3周。当pH<5.8时,红细胞会产生自凝现象;当pH>7.8时,图形洗脱加快,易造成肉眼观察产生误差;p H=7.2时,红细胞沉降最充分,图形最清晰。
当滴注 1%红细胞悬液时,应经常摇晃红细胞悬液,使红细胞均匀地分布在磷酸缓冲液中,以防止红细胞下降。
反应时间及温度
加入鸡红血球之后,反应板在室温(20~25℃)静置30~40min,对照孔血球下沉于孔底,即可判定结果。若室温达不到实验要求,需相应调整反应时间。当环境温度低于4℃时,红细胞发生自凝;高于37℃时,会发生反应物分离和红细胞溶血。
使用方法:
1.本蛋白酶抑制剂混合物为100×的储存液,使用时按照1:100的比例加入到裂解液中(例如,1ml裂解液中加入10μl蛋白酶抑制剂混合物),混匀后即可使用。根据需要,0.5M的EDTA也按照1:100的比例加入到裂解液中(如用于检测金属蛋白酶活性,则不宜添加EDTA)。含有蛋白酶抑制剂混合物的裂解液宜现用现配,不宜配制后冻存待后续使用。
2. 待所需的抑制剂添加完毕混匀后,就可以开始进行哺乳动物组织的裂解和蛋白提取。
公司正在出售的产品:
| 货号 | CS-01Y66445 | 规格 | 10mM (in 1mL DMSO) 10mg 50mg |
| CAS号 | 146464-95-1 | 分子量 | 477.47 |
| 含量 | >98.00% | 别名 | |
| 分子式 | C23H23N7O5 | 化学名 | (2S)-2-[[4-[1-(2,4-diaminopteridin-6-yl)pent-4-yn-2-yl]benzoyl]amino]pentanedioic acid |
| 产地 | 国产 | 用途 | 仅供科研研究实验 |
分子式:C23H23N7O5

分子量:477.47
溶解度:≥ 23.85 mg/mL in DMSO
储存条件:Store at -20°C
General tips:For obtaining a higher solubility , please warm the tube at 37 ℃ and shake it in the ultrasonic bath for a while.
Shipping Condition:Evaluation sample solution : ship with blue ice All other available size: ship with RT , or blue ice upon request
Pralatrexate is an inhibitor of DHFR with Ki value of 45 nM [1].Dihydrofolate reductase (DHFR) is an enzyme that reduces dihydrofolic acid to tetrahydrofolic acid, a methyl group shuttle required for the synthesis of purines, thymidylic acid, and certain amino acids.Pralatrexate is a DHFR inhibitor with high affinity for folylpolyglutamate synthetase (FPGS) and reduced folate carrier 1 (RFC-1), resulting in extensive internalization and accumulation in tumour cells. In 15 human cancer cell lines, pralatrexate showed antiproliferative effects with IC50 < 0.1 μM in PC3, SCC61, DU145, HT29, HOP62, SQ20B, HOP92, HEP2 and IGROV1 cells. While it showed antiproliferative effects with IC50≥ 9 μM in Colo205, HCC2998, MCF7, HCT116, OVCAR3 and MDA-MB-435 cells [2].In MV522 human non-small cell lung cancer (NSCLC) xenograft, pralatrexate showed increased antitumor activity. In the 2 mg/kg pralatrexate-treated group, the 38% tumor growth inhibition (TGI) was orved. In NCI-H460 NSCLC xenograft, pralatrexate showed antitumor activity in a dose-dependent way. TGI of 1 mg/kg and 2 mg/kg pralatrexate-treated groups was 34% and 52%, respectively. In the two xenografts, pralatrexate resulted in weight loss, which suggested its toxicity [1].
注意事项:
抗逆滴加序列
每次向板内滴加抗原时,移液器滴头要与平面45度悬空,不要触碰到孔内的液体,由后向前依次滴加(即浓度由低往高滴加)。
抗感染反应期
抗原抗体在室温20~25℃下,必须反应30min以上,若环境温度低于室温,可将微量反应板置于恒温培养箱中,使二者充分反应。
旅游温度
磷酸盐缓冲液的pH值要在高压灭菌后进行滴定,往往在高压后pH值会有所改变,所以高压后再调一次pH值更为准确。磷酸盐缓冲液一经使用保存期不要超过3周。当pH<5.8时,红细胞会产生自凝现象;当pH>7.8时,图形洗脱加快,易造成肉眼观察产生误差;p H=7.2时,红细胞沉降最充分,图形最清晰。
当滴注 1%红细胞悬液时,应经常摇晃红细胞悬液,使红细胞均匀地分布在磷酸缓冲液中,以防止红细胞下降。
反应时间及温度
加入鸡红血球之后,反应板在室温(20~25℃)静置30~40min,对照孔血球下沉于孔底,即可判定结果。若室温达不到实验要求,需相应调整反应时间。当环境温度低于4℃时,红细胞发生自凝;高于37℃时,会发生反应物分离和红细胞溶血。
使用方法:
1.本蛋白酶抑制剂混合物为100×的储存液,使用时按照1:100的比例加入到裂解液中(例如,1ml裂解液中加入10μl蛋白酶抑制剂混合物),混匀后即可使用。根据需要,0.5M的EDTA也按照1:100的比例加入到裂解液中(如用于检测金属蛋白酶活性,则不宜添加EDTA)。含有蛋白酶抑制剂混合物的裂解液宜现用现配,不宜配制后冻存待后续使用。
2. 待所需的抑制剂添加完毕混匀后,就可以开始进行哺乳动物组织的裂解和蛋白提取。
公司正在出售的产品:
| Recombnant Human ACBD6 | ANGEL1蛋白封闭多肽 |
| 重组人碱性成纤维细胞生长因子蛋白 | PLEKHA7 Antibody Blocking Peptide |
| 白介素4封闭多肽 | TARBP2 Antibody Blocking Peptide |
| 甘露聚糖结合凝集素封闭多肽 | RPS6KC1 Antibody Blocking Peptide |
| 磷酸化间变型淋巴瘤激酶封闭多肽 | Claudin-2 Antibody Blocking Peptide |
| 磷酸化癌基因FOS蛋白B封闭多肽 | caspase-3 p12 subunit Antibody Blocking Peptide |
| 蛋白激酶C delta结合蛋白封闭多肽 | TNK1 Antibody Blocking Peptide |
| 羧酸酯酶6封闭多肽 | 乙型肝炎e抗原封闭多肽 |
| PLEKHA7蛋白封闭多肽 | CES6 Antibody Blocking Peptide |
| TRBP蛋白封闭多肽 | CAVIN3 Antibody Blocking Peptide |
| 紧密连接蛋白2封闭多肽 | phospho-Fos B (Ser27) Antibody Blocking Peptide |
| p52核糖体蛋白S6激酶封闭多肽 | phospho-ALK (Tyr1604) Antibody Blocking Peptide |
| 活化半胱胺酸蛋白酶蛋白3封闭多肽 | PralatrexateMBL2 Antibody Blocking Peptide |
| 非受体型酪氨酸蛋白激酶Tnk1封闭多肽 | IL4 Antibody Blocking Peptide |
| ANGEL1 Antibody Blocking Peptide | Recombinant human bFGF protein, N-His |
风险提示:丁香通仅作为第三方平台,为商家信息发布提供平台空间。用户咨询产品时请注意保护个人信息及财产安全,合理判断,谨慎选购商品,商家和用户对交易行为负责。对于医疗器械类产品,请先查证核实企业经营资质和医疗器械产品注册证情况。
技术资料暂无技术资料 索取技术资料
Pralatrexate
¥600 - 3200








