相关产品推荐更多 >
万千商家帮你免费找货
0 人在求购买到急需产品
- 详细信息
- 技术资料
- 库存:
32
- 英文名:
A-740003
- CAS号:
861393-28-4
- 供应商:
上海莼试
- 保存条件:
Store at -20°C
- 规格:
10mM (in 1mL DMSO) 50mg 100mg
产品描述:
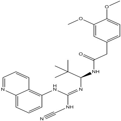
分子式:C26H30N6O3

分子量:474.57
溶解度:≥ 23.7 mg/mL in DMSO, ≥ 2.48 mg/mL in EtOH with ultrasonic and warming
储存条件:Store at -20°C
General tips:For obtaining a higher solubility , please warm the tube at 37 ℃ and shake it in the ultrasonic bath for a while.
Shipping Condition:Evaluation sample solution : ship with blue ice All other available size: ship with RT , or blue ice upon request
A-740003 is a selective and competitive antagonist of P2X7 receptor with IC50 values of 40 nM and 18 nM in human and rat, respectively [1].P2X7 receptors are members of ATP-sensitive ionotropic P2X receptor family (P2X1–P2X7). P2X7 receptors can trigger various responses such as activation of caspases, cytokine release, membrane permeabilization, apoptosis and cell proliferation, in immunologically genetic cells [1].Activated P2X7 receptors rapidly change intracellular calcium concentrations, the release of interleukin-1β (IL-1β), and cytolytic plasma membrane pore formation. In human THP-1 cells with a macrophage phenotype that P2X7 receptors were expressed, IL-1β release and pore formation were resulted from the activation of P2X7 receptors. A-740003 potently inhibited pore formation (measured by Yo-Pro uptake) with an IC50 value of 92 nM and blocked the release of IL-1β with an IC50 value of 156 nM [1].
商品属性:
注意事项:
抗逆滴加序列
每次向板内滴加抗原时,移液器滴头要与平面45度悬空,不要触碰到孔内的液体,由后向前依次滴加(即浓度由低往高滴加)。
抗感染反应期
抗原抗体在室温20~25℃下,必须反应30min以上,若环境温度低于室温,可将微量反应板置于恒温培养箱中,使二者充分反应。
旅游温度
磷酸盐缓冲液的pH值要在高压灭菌后进行滴定,往往在高压后pH值会有所改变,所以高压后再调一次pH值更为准确。磷酸盐缓冲液一经使用保存期不要超过3周。当pH<5.8时,红细胞会产生自凝现象;当pH>7.8时,图形洗脱加快,易造成肉眼观察产生误差;p H=7.2时,红细胞沉降最充分,图形最清晰。
当滴注 1%红细胞悬液时,应经常摇晃红细胞悬液,使红细胞均匀地分布在磷酸缓冲液中,以防止红细胞下降。
反应时间及温度
加入鸡红血球之后,反应板在室温(20~25℃)静置30~40min,对照孔血球下沉于孔底,即可判定结果。若室温达不到实验要求,需相应调整反应时间。当环境温度低于4℃时,红细胞发生自凝;高于37℃时,会发生反应物分离和红细胞溶血。
公司正在出售的产品:
使用方法:
1.本蛋白酶抑制剂混合物为100×的储存液,使用时按照1:100的比例加入到裂解液中(例如,1ml裂解液中加入10μl蛋白酶抑制剂混合物),混匀后即可使用。根据需要,0.5M的EDTA也按照1:100的比例加入到裂解液中(如用于检测金属蛋白酶活性,则不宜添加EDTA)。含有蛋白酶抑制剂混合物的裂解液宜现用现配,不宜配制后冻存待后续使用。
2. 待所需的抑制剂添加完毕混匀后,就可以开始进行哺乳动物组织的裂解和蛋白提取。
分子式:C26H30N6O3

分子量:474.57
溶解度:≥ 23.7 mg/mL in DMSO, ≥ 2.48 mg/mL in EtOH with ultrasonic and warming
储存条件:Store at -20°C
General tips:For obtaining a higher solubility , please warm the tube at 37 ℃ and shake it in the ultrasonic bath for a while.
Shipping Condition:Evaluation sample solution : ship with blue ice All other available size: ship with RT , or blue ice upon request
A-740003 is a selective and competitive antagonist of P2X7 receptor with IC50 values of 40 nM and 18 nM in human and rat, respectively [1].P2X7 receptors are members of ATP-sensitive ionotropic P2X receptor family (P2X1–P2X7). P2X7 receptors can trigger various responses such as activation of caspases, cytokine release, membrane permeabilization, apoptosis and cell proliferation, in immunologically genetic cells [1].Activated P2X7 receptors rapidly change intracellular calcium concentrations, the release of interleukin-1β (IL-1β), and cytolytic plasma membrane pore formation. In human THP-1 cells with a macrophage phenotype that P2X7 receptors were expressed, IL-1β release and pore formation were resulted from the activation of P2X7 receptors. A-740003 potently inhibited pore formation (measured by Yo-Pro uptake) with an IC50 value of 92 nM and blocked the release of IL-1β with an IC50 value of 156 nM [1].
