相关产品推荐更多 >
万千商家帮你免费找货
0 人在求购买到急需产品
- 详细信息
- 技术资料
- 库存:
60
- 英文名:
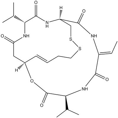
Romidepsin (FK228, depsipeptide)
- CAS号:
128517-07-7
- 供应商:
上海莼试
- 保存条件:
Store at -20°C
- 规格:
10mM (in 1mL DMSO) 1mg 5mg
使用方法:
1.本蛋白酶抑制剂混合物为100×的储存液,使用时按照1:100的比例加入到裂解液中(例如,1ml裂解液中加入10μl蛋白酶抑制剂混合物),混匀后即可使用。根据需要,0.5M的EDTA也按照1:100的比例加入到裂解液中(如用于检测金属蛋白酶活性,则不宜添加EDTA)。含有蛋白酶抑制剂混合物的裂解液宜现用现配,不宜配制后冻存待后续使用。
2. 待所需的抑制剂添加完毕混匀后,就可以开始进行哺乳动物组织的裂解和蛋白提取。
商品属性:
产品描述:
分子式:C24H36N4O6S2

分子量:540.7
溶解度:≥ 27.035mg/mL in DMSO, ≥ 35.27 mg/mL in EtOH with ultrasonic
储存条件:Store at -20°C
General tips:For obtaining a higher solubility , please warm the tube at 37 ℃ and shake it in the ultrasonic bath for a while.
Shipping Condition:Evaluation sample solution : ship with blue ice All other available size: ship with RT , or blue ice upon request
Romidepsin, also known as FK228 or depsipeptide, is potent and selective inhibitor of histone deacetylases (HDACs) which are associated with the regulation of re-expression of silenced tumor suppressor genes. It was the first HDAC inhibitor to manifest anti-tumor activity and originally isolated from a rod-shaped Gram-negative bacterium, Chromobacterium violaceum, found in a Japanese soil sample. Romidepsin exhibits a stronger inhibition towards HDAC1 and HDAC2 enzymes (class I), removing acetyl groups from the lysine residues of N-terminal histone tails and maintaining a more open and transcriptionally active chromatin state, than HDAC4 and HDAC6 enzymes (class II). Besides HDAC inhibition, romidepsin is also able to induce cell cycle arrest, cellular differentiation, apoptosis and alteration of gene expression in adult malignancies.
注意事项:
抗逆滴加序列
每次向板内滴加抗原时,移液器滴头要与平面45度悬空,不要触碰到孔内的液体,由后向前依次滴加(即浓度由低往高滴加)。
抗感染反应期
抗原抗体在室温20~25℃下,必须反应30min以上,若环境温度低于室温,可将微量反应板置于恒温培养箱中,使二者充分反应。
旅游温度
磷酸盐缓冲液的pH值要在高压灭菌后进行滴定,往往在高压后pH值会有所改变,所以高压后再调一次pH值更为准确。磷酸盐缓冲液一经使用保存期不要超过3周。当pH<5.8时,红细胞会产生自凝现象;当pH>7.8时,图形洗脱加快,易造成肉眼观察产生误差;p H=7.2时,红细胞沉降最充分,图形最清晰。
当滴注 1%红细胞悬液时,应经常摇晃红细胞悬液,使红细胞均匀地分布在磷酸缓冲液中,以防止红细胞下降。
反应时间及温度
加入鸡红血球之后,反应板在室温(20~25℃)静置30~40min,对照孔血球下沉于孔底,即可判定结果。若室温达不到实验要求,需相应调整反应时间。当环境温度低于4℃时,红细胞发生自凝;高于37℃时,会发生反应物分离和红细胞溶血。
公司正在出售的产品:
1.本蛋白酶抑制剂混合物为100×的储存液,使用时按照1:100的比例加入到裂解液中(例如,1ml裂解液中加入10μl蛋白酶抑制剂混合物),混匀后即可使用。根据需要,0.5M的EDTA也按照1:100的比例加入到裂解液中(如用于检测金属蛋白酶活性,则不宜添加EDTA)。含有蛋白酶抑制剂混合物的裂解液宜现用现配,不宜配制后冻存待后续使用。
2. 待所需的抑制剂添加完毕混匀后,就可以开始进行哺乳动物组织的裂解和蛋白提取。
商品属性:
| 货号 | CS-01Y66091 | 规格 | 10mM (in 1mL DMSO) 1mg 5mg |
| CAS号 | 128517-07-7 | 分子量 | 540.7 |
| 含量 | >98.00% | 别名 | Istodax, Antibiotic FR 901228, FK228, FR 901228, FK-228,Romidepsin |
| 分子式 | C24H36N4O6S2 | 化学名 | (1S,4S,7Z,10S,16E,21R)-7-ethylidene-4,21-di(propan-2-yl)-2-oxa-12,13-dithia-5,8,20,23-tetrazabicyclo[8.7.6]tricos-16-ene-3,6,9,19,22-pentone |
| 产地 | 国产 | 用途 | 仅供科研研究实验 |
分子式:C24H36N4O6S2

分子量:540.7
溶解度:≥ 27.035mg/mL in DMSO, ≥ 35.27 mg/mL in EtOH with ultrasonic
储存条件:Store at -20°C
General tips:For obtaining a higher solubility , please warm the tube at 37 ℃ and shake it in the ultrasonic bath for a while.
