万千商家帮你免费找货
0 人在求购买到急需产品
- 详细信息
- 技术资料
- 库存:
21
- 英文名:
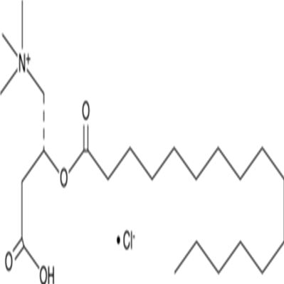
Palmitoyl-L-carnitine (chloride)
- CAS号:
18877-64-0
- 供应商:
上海莼试
- 保存条件:
Store at -20°C
- 规格:
5mg 10mg 25mg 50mg
商品属性:
产品描述:
分子式:C23H46NO4•Cl

分子量:436.1
溶解度:Water: slightly, heated, sonicated
储存条件:Store at -20°C
General tips:For obtaining a higher solubility , please warm the tube at 37 ℃ and shake it in the ultrasonic bath for a while.
Shipping Condition:Evaluation sample solution : ship with blue ice All other available size: ship with RT , or blue ice upon request
Palmitoyl-L-carnitine is a naturally occurring long-chain acylcarnitine and the L-enantiomer of palmitoyl-DL-carnitine . In cells, palmitoyl-L-carnitine is transported into mitochondria via carnitine palmitoyl transferase II to deliver palmitate for fatty acid oxidation and energy production. It also inhibits lecithin:cholesterol acyltransferase activity in rat, but not human, plasma when used at a concentration of 500 µM. In vivo, palmitoyl-L-carnitine increases intestinal absorption of the antibiotic cefoxitin in rat intestine.
注意事项:
抗逆滴加序列
每次向板内滴加抗原时,移液器滴头要与平面45度悬空,不要触碰到孔内的液体,由后向前依次滴加(即浓度由低往高滴加)。
抗感染反应期
抗原抗体在室温20~25℃下,必须反应30min以上,若环境温度低于室温,可将微量反应板置于恒温培养箱中,使二者充分反应。
旅游温度
磷酸盐缓冲液的pH值要在高压灭菌后进行滴定,往往在高压后pH值会有所改变,所以高压后再调一次pH值更为准确。磷酸盐缓冲液一经使用保存期不要超过3周。当pH<5.8时,红细胞会产生自凝现象;当pH>7.8时,图形洗脱加快,易造成肉眼观察产生误差;p H=7.2时,红细胞沉降最充分,图形最清晰。
当滴注 1%红细胞悬液时,应经常摇晃红细胞悬液,使红细胞均匀地分布在磷酸缓冲液中,以防止红细胞下降。
反应时间及温度
加入鸡红血球之后,反应板在室温(20~25℃)静置30~40min,对照孔血球下沉于孔底,即可判定结果。若室温达不到实验要求,需相应调整反应时间。当环境温度低于4℃时,红细胞发生自凝;高于37℃时,会发生反应物分离和红细胞溶血。
使用方法:
1.本蛋白酶抑制剂混合物为100×的储存液,使用时按照1:100的比例加入到裂解液中(例如,1ml裂解液中加入10μl蛋白酶抑制剂混合物),混匀后即可使用。根据需要,0.5M的EDTA也按照1:100的比例加入到裂解液中(如用于检测金属蛋白酶活性,则不宜添加EDTA)。含有蛋白酶抑制剂混合物的裂解液宜现用现配,不宜配制后冻存待后续使用。
2. 待所需的抑制剂添加完毕混匀后,就可以开始进行哺乳动物组织的裂解和蛋白提取。
公司正在出售的产品:
| 货号 | CS-01Y74901 | 规格 | 5mg 10mg 25mg 50mg |
| CAS号 | 18877-64-0 | 分子量 | 436.1 |
| 含量 | >95.00% | 别名 | N/A |
| 分子式 | C23H46NO4•Cl | 化学名 | N/A |
| 产地 | 国产 | 用途 | 仅供科研研究实验 |
分子式:C23H46NO4•Cl

分子量:436.1
溶解度:Water: slightly, heated, sonicated
储存条件:Store at -20°C
General tips:For obtaining a higher solubility , please warm the tube at 37 ℃ and shake it in the ultrasonic bath for a while.