商品属性:
| 货号 | CS-01Y74430 | 规格 | 10mM (in 1mL DMSO) 50mg 100mg |
| CAS号 | 861393-28-4 | 分子量 | 474.57 |
| 含量 | >98.00% | 别名 | A 740003;A740003 |
| 分子式 | C26H30N6O3 | 化学名 | N-[1-[(E)-[(cyanoamino)-(quinolin-5-ylamino)methylidene]amino]-2,2-dimethylpropyl]-2-(3,4-dimethoxyphenyl)acetamide |
| 产地 | 国产 | 用途 | 仅供科研研究实验 |
抗逆滴加序列
每次向板内滴加抗原时,移液器滴头要与平面45度悬空,不要触碰到孔内的液体,由后向前依次滴加(即浓度由低往高滴加)。
抗感染反应期
抗原抗体在室温20~25℃下,必须反应30min以上,若环境温度低于室温,可将微量反应板置于恒温培养箱中,使二者充分反应。
旅游温度
磷酸盐缓冲液的pH值要在高压灭菌后进行滴定,往往在高压后pH值会有所改变,所以高压后再调一次pH值更为准确。磷酸盐缓冲液一经使用保存期不要超过3周。当pH<5.8时,红细胞会产生自凝现象;当pH>7.8时,图形洗脱加快,易造成肉眼观察产生误差;p H=7.2时,红细胞沉降最充分,图形最清晰。
当滴注 1%红细胞悬液时,应经常摇晃红细胞悬液,使红细胞均匀地分布在磷酸缓冲液中,以防止红细胞下降。
反应时间及温度
加入鸡红血球之后,反应板在室温(20~25℃)静置30~40min,对照孔血球下沉于孔底,即可判定结果。若室温达不到实验要求,需相应调整反应时间。当环境温度低于4℃时,红细胞发生自凝;高于37℃时,会发生反应物分离和红细胞溶血。
公司正在出售的产品:
| Recombnant Human CDC34, N-H | ERAS Antibody Blocking Peptide |
| Recombinant Human FANK1 | Recombinant Peroxiredoxin 6 (PRDX6) |
| RORC Antibody Blocking Peptide | Recombinant A Disintegrin And Metalloproteinase With Thrombospondin 1 (ADAMTS1) |
| SRXN1 Antibody Blocking Peptide | Recombinant A Disintegrin And Metalloproteinase With Thrombospondin 1 (ADAMTS1) |
| phospho-FER/TYK3 (Tyr402) Antibody Blocking Peptide | Recombinant Hyaluronoglucosaminidase 2 (HYAL2) |
| RAB13 Antibody Blocking Peptide | Recombinant A Disintegrin And Metalloproteinase With Thrombospondin 1 (ADAMTS1) |
| Oxytetracycline/OVA | Recombinant Alkaline Phosphatase, Placental Like Protein 2 (ALL2) |
| RANBP3L Antibody Blocking Peptide | ?磷酸葡萄糖变位酶/?-phophoglucomutae封闭多肽 |
| Tau protein Antibody Blocking Peptide | Recombinant A Disintegrin And Metalloproteinase With Thrombospondin 8 (ADAMTS8) |
| SMAD6 Antibody Blocking Peptide | Recombinant A Disintegrin And Metalloproteinase With Thrombospondin 2 (ADAMTS2) |
| NME7 Antibody Blocking Peptide | Recombinant Dolichyl Diphosphooligosaccharide Protein Glycosyltransferase (DDOST) |
| Estradiol/BSA | Recombinant Dolichyl Diphosphooligosaccharide Protein Glycosyltransferase (DDOST) |
| Tpbpa Antibody Blocking Peptide | A-740003Recombinant Phosphohistidine Phosphatase 1 (PHPT1) |
| FUT10 Antibody Blocking Peptide | Recombinant Ubiquitin Carboxyl Terminal Hydrolase L3 (UCHL3) |
| HO-1 Antibody Blocking Peptide | Recombinant Ubiquitin Carboxyl Terminal Hydrolase L3 (UCHL3) |
1.本蛋白酶抑制剂混合物为100×的储存液,使用时按照1:100的比例加入到裂解液中(例如,1ml裂解液中加入10μl蛋白酶抑制剂混合物),混匀后即可使用。根据需要,0.5M的EDTA也按照1:100的比例加入到裂解液中(如用于检测金属蛋白酶活性,则不宜添加EDTA)。含有蛋白酶抑制剂混合物的裂解液宜现用现配,不宜配制后冻存待后续使用。
2. 待所需的抑制剂添加完毕混匀后,就可以开始进行哺乳动物组织的裂解和蛋白提取。
风险提示:丁香通仅作为第三方平台,为商家信息发布提供平台空间。用户咨询产品时请注意保护个人信息及财产安全,合理判断,谨慎选购商品,商家和用户对交易行为负责。对于医疗器械类产品,请先查证核实企业经营资质和医疗器械产品注册证情况。
技术资料暂无技术资料 索取技术资料
A-740003
¥600 - 3200