Shipping Condition:Evaluation sample solution : ship with blue ice All other available size: ship with RT , or blue ice upon request
Romidepsin, also known as FK228 or depsipeptide, is potent and selective inhibitor of histone deacetylases (HDACs) which are associated with the regulation of re-expression of silenced tumor suppressor genes. It was the first HDAC inhibitor to manifest anti-tumor activity and originally isolated from a rod-shaped Gram-negative bacterium, Chromobacterium violaceum, found in a Japanese soil sample. Romidepsin exhibits a stronger inhibition towards HDAC1 and HDAC2 enzymes (class I), removing acetyl groups from the lysine residues of N-terminal histone tails and maintaining a more open and transcriptionally active chromatin state, than HDAC4 and HDAC6 enzymes (class II). Besides HDAC inhibition, romidepsin is also able to induce cell cycle arrest, cellular differentiation, apoptosis and alteration of gene expression in adult malignancies.
注意事项:
抗逆滴加序列
每次向板内滴加抗原时,移液器滴头要与平面45度悬空,不要触碰到孔内的液体,由后向前依次滴加(即浓度由低往高滴加)。
抗感染反应期
抗原抗体在室温20~25℃下,必须反应30min以上,若环境温度低于室温,可将微量反应板置于恒温培养箱中,使二者充分反应。
旅游温度
磷酸盐缓冲液的pH值要在高压灭菌后进行滴定,往往在高压后pH值会有所改变,所以高压后再调一次pH值更为准确。磷酸盐缓冲液一经使用保存期不要超过3周。当pH<5.8时,红细胞会产生自凝现象;当pH>7.8时,图形洗脱加快,易造成肉眼观察产生误差;p H=7.2时,红细胞沉降最充分,图形最清晰。
当滴注 1%红细胞悬液时,应经常摇晃红细胞悬液,使红细胞均匀地分布在磷酸缓冲液中,以防止红细胞下降。
反应时间及温度
加入鸡红血球之后,反应板在室温(20~25℃)静置30~40min,对照孔血球下沉于孔底,即可判定结果。若室温达不到实验要求,需相应调整反应时间。当环境温度低于4℃时,红细胞发生自凝;高于37℃时,会发生反应物分离和红细胞溶血。
公司正在出售的产品:
| Recombnant Human C8B proten | RRP1B蛋白封闭多肽 |
| 细胞色素P450 2C8封闭多肽 | GPM6B Antibody Blocking Peptide |
| SEC23相互作用蛋白封闭多肽 | APOE4 Antibody Blocking Peptide |
| 磷酸化细胞凋亡抑制因子封闭多肽 | Streptokinase Antibody Blocking Peptide |
| RRAGD蛋白封闭多肽 | PIK3CG Antibody Blocking Peptide |
| 锌指蛋白19封闭多肽 | HLA-G Antibody Blocking Peptide |
| 富含亮氨酸重复蛋白Q4封闭多肽 | phospho-AKT1 (Ser129) Antibody Blocking Peptide |
| HECTD4蛋白封闭多肽 | 20号染色体开放阅读框94封闭多肽 |
| 神经细胞膜糖蛋白M6b | HECTD4 Antibody Blocking Peptide |
| 载脂蛋白E4封闭多肽 | LRRIQ4 Antibody Blocking Peptide |
| 磷脂酰肌醇激酶PIK3-γ封闭多肽 | ZNF19 Antibody Blocking Peptide |
| 链激酶封闭多肽 | RRAGD Antibody Blocking Peptide |
| 人类白细胞抗原G封闭多肽 | Romidepsin (FK228, depsipeptide)phospho-Survivin (Thr34) Antibody Blocking Peptide |
| 磷酸化蛋白激酶B封闭多肽 | SEC23IP Antibody Blocking Peptide |
| RRP1B Antibody Blocking Peptide | CYP2C8 Antibody Blocking Peptide |
风险提示:丁香通仅作为第三方平台,为商家信息发布提供平台空间。用户咨询产品时请注意保护个人信息及财产安全,合理判断,谨慎选购商品,商家和用户对交易行为负责。对于医疗器械类产品,请先查证核实企业经营资质和医疗器械产品注册证情况。
技术资料暂无技术资料 索取技术资料
Romidepsin (FK228, depsipeptide)
¥600 - 3200








