万千商家帮你免费找货
0 人在求购买到急需产品
- 详细信息
- 技术资料
- 库存:
54
- 英文名:
Darapladib
- CAS号:
356057-34-6
- 供应商:
上海莼试
- 保存条件:
Store at -20°C
- 规格:
10mg 50mg
商品属性:
产品描述:
分子式:

分子量:666.77
溶解度:≥ 32.95 mg/mL in DMSO, ≥ 891 mg/mL in EtOH
储存条件:Store at -20°C
General tips:For obtaining a higher solubility , please warm the tube at 37 ℃ and shake it in the ultrasonic bath for a while.
Shipping Condition:Evaluation sample solution : ship with blue ice All other available size: ship with RT , or blue ice upon request
Plaque rupture is responsible for the clinical events of ischemic death, myocardial infarction, acute coronary syndromes and ischemic strokes. Lipoprotein-associated phospholipase A2 (Lp-PLA2) seems to play a major role in the development of such high-risk lesions, in both the coronary and carotid arteries. Darapladib is a selective inhibitor of Lp-PLA2.In vitro: Darapladib potently inhibited Lp-PLA2 with an IC50 of 270 pM. A lack of selectivity against other secretory PLA2s postulated to play a role in atherogenesis had been demonstrated. The percentage inhibition achieved when 1 μM darapladib was evaluated against human secretory PLA2s IIA, V and X, was 0, 0 and 8.7%, respectively [1].In vivo: Inhibition of lp-PLA2 by darapladib led to attenuation of inflammation in vivo and decreased plaque formation in ApoE-deficient mice, suggesting an anti-atherogenic role during the progression of atherosclerosis [2].
注意事项:
抗逆滴加序列
每次向板内滴加抗原时,移液器滴头要与平面45度悬空,不要触碰到孔内的液体,由后向前依次滴加(即浓度由低往高滴加)。
抗感染反应期
抗原抗体在室温20~25℃下,必须反应30min以上,若环境温度低于室温,可将微量反应板置于恒温培养箱中,使二者充分反应。
旅游温度
磷酸盐缓冲液的pH值要在高压灭菌后进行滴定,往往在高压后pH值会有所改变,所以高压后再调一次pH值更为准确。磷酸盐缓冲液一经使用保存期不要超过3周。当pH<5.8时,红细胞会产生自凝现象;当pH>7.8时,图形洗脱加快,易造成肉眼观察产生误差;p H=7.2时,红细胞沉降最充分,图形最清晰。
当滴注 1%红细胞悬液时,应经常摇晃红细胞悬液,使红细胞均匀地分布在磷酸缓冲液中,以防止红细胞下降。
反应时间及温度
加入鸡红血球之后,反应板在室温(20~25℃)静置30~40min,对照孔血球下沉于孔底,即可判定结果。若室温达不到实验要求,需相应调整反应时间。当环境温度低于4℃时,红细胞发生自凝;高于37℃时,会发生反应物分离和红细胞溶血。
使用方法:
1.本蛋白酶抑制剂混合物为100×的储存液,使用时按照1:100的比例加入到裂解液中(例如,1ml裂解液中加入10μl蛋白酶抑制剂混合物),混匀后即可使用。根据需要,0.5M的EDTA也按照1:100的比例加入到裂解液中(如用于检测金属蛋白酶活性,则不宜添加EDTA)。含有蛋白酶抑制剂混合物的裂解液宜现用现配,不宜配制后冻存待后续使用。
2. 待所需的抑制剂添加完毕混匀后,就可以开始进行哺乳动物组织的裂解和蛋白提取。
公司正在出售的产品:
| 货号 | CS-01Y67874 | 规格 | 10mM (in 1mL DMSO) 5mg 25mg |
| CAS号 | 356057-34-6 | 分子量 | 666.77 |
| 含量 | >98.00% | 别名 | SB-480848;SB480848;SB 480848 |
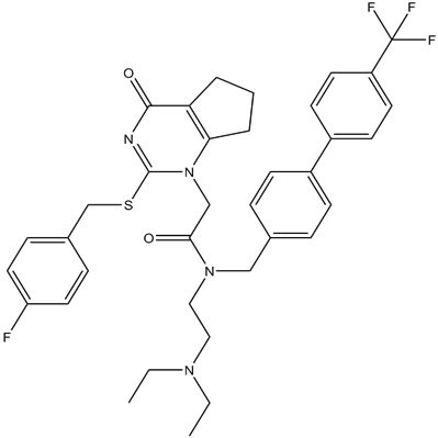
| 分子式 | 化学名 | N-[2-(diethylamino)ethyl]-2-[2-[(4-fluorophenyl)methylsulfanyl]-4-oxo-6,7-dihydro-5H-cyclopenta[d]pyrimidin-1-yl]-N-[[4-[4-(trifluoromethyl)phenyl]phenyl]methyl]acetamide | |
| 产地 | 国产 | 用途 | 仅供科研研究实验 |
分子式:

分子量:666.77
溶解度:≥ 32.95 mg/mL in DMSO, ≥ 891 mg/mL in EtOH
储存条件:Store at -20°C
General tips:For obtaining a higher solubility , please warm the tube at 37 ℃ and shake it in the ultrasonic bath for a while.
