相关产品推荐更多 >
万千商家帮你免费找货
0 人在求购买到急需产品
- 详细信息
- 技术资料
- 库存:
40
- 英文名:
Regorafenib
- CAS号:
755037-03-7
- 供应商:
上海莼试
- 保存条件:
Desiccate at -20°C
- 规格:
10mM (in 1mL DMSO) 10mg 50mg 100mg 200mg
使用方法:
1.本蛋白酶抑制剂混合物为100×的储存液,使用时按照1:100的比例加入到裂解液中(例如,1ml裂解液中加入10μl蛋白酶抑制剂混合物),混匀后即可使用。根据需要,0.5M的EDTA也按照1:100的比例加入到裂解液中(如用于检测金属蛋白酶活性,则不宜添加EDTA)。含有蛋白酶抑制剂混合物的裂解液宜现用现配,不宜配制后冻存待后续使用。
2. 待所需的抑制剂添加完毕混匀后,就可以开始进行哺乳动物组织的裂解和蛋白提取。
商品属性:
产品描述:
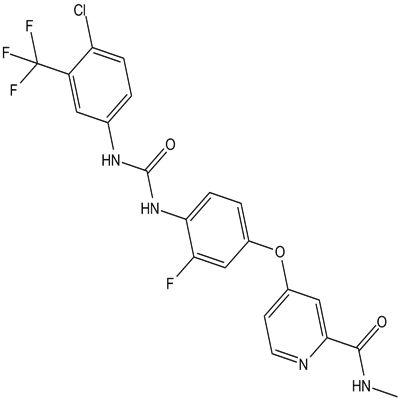
分子式:C21H15ClF4N4O3

分子量:482.82
溶解度:≥ 25.0415mg/mL in DMSO, ≥ 6.25 mg/mL in EtOH with ultrasonic,insoluble in H2O
储存条件:Desiccate at -20°C
General tips:For obtaining a higher solubility , please warm the tube at 37 ℃ and shake it in the ultrasonic bath for a while.
Shipping Condition:Evaluation sample solution : ship with blue ice All other available size: ship with RT , or blue ice upon request
Regorafenib (BAY 73-4506) is a novel and orally active multikinase inhibitor of receptor tyrosine kinases VEGFR1, VEGFR2, VEGFR3, PDGFRβ, Kit, RET, Raf-1, B-RAF and B-RAFV600E with IC50 values of 13 nM/4.2 nM/46 nM, 22 nM, 7 nM, 1.5 nM, 2.5 nM, 28 nM and 19 nM [1].VEGFR1/2/3 are vascular endothelial growth factor receptor plays an important role in the formation of normal and tumor vasculature. platelet-derived growth factor receptor-β (PDGFRβ) is a receptor for the platelet-derived growth factor family. Kit, RET and B-RAF are both receptor tyrosine kinases that encoded by proto-oncogenes [1].Regorafenib (BAY 73-4506) is a novel and orally active receptor tyrosine kinases inhibitor. In NIH-3T3/VEGFR2 cells, regorafenib potently inhibited VEGFR2 autophosphorylation with IC50 value of 3 nM. Regorafenib also inhibited TIE2 and PDGFR-β autophosphorylation with IC50 values of 31 and 90 nM. Regorafenib potently inhibited KITK642E and RETC634W with IC50 values of ~20 and ~10 nM, respectively. In addition, regorafenib inhibited the proliferation of VEGF165-stimulated HUVECs with IC50 value of ~3 nM [1].In GS9L glioblastoma xenografted rat model, regorafenib administered orally at 10 mg/kg significantly reduced the extravasation of Gadomer in the vasculature. In various preclinical human xenograft mice models, regorafenib exhibited potent dose-dependent tumor growth inhibition (TGI) [1]. In murine metastatic colorectal cancer (CRC) liver metastasis model, regorafenib significantly delayed disease progression by inhibiting the growth of liver metastases and preventing the formation of new metastases in other organs [2].