Shipping Condition:Evaluation sample solution : ship with blue ice All other available size: ship with RT , or blue ice upon request
Palmitoyl-L-carnitine is a naturally occurring long-chain acylcarnitine and the L-enantiomer of palmitoyl-DL-carnitine . In cells, palmitoyl-L-carnitine is transported into mitochondria via carnitine palmitoyl transferase II to deliver palmitate for fatty acid oxidation and energy production. It also inhibits lecithin:cholesterol acyltransferase activity in rat, but not human, plasma when used at a concentration of 500 µM. In vivo, palmitoyl-L-carnitine increases intestinal absorption of the antibiotic cefoxitin in rat intestine.
注意事项:
抗逆滴加序列
每次向板内滴加抗原时,移液器滴头要与平面45度悬空,不要触碰到孔内的液体,由后向前依次滴加(即浓度由低往高滴加)。
抗感染反应期
抗原抗体在室温20~25℃下,必须反应30min以上,若环境温度低于室温,可将微量反应板置于恒温培养箱中,使二者充分反应。
旅游温度
磷酸盐缓冲液的pH值要在高压灭菌后进行滴定,往往在高压后pH值会有所改变,所以高压后再调一次pH值更为准确。磷酸盐缓冲液一经使用保存期不要超过3周。当pH<5.8时,红细胞会产生自凝现象;当pH>7.8时,图形洗脱加快,易造成肉眼观察产生误差;p H=7.2时,红细胞沉降最充分,图形最清晰。
当滴注 1%红细胞悬液时,应经常摇晃红细胞悬液,使红细胞均匀地分布在磷酸缓冲液中,以防止红细胞下降。
反应时间及温度
加入鸡红血球之后,反应板在室温(20~25℃)静置30~40min,对照孔血球下沉于孔底,即可判定结果。若室温达不到实验要求,需相应调整反应时间。当环境温度低于4℃时,红细胞发生自凝;高于37℃时,会发生反应物分离和红细胞溶血。
使用方法:
1.本蛋白酶抑制剂混合物为100×的储存液,使用时按照1:100的比例加入到裂解液中(例如,1ml裂解液中加入10μl蛋白酶抑制剂混合物),混匀后即可使用。根据需要,0.5M的EDTA也按照1:100的比例加入到裂解液中(如用于检测金属蛋白酶活性,则不宜添加EDTA)。含有蛋白酶抑制剂混合物的裂解液宜现用现配,不宜配制后冻存待后续使用。
2. 待所需的抑制剂添加完毕混匀后,就可以开始进行哺乳动物组织的裂解和蛋白提取。
公司正在出售的产品:
| Recombnant Human EF1B proten , N- H Tag | phospho-MEK2(Thr394) Antibody Blocking Peptide |
| Recombinant Human EXOSC8 | Recombinant Serine Palmitoyltransferase, Long Chain Base Subunit 1 (SPTLC1) |
| MMP20 Antibody Blocking Peptide | Recombinant Sepiapterin Reductase (SPR) |
| FERMT1 Antibody Blocking Peptide | Recombinant Sialic Acid Acetylesterase (SIAE) |
| NRP1 Antibody Blocking Peptide | Recombinant Single Strand Selective Monofunctional Uracil DNA Glycosylase 1 (SMUG1) |
| ZNF800 Antibody Blocking Peptide | Recombinant N-Sulfoglucosamine Sulfohydrolase (SGSH) |
| ZNF677 Antibody Blocking Peptide | Recombinant Riboflavin Kinase (RFK) |
| GAD1 Antibody Blocking Peptide | 视杆细胞相关蛋白MREG封闭多肽 |
| Ilp3 Antibody Blocking Peptide | Recombinant Squalene Epoxidase (SQLE) |
| HRG1 Antibody Blocking Peptide | Recombinant Sulfatase 1 (SULF1) |
| ZNF780B Antibody Blocking Peptide | Recombinant Sulfatase 2 (SULF2) |
| SPINK5 Antibody Blocking Peptide | Recombinant Sulfite Oxidase (SUOX) |
| BHC80/PHF21A Antibody Blocking Peptide | Palmitoyl-L-carnitine (chloride)Recombinant Sulfite Oxidase (SUOX) |
| BBS12 Antibody Blocking Peptide | Recombinant Thymine DNA Glycosylase (TDG) |
| PRKCE Antibody Blocking Peptide | Recombinant Transglutaminase 6 (TGM6) |
风险提示:丁香通仅作为第三方平台,为商家信息发布提供平台空间。用户咨询产品时请注意保护个人信息及财产安全,合理判断,谨慎选购商品,商家和用户对交易行为负责。对于医疗器械类产品,请先查证核实企业经营资质和医疗器械产品注册证情况。
技术资料暂无技术资料 索取技术资料
Palmitoyl-L-carnitine (chloride)
¥600 - 3200