Shipping Condition:Evaluation sample solution : ship with blue ice All other available size: ship with RT , or blue ice upon request
Plaque rupture is responsible for the clinical events of ischemic death, myocardial infarction, acute coronary syndromes and ischemic strokes. Lipoprotein-associated phospholipase A2 (Lp-PLA2) seems to play a major role in the development of such high-risk lesions, in both the coronary and carotid arteries. Darapladib is a selective inhibitor of Lp-PLA2.In vitro: Darapladib potently inhibited Lp-PLA2 with an IC50 of 270 pM. A lack of selectivity against other secretory PLA2s postulated to play a role in atherogenesis had been demonstrated. The percentage inhibition achieved when 1 μM darapladib was evaluated against human secretory PLA2s IIA, V and X, was 0, 0 and 8.7%, respectively [1].In vivo: Inhibition of lp-PLA2 by darapladib led to attenuation of inflammation in vivo and decreased plaque formation in ApoE-deficient mice, suggesting an anti-atherogenic role during the progression of atherosclerosis [2].
注意事项:
抗逆滴加序列
每次向板内滴加抗原时,移液器滴头要与平面45度悬空,不要触碰到孔内的液体,由后向前依次滴加(即浓度由低往高滴加)。
抗感染反应期
抗原抗体在室温20~25℃下,必须反应30min以上,若环境温度低于室温,可将微量反应板置于恒温培养箱中,使二者充分反应。
旅游温度
磷酸盐缓冲液的pH值要在高压灭菌后进行滴定,往往在高压后pH值会有所改变,所以高压后再调一次pH值更为准确。磷酸盐缓冲液一经使用保存期不要超过3周。当pH<5.8时,红细胞会产生自凝现象;当pH>7.8时,图形洗脱加快,易造成肉眼观察产生误差;p H=7.2时,红细胞沉降最充分,图形最清晰。
当滴注 1%红细胞悬液时,应经常摇晃红细胞悬液,使红细胞均匀地分布在磷酸缓冲液中,以防止红细胞下降。
反应时间及温度
加入鸡红血球之后,反应板在室温(20~25℃)静置30~40min,对照孔血球下沉于孔底,即可判定结果。若室温达不到实验要求,需相应调整反应时间。当环境温度低于4℃时,红细胞发生自凝;高于37℃时,会发生反应物分离和红细胞溶血。
使用方法:
1.本蛋白酶抑制剂混合物为100×的储存液,使用时按照1:100的比例加入到裂解液中(例如,1ml裂解液中加入10μl蛋白酶抑制剂混合物),混匀后即可使用。根据需要,0.5M的EDTA也按照1:100的比例加入到裂解液中(如用于检测金属蛋白酶活性,则不宜添加EDTA)。含有蛋白酶抑制剂混合物的裂解液宜现用现配,不宜配制后冻存待后续使用。
2. 待所需的抑制剂添加完毕混匀后,就可以开始进行哺乳动物组织的裂解和蛋白提取。
公司正在出售的产品:
| Recombnant Human OT proten ,C-H Tag | DNAJB2 Antbody Blockng Peptde |
| CCDC138 Antbody Blockng Peptde | NX5 Antbody Blockng Peptde |
| PDLM7 Antbody Blockng Peptde | GATA5 Antbody Blockng Peptde |
| PRR34 Antbody Blockng Peptde | GK3P Antbody Blockng Peptde |
| HFY1 Antbody Blockng Peptde | Claudn-2 Antbody Blockng Peptde |
| Recombnant human C-jun proten, H & MBP Tag | ARMC10 Antbody Blockng Peptde |
| CRNN Antbody Blockng Peptde | NR2C2 Antbody Blockng Peptde |
| TCF25 Antbody Blockng Peptde | CD24封闭多肽 |
| AHP Antbody Blockng Peptde | ARNP Antbody Blockng Peptde |
| NCR1 Antbody Blockng Peptde | D3 Antbody Blockng Peptde |
| PCDHA8 Antbody Blockng Peptde | Phopho-Beta-Catenn (er45) Antbody Blockng Peptde |
| RP6KC1 Antbody Blockng Peptde | BOb-1 Antbody Blockng Peptde |
| DENND5B Antbody Blockng Peptde | DarapladibEBNA 3C Antbody Blockng Peptde |
| DCLREC1C Antbody Blockng Peptde | LPA1 Antbody Blockng Peptde |
| LRFN2 Antbody Blockng Peptde | PAG1 Antbody Blockng Peptde |
风险提示:丁香通仅作为第三方平台,为商家信息发布提供平台空间。用户咨询产品时请注意保护个人信息及财产安全,合理判断,谨慎选购商品,商家和用户对交易行为负责。对于医疗器械类产品,请先查证核实企业经营资质和医疗器械产品注册证情况。
技术资料暂无技术资料 索取技术资料
Darapladib
¥600 - 3200