注意事项:
抗逆滴加序列
每次向板内滴加抗原时,移液器滴头要与平面45度悬空,不要触碰到孔内的液体,由后向前依次滴加(即浓度由低往高滴加)。
抗感染反应期
抗原抗体在室温20~25℃下,必须反应30min以上,若环境温度低于室温,可将微量反应板置于恒温培养箱中,使二者充分反应。
旅游温度
磷酸盐缓冲液的pH值要在高压灭菌后进行滴定,往往在高压后pH值会有所改变,所以高压后再调一次pH值更为准确。磷酸盐缓冲液一经使用保存期不要超过3周。当pH<5.8时,红细胞会产生自凝现象;当pH>7.8时,图形洗脱加快,易造成肉眼观察产生误差;p H=7.2时,红细胞沉降最充分,图形最清晰。
当滴注 1%红细胞悬液时,应经常摇晃红细胞悬液,使红细胞均匀地分布在磷酸缓冲液中,以防止红细胞下降。
反应时间及温度
加入鸡红血球之后,反应板在室温(20~25℃)静置30~40min,对照孔血球下沉于孔底,即可判定结果。若室温达不到实验要求,需相应调整反应时间。当环境温度低于4℃时,红细胞发生自凝;高于37℃时,会发生反应物分离和红细胞溶血。
公司正在出售的产品:
1.本蛋白酶抑制剂混合物为100×的储存液,使用时按照1:100的比例加入到裂解液中(例如,1ml裂解液中加入10μl蛋白酶抑制剂混合物),混匀后即可使用。根据需要,0.5M的EDTA也按照1:100的比例加入到裂解液中(如用于检测金属蛋白酶活性,则不宜添加EDTA)。含有蛋白酶抑制剂混合物的裂解液宜现用现配,不宜配制后冻存待后续使用。
2. 待所需的抑制剂添加完毕混匀后,就可以开始进行哺乳动物组织的裂解和蛋白提取。
商品属性:
| 货号 | CS-01Y66310 | 规格 | 10mM (in 1mL DMSO) 10mg 50mg 100mg 200mg |
| CAS号 | 755037-03-7 | 分子量 | 482.82 |
| 含量 | >98.00% | 别名 | BAY 73-4506 |
| 分子式 | C21H15ClF4N4O3 | 化学名 | 4-(4-(3-(4-chloro-3-(trifluoromethyl)phenyl)ureido)-3-fluorophenoxy)-N-methylpicolinamide |
| 产地 | 国产 | 用途 | 仅供科研研究实验 |
分子式:C21H15ClF4N4O3

分子量:482.82
溶解度:≥ 25.0415mg/mL in DMSO, ≥ 6.25 mg/mL in EtOH with ultrasonic,insoluble in H2O
储存条件:Desiccate at -20°C
General tips:For obtaining a higher solubility , please warm the tube at 37 ℃ and shake it in the ultrasonic bath for a while.
Shipping Condition:Evaluation sample solution : ship with blue ice All other available size: ship with RT , or blue ice upon request
Regorafenib (BAY 73-4506) is a novel and orally active multikinase inhibitor of receptor tyrosine kinases VEGFR1, VEGFR2, VEGFR3, PDGFRβ, Kit, RET, Raf-1, B-RAF and B-RAFV600E with IC50 values of 13 nM/4.2 nM/46 nM, 22 nM, 7 nM, 1.5 nM, 2.5 nM, 28 nM and 19 nM [1].VEGFR1/2/3 are vascular endothelial growth factor receptor plays an important role in the formation of normal and tumor vasculature. platelet-derived growth factor receptor-β (PDGFRβ) is a receptor for the platelet-derived growth factor family. Kit, RET and B-RAF are both receptor tyrosine kinases that encoded by proto-oncogenes [1].Regorafenib (BAY 73-4506) is a novel and orally active receptor tyrosine kinases inhibitor. In NIH-3T3/VEGFR2 cells, regorafenib potently inhibited VEGFR2 autophosphorylation with IC50 value of 3 nM. Regorafenib also inhibited TIE2 and PDGFR-β autophosphorylation with IC50 values of 31 and 90 nM. Regorafenib potently inhibited KITK642E and RETC634W with IC50 values of ~20 and ~10 nM, respectively. In addition, regorafenib inhibited the proliferation of VEGF165-stimulated HUVECs with IC50 value of ~3 nM [1].In GS9L glioblastoma xenografted rat model, regorafenib administered orally at 10 mg/kg significantly reduced the extravasation of Gadomer in the vasculature. In various preclinical human xenograft mice models, regorafenib exhibited potent dose-dependent tumor growth inhibition (TGI) [1]. In murine metastatic colorectal cancer (CRC) liver metastasis model, regorafenib significantly delayed disease progression by inhibiting the growth of liver metastases and preventing the formation of new metastases in other organs [2].
