万千商家帮你免费找货
0 人在求购买到急需产品
- 详细信息
- 技术资料
- 库存:
35
- 英文名:
Triclabendazole-13C-d3
- 供应商:
上海莼试
- 保存条件:
Store at -20°C
- 规格:
500 μg 1 mg 5 mg
商品属性:
产品描述:
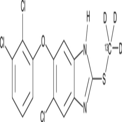
分子式:C13[13C]H6D3Cl3N2OS

分子量:363.7
溶解度:Acetonitrile: soluble,DMSO: soluble,Methanol: soluble
储存条件:-20°C
General tips:For obtaining a higher solubility , please warm the tube at 37 ℃ and shake it in the ultrasonic bath for a while.
Shipping Condition:Evaluation sample solution : ship with blue ice All other available size: ship with RT , or blue ice upon request
Triclabendazole-13C-d3 is intended for use as an internal standard for the quantification of triclabendazole by GC- or LC-MS. Triclabendazole is a benzimidazole anthelmintic.1 It eliminates both immature and adult flukes in a sheep model of F. hepatica infection when administered at a dose of 10 mg/kg.2 Triclabendazole (5 μM) also protects against glucose- or α-synuclein-induced apoptosis in S. cerevisiae via inhibition of adenylyl cyclase in the Ras-adenylyl cyclase-protein kinase A (PKA) nutrient sensing pathway.31.Shrifi, Y., Farahnak, A., Golestani, A., et al.Triclabendazole effect on protease enzyme activity in the excretory- secretory products of Fasciola hepatica in vitroIran. J. Parasitol.9(1)107-113(2014) 2.Smeal, M.G., and Hall, C.A.The activity of triclabendazole against immature and adult Fasciola hepatica infections in sheepAust. Vet. J.60(11)329-331(1983) 3.Lee, Y.J., Burlet, E., Wang, S., et al.Triclabendazole protects yeast and mammalian cells from oxidative stress: Identification of a potential neuroprotective compoundBiochem. Biophys. Res. Commun.414(1)205-208(2011).
注意事项:
抗逆滴加序列
每次向板内滴加抗原时,移液器滴头要与平面45度悬空,不要触碰到孔内的液体,由后向前依次滴加(即浓度由低往高滴加)。
抗感染反应期
抗原抗体在室温20~25℃下,必须反应30min以上,若环境温度低于室温,可将微量反应板置于恒温培养箱中,使二者充分反应。
旅游温度
磷酸盐缓冲液的pH值要在高压灭菌后进行滴定,往往在高压后pH值会有所改变,所以高压后再调一次pH值更为准确。磷酸盐缓冲液一经使用保存期不要超过3周。当pH<5.8时,红细胞会产生自凝现象;当pH>7.8时,图形洗脱加快,易造成肉眼观察产生误差;p H=7.2时,红细胞沉降最充分,图形最清晰。
当滴注 1%红细胞悬液时,应经常摇晃红细胞悬液,使红细胞均匀地分布在磷酸缓冲液中,以防止红细胞下降。
反应时间及温度
加入鸡红血球之后,反应板在室温(20~25℃)静置30~40min,对照孔血球下沉于孔底,即可判定结果。若室温达不到实验要求,需相应调整反应时间。当环境温度低于4℃时,红细胞发生自凝;高于37℃时,会发生反应物分离和红细胞溶血。
使用方法:
1.本蛋白酶抑制剂混合物为100×的储存液,使用时按照1:100的比例加入到裂解液中(例如,1ml裂解液中加入10μl蛋白酶抑制剂混合物),混匀后即可使用。根据需要,0.5M的EDTA也按照1:100的比例加入到裂解液中(如用于检测金属蛋白酶活性,则不宜添加EDTA)。含有蛋白酶抑制剂混合物的裂解液宜现用现配,不宜配制后冻存待后续使用。
2. 待所需的抑制剂添加完毕混匀后,就可以开始进行哺乳动物组织的裂解和蛋白提取。
公司正在出售的产品:
| 货号 | CS-01Y66592 | 规格 | 500 μg 1 mg 5 mg |
| CAS号 | N/A | 分子量 | 363.7 |
| 含量 | >99.00% | 别名 | N/A |
| 分子式 | C13[13C]H6D3Cl3N2OS | 化学名 | N/A |
| 产地 | 国产 | 用途 | 仅供科研研究实验 |
分子式:C13[13C]H6D3Cl3N2OS

分子量:363.7
溶解度:Acetonitrile: soluble,DMSO: soluble,Methanol: soluble
储存条件:-20°C
General tips:For obtaining a higher solubility , please warm the tube at 37 ℃ and shake it in the ultrasonic bath for a while.
