相关产品推荐更多 >
万千商家帮你免费找货
0 人在求购买到急需产品
- 详细信息
- 技术资料
- 库存:
54
- 英文名:
AM2394
- CAS号:
1442684-77-6
- 供应商:
上海莼试
- 保存条件:
Store at -20°C
- 规格:
1mg 5mg 10mg 25mg
商品属性:
产品描述:
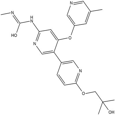
分子式:C22H25N5O4

分子量:423.5
溶解度:DMF: 1 mg/ml,DMSO: 1 mg/ml,DMSO:PBS (pH 7.2) (1:1): 0.50 mg/ml
储存条件:Store at -20°C
General tips:For obtaining a higher solubility , please warm the tube at 37 ℃ and shake it in the ultrasonic bath for a while.
Shipping Condition:Evaluation sample solution : ship with blue ice All other available size: ship with RT , or blue ice upon request
AM-2394 is a structurally distinct glucokinase activator (GKA). AM-2394 activates glucokinase (GK) with an EC50 of 60 nM.AM-2394, a structurally distinct glucokinase activator that displays a robust reduction in plasma glucose during an oral glucose tolerance test (OGTT) in ob/ob mice at a dose of 3 mg/kg. AM-2394 increases the affinity of glucokinase (GK) for glucose by approximately 10-fold, exhibits moderate clearance and good oral bioavailability in multiple animal models, and lowers glucose excursion following an oral glucose tolerance test in an ob/ob mouse model of diabetes. AM-2394 exhibits good-to-moderate cross species plasma clearance, volume of distribution, and oral bioavailability, allowing for further evaluation in animal models[1].
注意事项:
抗逆滴加序列
每次向板内滴加抗原时,移液器滴头要与平面45度悬空,不要触碰到孔内的液体,由后向前依次滴加(即浓度由低往高滴加)。
抗感染反应期
抗原抗体在室温20~25℃下,必须反应30min以上,若环境温度低于室温,可将微量反应板置于恒温培养箱中,使二者充分反应。
旅游温度
磷酸盐缓冲液的pH值要在高压灭菌后进行滴定,往往在高压后pH值会有所改变,所以高压后再调一次pH值更为准确。磷酸盐缓冲液一经使用保存期不要超过3周。当pH<5.8时,红细胞会产生自凝现象;当pH>7.8时,图形洗脱加快,易造成肉眼观察产生误差;p H=7.2时,红细胞沉降最充分,图形最清晰。
当滴注 1%红细胞悬液时,应经常摇晃红细胞悬液,使红细胞均匀地分布在磷酸缓冲液中,以防止红细胞下降。
反应时间及温度
加入鸡红血球之后,反应板在室温(20~25℃)静置30~40min,对照孔血球下沉于孔底,即可判定结果。若室温达不到实验要求,需相应调整反应时间。当环境温度低于4℃时,红细胞发生自凝;高于37℃时,会发生反应物分离和红细胞溶血。
使用方法:
1.本蛋白酶抑制剂混合物为100×的储存液,使用时按照1:100的比例加入到裂解液中(例如,1ml裂解液中加入10μl蛋白酶抑制剂混合物),混匀后即可使用。根据需要,0.5M的EDTA也按照1:100的比例加入到裂解液中(如用于检测金属蛋白酶活性,则不宜添加EDTA)。含有蛋白酶抑制剂混合物的裂解液宜现用现配,不宜配制后冻存待后续使用。
2. 待所需的抑制剂添加完毕混匀后,就可以开始进行哺乳动物组织的裂解和蛋白提取。
公司正在出售的产品:
| 货号 | CS-01Y67968 | 规格 | 1mg 5mg 10mg 25mg |
| CAS号 | 1442684-77-6 | 分子量 | 423.5 |
| 含量 | >98.00% | 别名 | N/A |
| 分子式 | C22H25N5O4 | 化学名 | N-[6'-(2-hydroxy-2-methylpropoxy)-4-[(5-methyl-3-pyridinyl)oxy][3,3'-bipyridin]-6-yl]-N'-methyl-urea |
| 产地 | 国产 | 用途 | 仅供科研研究实验 |
分子式:C22H25N5O4

分子量:423.5
溶解度:DMF: 1 mg/ml,DMSO: 1 mg/ml,DMSO:PBS (pH 7.2) (1:1): 0.50 mg/ml
储存条件:Store at -20°C
General tips:For obtaining a higher solubility , please warm the tube at 37 ℃ and shake it in the ultrasonic bath for a while.