注意事项:
抗逆滴加序列
每次向板内滴加抗原时,移液器滴头要与平面45度悬空,不要触碰到孔内的液体,由后向前依次滴加(即浓度由低往高滴加)。
抗感染反应期
抗原抗体在室温20~25℃下,必须反应30min以上,若环境温度低于室温,可将微量反应板置于恒温培养箱中,使二者充分反应。
旅游温度
磷酸盐缓冲液的pH值要在高压灭菌后进行滴定,往往在高压后pH值会有所改变,所以高压后再调一次pH值更为准确。磷酸盐缓冲液一经使用保存期不要超过3周。当pH<5.8时,红细胞会产生自凝现象;当pH>7.8时,图形洗脱加快,易造成肉眼观察产生误差;p H=7.2时,红细胞沉降最充分,图形最清晰。
当滴注 1%红细胞悬液时,应经常摇晃红细胞悬液,使红细胞均匀地分布在磷酸缓冲液中,以防止红细胞下降。
反应时间及温度
加入鸡红血球之后,反应板在室温(20~25℃)静置30~40min,对照孔血球下沉于孔底,即可判定结果。若室温达不到实验要求,需相应调整反应时间。当环境温度低于4℃时,红细胞发生自凝;高于37℃时,会发生反应物分离和红细胞溶血。
公司正在出售的产品:
| Recombnant Human PTPRB proten | 核受体结合因子2封闭多肽 |
| Endokinin-C封闭多肽 | ZCCHC13 Antibody Blocking Peptide |
| 转录延伸因子结合蛋白1封闭多肽 | IZUMO1 Antibody Blocking Peptide |
| 黑色素瘤相关抗原封闭多肽 | phospho-Acetyl Coenzyme A Carboxylase alpha (Ser80) Antibody Blocking Peptide |
| Scratch 2蛋白封闭多肽 | TMUB1 Antibody Blocking Peptide |
| HOOK3蛋白封闭多肽 | T2 Antibody Blocking Peptide |
| ZCCHV蛋白封闭多肽 | Recombinant human Vimentin, N-His |
| MYCBPAP封闭多肽 | 环指蛋白16封闭多肽 |
| 细胞核酸结合蛋白样封闭多肽 | MYCBPAP Antibody Blocking Peptide |
| IZUMO1蛋白封闭多肽 | ZCCHV Antibody Blocking Peptide |
| 跨膜和泛素样结构域蛋白1封闭多肽 | HOOK3 Antibody Blocking Peptide |
| 磷酸化乙酰辅酶A羧化酶封闭多肽 | SCRT2 Antibody Blocking Peptide |
| 棕榈酰蛋白水解酶2封闭多肽 | RegorafenibCD63 Antibody Blocking Peptide |
| 重组人波形蛋白 | REXO1 Antibody Blocking Peptide |
| NRBF2 Antibody Blocking Peptide | Endokinin-C Antibody Blocking Peptide |
风险提示:丁香通仅作为第三方平台,为商家信息发布提供平台空间。用户咨询产品时请注意保护个人信息及财产安全,合理判断,谨慎选购商品,商家和用户对交易行为负责。对于医疗器械类产品,请先查证核实企业经营资质和医疗器械产品注册证情况。
技术资料暂无技术资料 索取技术资料
Regorafenib
¥600 - 3200








