相关产品推荐更多 >
万千商家帮你免费找货
0 人在求购买到急需产品
- 详细信息
- 文献和实验
- 技术资料
- 库存:
42
- 英文名:
Choline Fenofibrate
- CAS号:
856676-23-8
- 供应商:
上海莼试
- 保存条件:
Store at -20°C
- 规格:
10mg 50mg
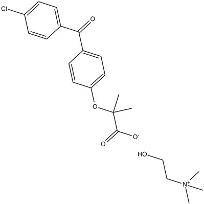
| 产品名称 | Choline Fenofibrate | 产品货号 | CS-01Y67721 |
| 规格 | 10mg 50mg | CAS号 | 856676-23-8 |
| 含量 | >98.00% | 分子式 | C22H28ClNO5 |
| 分子量 | 421.91 | 用途 | 仅供科研研究使用 |

Choline Fenofibrate规格:10mg 50mg
CAS:856676-23-8
别名:ABT-335;ABT 335;ABT335
化学名:2-hydroxy-N,N,N-trimethylethanaminium 2-(4-(4-chlorobenzoyl)phenoxy)-2-methylpropanoate
分子式:C22H28ClNO5

分子量:421.91
溶解度:≥ 8.44 mg/mL in DMSO with gentle warming, ≥ 55.8 mg/mL in EtOH with gentle warming, ≥ 106.6 mg/mL in H2O
储存条件:Store at -20°C
General tips:For obtaining a higher solubility , please warm the tube at 37 ℃ and shake it in the ultrasonic bath for a while.
Shipping Condition: Evaluation sample solution : ship with blue ice All other available size: ship with RT , or blue ice upon request
产品描述:

Choline Fenofibrate (ABT-335) is the choline salt of fenofibric acid under clinical development as a combination therapy with rosuvastatin for the management of dyslipidemia. IC50 value:Target:Several clinical trials have been developed with Choline Fenofibrate on Reverse Cholesterol Transport, Macular Edema and Hypertriglyceridemia.
使用方法:

1. 常用筛选浓度
注意:用来筛选稳转株的工作浓度需要根据细胞类型,培养基,生长条件和细胞代谢率而变化,推荐使用浓度为50-1000μg/mL。对于第一次使用的实验体系建议通过建立杀灭曲线(kill curve),即剂量反应性曲线,来确定最佳筛选浓度。
一般而言,哺乳动物细胞50-500μg/mL;细菌/植物细胞20-200μg/mL;真菌300-1000μg/mL。
2. 杀灭曲线的建立
注意:为了筛选得到稳定表达目的蛋白的细胞株,需要确定能够杀死未转染宿主细胞的抗生素浓度,可通过建立杀灭曲线(剂量反应曲线)来实现,至少选择5个浓度。
1) 第一天:未转化的细胞按照20-25%的细胞密度铺在合适的培养板上,37℃,CO2培养过夜;注:对于需要更高密度来检测活力的细胞,可增加接种量。
2) 根据细胞类型,设定合适范围内的浓度梯度。以哺乳动物细胞为例,可设定50,100,250,500,750,1000μg/mL。先用去离子水或者PBS buffer按照1:10的比例将母液稀释到5 mg/ml,然后按照下表稀释到相应浓度的工作液。
3) 第二天:替换旧的培养基,换用新鲜配制的含有相应浓度药物的培养基。每个浓度做三个平行孔。
4) 接下来每3-4天更换新的含药物培养基。
5) 按照固定的周期(如每2天)进行活细胞计数来确定阻止未转染细胞生长的恰当浓度。选择在理想的天数(通常是7-10天)内能够杀死绝大多数细胞的浓度为稳定转染细胞筛选用的工作浓度。
3. 稳定转染细胞的筛选
1) 转染48h后,用含有适当浓度的潮霉素B筛选培养基来传代细胞(直接传代或者稀释后传代)。
注意:细胞处于活跃分裂状态时抗生素的杀伤。则当细胞过于稠密,其效率会降低。为了得到较好的筛选效果,最好将细胞稀释至丰度不超过25%
2) 每隔3-4天更换含有药物的筛选培养液。
3) 筛选7天后观察并评估细胞克隆(集落)的形成情况。集落的形成可能还需要一周或者更多的时间,这取决于宿主细胞类型,转染,以及筛选效果。
4) 挑取并转移5-10个抗性克隆于35mm细胞培养板,继续用含药物的筛选培养液维持培养7天。
5) 之后更换正常培养基培养即可。
公司正在出售的产品:

| Recombnant Human CN11 proten | phospho-ESR1 (pTyr537) Antibody Blocking Peptide |
| Recombinant Human beta III Tubulin | Recombinant Human TWEAKR |
| NOVA2 Antibody Blocking Peptide | Recombinant Human TXNL4A |
| OPG Antibody Blocking Peptide | Recombinant Human TXNRD3IT1 |
| CCDC47 Antibody Blocking Peptide | Recombinant Human TXNL4B |
| STXBP1 Antibody Blocking Peptide | Recombinant Human UBC4 |
| EVI2B Antibody Blocking Peptide | Recombinant Human Ube2B |
| CD163L1 Antibody Blocking Peptide | 7号染色体开放阅读框43封闭多肽 |
| Phospho-TSC2 (Ser664) Antibody Blocking Peptide | Recombinant Human TWEAK |
| MRPS6 Antibody Blocking Peptide | Recombinant Human TTDA |
| KCNK17 Antibody Blocking Peptide | Recombinant Human TTC32 |
| MIA40 Antibody Blocking Peptide | Recombinant Human TTC11 |
| RTL1 Antibody Blocking Peptide | Choline FenofibrateRecombinant Human TSTD1 |
| Recombinant human NALP3 protein, His | Recombinant Human TSSC3 |
| ARRDC3 Antibody Blocking Peptide | Recombinant Human TSLP |
蛋白酶抑制剂混合物实验步骤:

(1)实验开始前将RNA提取液于65℃水浴锅中预热,离心管中加入ME(巯基乙醇),(10mL加80ul,50mL中加入300ul)
(2)取约0.8g菌丝体(液体培养获得的菌丝用真空抽滤即可!固体培养就更好说了),在液氮中迅速磨成精细粉末,装入50mL离心管,按1g材料8mL的量加入预热的RNA提取液,颠倒混匀
(3)65℃水浴3-10 min,期间混匀2-3次
(4)加入等体积的酚(注意是酸酚pH4.5)::yi戊醇(25:24:1)抽提(10,000rpm,4℃,5 min)
(5)取上清,等体积的yi戊醇(24:1)抽提(10,000rpm,4℃,5 min)
(6)加入1/4V体积10M LiCl溶液,4℃放置6h以上(或过夜)
(7)10,000rpm,4℃离心20min
(8)弃上清,用500ul SSTE溶解沉淀
(9)酚::yi戊醇(25:24:1)抽提两次,:yi戊醇(24:1)抽提1次(10,000rpm,4℃,5min)
(10)加2V体积的无水乙醇,在-70℃冰箱沉淀30min以上
(11)12,000rpm,4℃离心20 min
(12)弃上清.沉淀用70%酒精漂洗一次,干燥
(13)加200ul的DEPC处理水溶解
(14)用非变性琼脂糖凝胶电泳和紫外分光光度计扫描检测RNA的质量(在抽提过程中,若蛋白质含量或其它的杂质还较多,可以增加抽提次数)
风险提示:丁香通仅作为第三方平台,为商家信息发布提供平台空间。用户咨询产品时请注意保护个人信息及财产安全,合理判断,谨慎选购商品,商家和用户对交易行为负责。对于医疗器械类产品,请先查证核实企业经营资质和医疗器械产品注册证情况。
文献和实验亦称为胆碱磷酸,是动物细胞中卵磷酯生物合成的中间体。通过动物,酵母中的胆碱激酶从胆碱和 ATP生成磷酸胆碱和 ADP。其 Mg盐可用于治疗肝胆液分泌障碍。与 CTP一起,由磷酸胆碱胞嘧啶苷转移酶的作用生成 CDP胆碱。
胆碱以游离的或磷酸酰胆碱、或乙酰胆碱的形态存在于动植物的组织中(特别是脑、胆汁、卵黄、种子)。能调节细胞膜的渗透压,并作为一种抗脂肪肝因子而归于维生素 B复合体中。后者的作用并不是通过具有甲基的胆碱的供给,而是基于胆碱直接形成磷脂而参于脂肪代谢的调节中去。缺乏胆碱会引起肝脏大量蓄积脂肪,并引起肾脏病变。胆碱可用于治疗因脂肪代谢异常而引起的脂肪肝、肝硬化、动脉粥样硬化和心脏病。
CDP- O- CH2 CH2 - N ( CH3 ) 3 。是动物和酵母中生物合成磷脂酰胆碱( phosphatidylcholine)时的中间体。在磷酸胆碱胞苷转移酶的作用下( EC2. 7. 7. 15),从磷酸胆碱和 CTP生物合成。 CDP胆碱和 L- 1, 2-二甘油酯,在磷酸胆碱转移酶( cholinephosphotransferase)( EC 2. 7. 8. 2)的作用下,反应生成磷脂酰胆碱。
技术资料暂无技术资料 索取技术资料









