相关产品推荐更多 >
万千商家帮你免费找货
0 人在求购买到急需产品
- 详细信息
- 技术资料
- 库存:
30
- 英文名:
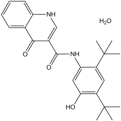
Ivacaftor (VX-770)
- CAS号:
873054-44-5
- 供应商:
上海莼试
- 保存条件:
Store at -20°C
- 规格:
10mM (in 1mL DMSO) 5mg 25mg 100mg
产品描述:
分子式:C24H28N2O3

分子量:392.49
溶解度:≥ 19.6mg/mL in DMSO, ≥ 2.95 mg/mL in EtOH with ultrasonic
储存条件:Store at -20°C
General tips:For obtaining a higher solubility , please warm the tube at 37 ℃ and shake it in the ultrasonic bath for a while.
Shipping Condition:Evaluation sample solution : ship with blue ice All other available size: ship with RT , or blue ice upon request
Ivacaftor (VX-770) is a potent and orally bioavailable small molecule potentiator of cystic fibrosis transmembrane conductance regulator (CFTR). Studies in both G551D- and F508del-CFTR expressing cells have shown VX-700 combined with forskolin, but not VX-700 alone, has significantly increased CFTR-mediated Cl-secretion. The EC50 values of VX-700 in G551D- and F508del-CFTR are 100 nM and 25 nM, respectively [1].VX-770 has been reported to reduce ENaC-mediated Na+ absorption and increase the amount of fluid on the apil surface in human CF bronchial epithelia (HBE) carrying G551D/F508del [1]. VX-770 combined with OAG has been shown to increase G551D-CFTR activity and OAG-dependent Ca2+ influx and in Chinese hamster ovary (CHO) cells [2].
商品属性:
注意事项:
抗逆滴加序列
每次向板内滴加抗原时,移液器滴头要与平面45度悬空,不要触碰到孔内的液体,由后向前依次滴加(即浓度由低往高滴加)。
抗感染反应期
抗原抗体在室温20~25℃下,必须反应30min以上,若环境温度低于室温,可将微量反应板置于恒温培养箱中,使二者充分反应。
旅游温度
磷酸盐缓冲液的pH值要在高压灭菌后进行滴定,往往在高压后pH值会有所改变,所以高压后再调一次pH值更为准确。磷酸盐缓冲液一经使用保存期不要超过3周。当pH<5.8时,红细胞会产生自凝现象;当pH>7.8时,图形洗脱加快,易造成肉眼观察产生误差;p H=7.2时,红细胞沉降最充分,图形最清晰。
当滴注 1%红细胞悬液时,应经常摇晃红细胞悬液,使红细胞均匀地分布在磷酸缓冲液中,以防止红细胞下降。
反应时间及温度
加入鸡红血球之后,反应板在室温(20~25℃)静置30~40min,对照孔血球下沉于孔底,即可判定结果。若室温达不到实验要求,需相应调整反应时间。当环境温度低于4℃时,红细胞发生自凝;高于37℃时,会发生反应物分离和红细胞溶血。
公司正在出售的产品:
使用方法:
1.本蛋白酶抑制剂混合物为100×的储存液,使用时按照1:100的比例加入到裂解液中(例如,1ml裂解液中加入10μl蛋白酶抑制剂混合物),混匀后即可使用。根据需要,0.5M的EDTA也按照1:100的比例加入到裂解液中(如用于检测金属蛋白酶活性,则不宜添加EDTA)。含有蛋白酶抑制剂混合物的裂解液宜现用现配,不宜配制后冻存待后续使用。
2. 待所需的抑制剂添加完毕混匀后,就可以开始进行哺乳动物组织的裂解和蛋白提取。
分子式:C24H28N2O3

分子量:392.49
溶解度:≥ 19.6mg/mL in DMSO, ≥ 2.95 mg/mL in EtOH with ultrasonic
储存条件:Store at -20°C
General tips:For obtaining a higher solubility , please warm the tube at 37 ℃ and shake it in the ultrasonic bath for a while.
Shipping Condition:Evaluation sample solution : ship with blue ice All other available size: ship with RT , or blue ice upon request
Ivacaftor (VX-770) is a potent and orally bioavailable small molecule potentiator of cystic fibrosis transmembrane conductance regulator (CFTR). Studies in both G551D- and F508del-CFTR expressing cells have shown VX-700 combined with forskolin, but not VX-700 alone, has significantly increased CFTR-mediated Cl-secretion. The EC50 values of VX-700 in G551D- and F508del-CFTR are 100 nM and 25 nM, respectively [1].VX-770 has been reported to reduce ENaC-mediated Na+ absorption and increase the amount of fluid on the apil surface in human CF bronchial epithelia (HBE) carrying G551D/F508del [1]. VX-770 combined with OAG has been shown to increase G551D-CFTR activity and OAG-dependent Ca2+ influx and in Chinese hamster ovary (CHO) cells [2].