Shipping Condition:Evaluation sample solution : ship with blue ice All other available size: ship with RT , or blue ice upon request
Triclabendazole-13C-d3 is intended for use as an internal standard for the quantification of triclabendazole by GC- or LC-MS. Triclabendazole is a benzimidazole anthelmintic.1 It eliminates both immature and adult flukes in a sheep model of F. hepatica infection when administered at a dose of 10 mg/kg.2 Triclabendazole (5 μM) also protects against glucose- or α-synuclein-induced apoptosis in S. cerevisiae via inhibition of adenylyl cyclase in the Ras-adenylyl cyclase-protein kinase A (PKA) nutrient sensing pathway.31.Shrifi, Y., Farahnak, A., Golestani, A., et al.Triclabendazole effect on protease enzyme activity in the excretory- secretory products of Fasciola hepatica in vitroIran. J. Parasitol.9(1)107-113(2014) 2.Smeal, M.G., and Hall, C.A.The activity of triclabendazole against immature and adult Fasciola hepatica infections in sheepAust. Vet. J.60(11)329-331(1983) 3.Lee, Y.J., Burlet, E., Wang, S., et al.Triclabendazole protects yeast and mammalian cells from oxidative stress: Identification of a potential neuroprotective compoundBiochem. Biophys. Res. Commun.414(1)205-208(2011).
注意事项:
抗逆滴加序列
每次向板内滴加抗原时,移液器滴头要与平面45度悬空,不要触碰到孔内的液体,由后向前依次滴加(即浓度由低往高滴加)。
抗感染反应期
抗原抗体在室温20~25℃下,必须反应30min以上,若环境温度低于室温,可将微量反应板置于恒温培养箱中,使二者充分反应。
旅游温度
磷酸盐缓冲液的pH值要在高压灭菌后进行滴定,往往在高压后pH值会有所改变,所以高压后再调一次pH值更为准确。磷酸盐缓冲液一经使用保存期不要超过3周。当pH<5.8时,红细胞会产生自凝现象;当pH>7.8时,图形洗脱加快,易造成肉眼观察产生误差;p H=7.2时,红细胞沉降最充分,图形最清晰。
当滴注 1%红细胞悬液时,应经常摇晃红细胞悬液,使红细胞均匀地分布在磷酸缓冲液中,以防止红细胞下降。
反应时间及温度
加入鸡红血球之后,反应板在室温(20~25℃)静置30~40min,对照孔血球下沉于孔底,即可判定结果。若室温达不到实验要求,需相应调整反应时间。当环境温度低于4℃时,红细胞发生自凝;高于37℃时,会发生反应物分离和红细胞溶血。
使用方法:
1.本蛋白酶抑制剂混合物为100×的储存液,使用时按照1:100的比例加入到裂解液中(例如,1ml裂解液中加入10μl蛋白酶抑制剂混合物),混匀后即可使用。根据需要,0.5M的EDTA也按照1:100的比例加入到裂解液中(如用于检测金属蛋白酶活性,则不宜添加EDTA)。含有蛋白酶抑制剂混合物的裂解液宜现用现配,不宜配制后冻存待后续使用。
2. 待所需的抑制剂添加完毕混匀后,就可以开始进行哺乳动物组织的裂解和蛋白提取。
公司正在出售的产品:
| Recombnant Human CAP6, N-H | 磷酸化磷酯酶Cβ3封闭多肽 |
| MAF1蛋白封闭多肽 | IMPDH1 Antibody Blocking Peptide |
| β淀粉样肽(C端)多肽 | AHSP Antibody Blocking Peptide |
| 磷酸化蛋白激酶C theta封闭多肽 | RBMS1 Antibody Blocking Peptide |
| 5-羟色胺受体2B封闭多肽 | PSMB3 Antibody Blocking Peptide |
| 磷酸化G蛋白偶联受体激酶相互作用蛋白1封闭多肽 | OBP2A Antibody Blocking Peptide |
| 磷酸化心脏磷蛋白封闭多肽 | Cyclin B1 Antibody Blocking Peptide |
| 转录因子家族ETS1封闭多肽 | Bcl2样凋亡蛋白14封闭多肽 |
| 肌苷单磷酸脱氢酶1封闭多肽 | ETS1 Antibody Blocking Peptide |
| α红细胞分化相关因子封闭多肽 | phospho-PLB (Thr17) Antibody Blocking Peptide |
| 蛋白酶体PSMβ3封闭多肽 | phospho-GIT1 (Tyr510) Antibody Blocking Peptide |
| 宫颈癌癌基因4封闭多肽 | HTR2B Antibody Blocking Peptide |
| 气味结合蛋白2A封闭多肽 | Triclabendazole-13C-d3phospho-PRKCQ (Thr538) Antibody Blocking Peptide |
| 周期素B1封闭多肽 | Aβ1-42 (C-t) Antibody Blocking Peptide |
| Phospho-PLCB3 (Ser1105) Antibody Blocking Peptide | MAF1 Antibody Blocking Peptide |
风险提示:丁香通仅作为第三方平台,为商家信息发布提供平台空间。用户咨询产品时请注意保护个人信息及财产安全,合理判断,谨慎选购商品,商家和用户对交易行为负责。对于医疗器械类产品,请先查证核实企业经营资质和医疗器械产品注册证情况。
技术资料暂无技术资料 索取技术资料
Triclabendazole-13C-d3
¥600 - 3200