Shipping Condition:Evaluation sample solution : ship with blue ice All other available size: ship with RT , or blue ice upon request
AM-2394 is a structurally distinct glucokinase activator (GKA). AM-2394 activates glucokinase (GK) with an EC50 of 60 nM.AM-2394, a structurally distinct glucokinase activator that displays a robust reduction in plasma glucose during an oral glucose tolerance test (OGTT) in ob/ob mice at a dose of 3 mg/kg. AM-2394 increases the affinity of glucokinase (GK) for glucose by approximately 10-fold, exhibits moderate clearance and good oral bioavailability in multiple animal models, and lowers glucose excursion following an oral glucose tolerance test in an ob/ob mouse model of diabetes. AM-2394 exhibits good-to-moderate cross species plasma clearance, volume of distribution, and oral bioavailability, allowing for further evaluation in animal models[1].
注意事项:
抗逆滴加序列
每次向板内滴加抗原时,移液器滴头要与平面45度悬空,不要触碰到孔内的液体,由后向前依次滴加(即浓度由低往高滴加)。
抗感染反应期
抗原抗体在室温20~25℃下,必须反应30min以上,若环境温度低于室温,可将微量反应板置于恒温培养箱中,使二者充分反应。
旅游温度
磷酸盐缓冲液的pH值要在高压灭菌后进行滴定,往往在高压后pH值会有所改变,所以高压后再调一次pH值更为准确。磷酸盐缓冲液一经使用保存期不要超过3周。当pH<5.8时,红细胞会产生自凝现象;当pH>7.8时,图形洗脱加快,易造成肉眼观察产生误差;p H=7.2时,红细胞沉降最充分,图形最清晰。
当滴注 1%红细胞悬液时,应经常摇晃红细胞悬液,使红细胞均匀地分布在磷酸缓冲液中,以防止红细胞下降。
反应时间及温度
加入鸡红血球之后,反应板在室温(20~25℃)静置30~40min,对照孔血球下沉于孔底,即可判定结果。若室温达不到实验要求,需相应调整反应时间。当环境温度低于4℃时,红细胞发生自凝;高于37℃时,会发生反应物分离和红细胞溶血。
使用方法:
1.本蛋白酶抑制剂混合物为100×的储存液,使用时按照1:100的比例加入到裂解液中(例如,1ml裂解液中加入10μl蛋白酶抑制剂混合物),混匀后即可使用。根据需要,0.5M的EDTA也按照1:100的比例加入到裂解液中(如用于检测金属蛋白酶活性,则不宜添加EDTA)。含有蛋白酶抑制剂混合物的裂解液宜现用现配,不宜配制后冻存待后续使用。
2. 待所需的抑制剂添加完毕混匀后,就可以开始进行哺乳动物组织的裂解和蛋白提取。
公司正在出售的产品:
| Recombnant Moue GDF-8/Myotatn proten ,C- H Tag | TBK1 Antibody Blocking Peptide |
| Recombinant Human ASB13 | Recombinant Human AMG |
| RGS18 Antibody Blocking Peptide | Recombinant Human Amphiregulin |
| AFAP1 Antibody Blocking Peptide | Recombinant Human Angiogenin |
| PCDHGA2 Antibody Blocking Peptide | Recombinant Human ANAPC13 |
| CIKS Antibody Blocking Peptide | Recombinant Human AP1S2 |
| Phospho-p90RSK (Thr573) Antibody Blocking Peptide | Recombinant Human Apolipoprotein CI |
| FOXH1 Antibody Blocking Peptide | 软骨酸性蛋白1封闭多肽 |
| NDUFB5 Antibody Blocking Peptide | Recombinant Human Alpha Taxilin |
| SLC25A2 Antibody Blocking Peptide | Recombinant Human alpha crystallin |
| PDK1 Antibody Blocking Peptide | Recombinant Human AKAP7 |
| C3orf19 Antibody Blocking Peptide | Recombinant Human AKAP13 |
| GPS1 Antibody Blocking Peptide | AM2394Recombinant Human AK6 |
| APH1a Antibody Blocking Peptide | Recombinant Human AIMP3 |
| EYA2 Antibody Blocking Peptide | Recombinant Human AIF1L |
风险提示:丁香通仅作为第三方平台,为商家信息发布提供平台空间。用户咨询产品时请注意保护个人信息及财产安全,合理判断,谨慎选购商品,商家和用户对交易行为负责。对于医疗器械类产品,请先查证核实企业经营资质和医疗器械产品注册证情况。
技术资料暂无技术资料 索取技术资料
AM2394
¥600 - 3200