商品属性:
| 货号 | CS-01Y74840 | 规格 | 10mM (in 1mL DMSO) 5mg 25mg 100mg |
| CAS号 | 873054-44-5 | 分子量 | 392.49 |
| 含量 | >99.00% | 别名 | N/A |
| 分子式 | C24H28N2O3 | 化学名 | N-(2,4-di-tert-butyl-5-hydroxyphenyl)-4-oxo-1,4-dihydroquinoline-3-carboxamide hydrate |
| 产地 | 国产 | 用途 | 仅供科研研究实验 |
抗逆滴加序列
每次向板内滴加抗原时,移液器滴头要与平面45度悬空,不要触碰到孔内的液体,由后向前依次滴加(即浓度由低往高滴加)。
抗感染反应期
抗原抗体在室温20~25℃下,必须反应30min以上,若环境温度低于室温,可将微量反应板置于恒温培养箱中,使二者充分反应。
旅游温度
磷酸盐缓冲液的pH值要在高压灭菌后进行滴定,往往在高压后pH值会有所改变,所以高压后再调一次pH值更为准确。磷酸盐缓冲液一经使用保存期不要超过3周。当pH<5.8时,红细胞会产生自凝现象;当pH>7.8时,图形洗脱加快,易造成肉眼观察产生误差;p H=7.2时,红细胞沉降最充分,图形最清晰。
当滴注 1%红细胞悬液时,应经常摇晃红细胞悬液,使红细胞均匀地分布在磷酸缓冲液中,以防止红细胞下降。
反应时间及温度
加入鸡红血球之后,反应板在室温(20~25℃)静置30~40min,对照孔血球下沉于孔底,即可判定结果。若室温达不到实验要求,需相应调整反应时间。当环境温度低于4℃时,红细胞发生自凝;高于37℃时,会发生反应物分离和红细胞溶血。
公司正在出售的产品:
| Recombnant Human HMGB1, N-H | Kelch样蛋白14封闭多肽 |
| 乙酰化组蛋白H4封闭多肽 | NR2E1 Antibody Blocking Peptide |
| 腺苷酸环化酶激活肽 (1-38) 活性多肽 | GDPD2 Antibody Blocking Peptide |
| 谷氨酰胺转胺酶4封闭多肽 | PLEKHH1 Antibody Blocking Peptide |
| 周期素依赖性激酶2封闭多肽 | Influenza A Nonstructural Protein 1 Antibody Blocking Peptide |
| 心肌肌钙蛋白I封闭多肽 | ILVBL Antibody Blocking Peptide |
| 细胞质多聚腺苷酸结合蛋白4封闭多肽 | AGTR2 Antibody Blocking Peptide |
| 磷酸化周期素依赖性激酶9封闭多肽 | 6号染色体开放阅读框140封闭多肽 |
| 核受体蛋白NR2E1封闭多肽 | Phospho-CDK9 (Thr186) Antibody Blocking Peptide |
| 促进成骨细胞分化因子/GDPD2封闭多肽 | CPEB4 Antibody Blocking Peptide |
| A型流感病毒非结构蛋白1封闭多肽 | TNNI3 Antibody Blocking Peptide |
| 含普列克底物蛋白家族H成员1封闭多肽 | CDK2 Antibody Blocking Peptide |
| 乙酰乳酸合成酶蛋白封闭多肽 | Ivacaftor (VX-770)TGM4 Antibody Blocking Peptide |
| 血管紧张素Ⅱ受体2封闭多肽 | PACAP (1-38) Active Peptide |
| KLHL14 Antibody Blocking Peptide | Acetyl-Histone H4 (K8) Antibody Blocking Peptide |
1.本蛋白酶抑制剂混合物为100×的储存液,使用时按照1:100的比例加入到裂解液中(例如,1ml裂解液中加入10μl蛋白酶抑制剂混合物),混匀后即可使用。根据需要,0.5M的EDTA也按照1:100的比例加入到裂解液中(如用于检测金属蛋白酶活性,则不宜添加EDTA)。含有蛋白酶抑制剂混合物的裂解液宜现用现配,不宜配制后冻存待后续使用。
2. 待所需的抑制剂添加完毕混匀后,就可以开始进行哺乳动物组织的裂解和蛋白提取。
风险提示:丁香通仅作为第三方平台,为商家信息发布提供平台空间。用户咨询产品时请注意保护个人信息及财产安全,合理判断,谨慎选购商品,商家和用户对交易行为负责。对于医疗器械类产品,请先查证核实企业经营资质和医疗器械产品注册证情况。
技术资料暂无技术资料 索取技术资料
Ivacaftor (VX-770)
¥600 - 3200









