万千商家帮你免费找货
0 人在求购买到急需产品
- 详细信息
- 技术资料
- 库存:
35
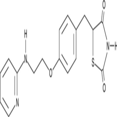
- 英文名:
N-desmethyl Rosiglitazone
- CAS号:
257892-31-2
- 供应商:
上海莼试
- 保存条件:
Store at -20°C
- 规格:
1mg 5mg 10mg
使用方法:
1.本蛋白酶抑制剂混合物为100×的储存液,使用时按照1:100的比例加入到裂解液中(例如,1ml裂解液中加入10μl蛋白酶抑制剂混合物),混匀后即可使用。根据需要,0.5M的EDTA也按照1:100的比例加入到裂解液中(如用于检测金属蛋白酶活性,则不宜添加EDTA)。含有蛋白酶抑制剂混合物的裂解液宜现用现配,不宜配制后冻存待后续使用。
2. 待所需的抑制剂添加完毕混匀后,就可以开始进行哺乳动物组织的裂解和蛋白提取。
商品属性:
产品描述:
分子式:C17H17N3O3S

分子量:343.4
溶解度:DMF: 25 mg/ml,DMSO: 34 mg/ml,DMSO:PBS(pH 7.2) (1:3): 0.5 mg/ml,Ethanol: 1 mg/ml
储存条件:Store at -20°C
General tips:For obtaining a higher solubility , please warm the tube at 37 ℃ and shake it in the ultrasonic bath for a while.
Shipping Condition:Evaluation sample solution : ship with blue ice All other available size: ship with RT , or blue ice upon request
N-desmethyl Rosiglitazone is a major metabolite of rosiglitazone , a potent and selective PPARγ ligand present in formulations that have been used to treat type 2 diabetes. Rosiglitazone is metabolized by the cytochrome P450 (CYP) isoform CYP2C8 to form N-desmethyl rosiglitazone.
注意事项:
抗逆滴加序列
每次向板内滴加抗原时,移液器滴头要与平面45度悬空,不要触碰到孔内的液体,由后向前依次滴加(即浓度由低往高滴加)。
抗感染反应期
抗原抗体在室温20~25℃下,必须反应30min以上,若环境温度低于室温,可将微量反应板置于恒温培养箱中,使二者充分反应。
旅游温度
磷酸盐缓冲液的pH值要在高压灭菌后进行滴定,往往在高压后pH值会有所改变,所以高压后再调一次pH值更为准确。磷酸盐缓冲液一经使用保存期不要超过3周。当pH<5.8时,红细胞会产生自凝现象;当pH>7.8时,图形洗脱加快,易造成肉眼观察产生误差;p H=7.2时,红细胞沉降最充分,图形最清晰。
当滴注 1%红细胞悬液时,应经常摇晃红细胞悬液,使红细胞均匀地分布在磷酸缓冲液中,以防止红细胞下降。
反应时间及温度
加入鸡红血球之后,反应板在室温(20~25℃)静置30~40min,对照孔血球下沉于孔底,即可判定结果。若室温达不到实验要求,需相应调整反应时间。当环境温度低于4℃时,红细胞发生自凝;高于37℃时,会发生反应物分离和红细胞溶血。
公司正在出售的产品:
1.本蛋白酶抑制剂混合物为100×的储存液,使用时按照1:100的比例加入到裂解液中(例如,1ml裂解液中加入10μl蛋白酶抑制剂混合物),混匀后即可使用。根据需要,0.5M的EDTA也按照1:100的比例加入到裂解液中(如用于检测金属蛋白酶活性,则不宜添加EDTA)。含有蛋白酶抑制剂混合物的裂解液宜现用现配,不宜配制后冻存待后续使用。
2. 待所需的抑制剂添加完毕混匀后,就可以开始进行哺乳动物组织的裂解和蛋白提取。
商品属性:
| 货号 | CS-01Y68487 | 规格 | 1mg 5mg 10mg |
| CAS号 | 257892-31-2 | 分子量 | 343.4 |
| 含量 | >98.00% | 别名 | N/A |
| 分子式 | C17H17N3O3S | 化学名 | N/A |
| 产地 | 国产 | 用途 | 仅供科研研究实验 |
分子式:C17H17N3O3S

分子量:343.4
溶解度:DMF: 25 mg/ml,DMSO: 34 mg/ml,DMSO:PBS(pH 7.2) (1:3): 0.5 mg/ml,Ethanol: 1 mg/ml
储存条件:Store at -20°C
General tips:For obtaining a higher solubility , please warm the tube at 37 ℃ and shake it in the ultrasonic bath for a while.
Shipping Condition:Evaluation sample solution : ship with blue ice All other available size: ship with RT , or blue ice upon request
N-desmethyl Rosiglitazone is a major metabolite of rosiglitazone , a potent and selective PPARγ ligand present in formulations that have been used to treat type 2 diabetes. Rosiglitazone is metabolized by the cytochrome P450 (CYP) isoform CYP2C8 to form N-desmethyl rosiglitazone.
注意事项:
抗逆滴加序列
每次向板内滴加抗原时,移液器滴头要与平面45度悬空,不要触碰到孔内的液体,由后向前依次滴加(即浓度由低往高滴加)。
抗感染反应期
抗原抗体在室温20~25℃下,必须反应30min以上,若环境温度低于室温,可将微量反应板置于恒温培养箱中,使二者充分反应。
旅游温度
磷酸盐缓冲液的pH值要在高压灭菌后进行滴定,往往在高压后pH值会有所改变,所以高压后再调一次pH值更为准确。磷酸盐缓冲液一经使用保存期不要超过3周。当pH<5.8时,红细胞会产生自凝现象;当pH>7.8时,图形洗脱加快,易造成肉眼观察产生误差;p H=7.2时,红细胞沉降最充分,图形最清晰。
当滴注 1%红细胞悬液时,应经常摇晃红细胞悬液,使红细胞均匀地分布在磷酸缓冲液中,以防止红细胞下降。
反应时间及温度
加入鸡红血球之后,反应板在室温(20~25℃)静置30~40min,对照孔血球下沉于孔底,即可判定结果。若室温达不到实验要求,需相应调整反应时间。当环境温度低于4℃时,红细胞发生自凝;高于37℃时,会发生反应物分离和红细胞溶血。
公司正在出售的产品:
| Recombnant Human TNN3 proten | SLC35B4 Antibody Blocking Peptide |
| Recombinant Human C1orf33 | Recombinant Rat Sonic Hedgehog |
| COMMD1 Antibody Blocking Peptide | Recombinant Rat Sortilin |
| SPTBN2 + SPTBN1 Antibody Blocking Peptide | Recombinant Rat SULT1B1 |
| SLC10A5 Antibody Blocking Peptide | Recombinant Rat SULT1A1 |
| Hpt/HP Antibody Blocking Peptide | Recombinant Rat TARC |
| MYH11 Antibody Blocking Peptide | Recombinant Rat TGF beta 1 |
| HAT4/FLJ14154 Antibody Blocking Peptide | 钠/磷酸转运蛋白1封闭多肽 |
| DRAP1 Antibody Blocking Peptide | Recombinant Rat SOD2 |
| RTL4 Antibody Blocking Peptide | Recombinant Rat SDF1 |
| phospho-Histone H3 (Thr3)-Mitosis Marker Antibody Blocking Peptide | Recombinant Rat S100A9 |
| COL6A2 Antibody Blocking Peptide | Recombinant Rat Prolactin |
| SARS spike glycoprotein Antibody Blocking Peptide | N-desmethyl RosiglitazoneRecombinant Rat Profilin 1 |
| CTGF Antibody Blocking Peptide | Recombinant Rat Procalcitonin |
| GPR146 Antibody Blocking Peptide | Recombinant Rat PLGF |
风险提示:丁香通仅作为第三方平台,为商家信息发布提供平台空间。用户咨询产品时请注意保护个人信息及财产安全,合理判断,谨慎选购商品,商家和用户对交易行为负责。对于医疗器械类产品,请先查证核实企业经营资质和医疗器械产品注册证情况。
技术资料暂无技术资料 索取技术资料
N-desmethyl Rosiglitazone
¥600 - 3200








