万千商家帮你免费找货
0 人在求购买到急需产品
- 详细信息
- 技术资料
- 库存:
22
- 英文名:
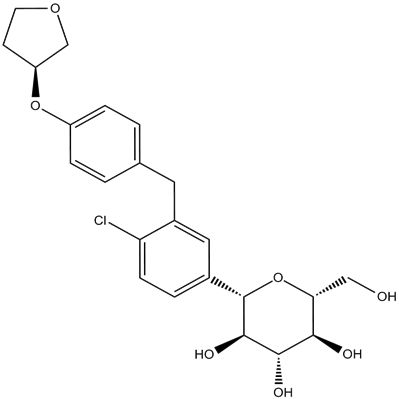
Empagliflozin (BI 10773)
- CAS号:
864070-44-0
- 供应商:
上海莼试
- 保存条件:
Store at RT
- 规格:
10mM (in 1mL DMSO) 5mg 10mg 50mg 100mg
产品描述:
分子式:C23H27ClO7

分子量:450.91
溶解度:≥ 20.75mg/mL in DMSO, ≥ 7.06 mg/mL in EtOH with ultrasonic
储存条件:Store at RT
General tips:For obtaining a higher solubility , please warm the tube at 37 ℃ and shake it in the ultrasonic bath for a while.
Shipping Condition:Evaluation sample solution : ship with blue ice All other available size: ship with RT , or blue ice upon request
Empagliflozin is a selective inhibitor of SGLT-2 with IC50 value of 3.1 nM [1].Sodium glucose cotransporter-2 (SGLT-2) is a member of sodium glucose co-transporter family and plays a pivotal role in glucose reabsorption in the kidney [2].Empagliflozin is a potent SGLT-2 inhibitor and has a high degree of selectivity over SGLT-1, 4, 5 and 6 than other reported SGLT-2 inhibitors. When tested with a panel of human cell lines over-expressed SGLT-1, 2, 4, 5 and 6, Empagliflozin treatment competitively bind to SGLT-2 over glucose at low dose [1]. In human proximal tublular cell (PTC) cell line HK2 cells, Empagliflozin treatment for 72 h inhibits the expression of SGLT-2 which in turn reversed high glucose induced TLR4 expression, NF-κB binding, IL-6 secretion, AP-1 binding and CIV expression [3].
商品属性:
注意事项:
抗逆滴加序列
每次向板内滴加抗原时,移液器滴头要与平面45度悬空,不要触碰到孔内的液体,由后向前依次滴加(即浓度由低往高滴加)。
抗感染反应期
抗原抗体在室温20~25℃下,必须反应30min以上,若环境温度低于室温,可将微量反应板置于恒温培养箱中,使二者充分反应。
旅游温度
磷酸盐缓冲液的pH值要在高压灭菌后进行滴定,往往在高压后pH值会有所改变,所以高压后再调一次pH值更为准确。磷酸盐缓冲液一经使用保存期不要超过3周。当pH<5.8时,红细胞会产生自凝现象;当pH>7.8时,图形洗脱加快,易造成肉眼观察产生误差;p H=7.2时,红细胞沉降最充分,图形最清晰。
当滴注 1%红细胞悬液时,应经常摇晃红细胞悬液,使红细胞均匀地分布在磷酸缓冲液中,以防止红细胞下降。
反应时间及温度
加入鸡红血球之后,反应板在室温(20~25℃)静置30~40min,对照孔血球下沉于孔底,即可判定结果。若室温达不到实验要求,需相应调整反应时间。当环境温度低于4℃时,红细胞发生自凝;高于37℃时,会发生反应物分离和红细胞溶血。
公司正在出售的产品:
使用方法:
1.本蛋白酶抑制剂混合物为100×的储存液,使用时按照1:100的比例加入到裂解液中(例如,1ml裂解液中加入10μl蛋白酶抑制剂混合物),混匀后即可使用。根据需要,0.5M的EDTA也按照1:100的比例加入到裂解液中(如用于检测金属蛋白酶活性,则不宜添加EDTA)。含有蛋白酶抑制剂混合物的裂解液宜现用现配,不宜配制后冻存待后续使用。
2. 待所需的抑制剂添加完毕混匀后,就可以开始进行哺乳动物组织的裂解和蛋白提取。
分子式:C23H27ClO7

分子量:450.91
溶解度:≥ 20.75mg/mL in DMSO, ≥ 7.06 mg/mL in EtOH with ultrasonic
储存条件:Store at RT
General tips:For obtaining a higher solubility , please warm the tube at 37 ℃ and shake it in the ultrasonic bath for a while.
Shipping Condition:Evaluation sample solution : ship with blue ice All other available size: ship with RT , or blue ice upon request
Empagliflozin is a selective inhibitor of SGLT-2 with IC50 value of 3.1 nM [1].Sodium glucose cotransporter-2 (SGLT-2) is a member of sodium glucose co-transporter family and plays a pivotal role in glucose reabsorption in the kidney [2].Empagliflozin is a potent SGLT-2 inhibitor and has a high degree of selectivity over SGLT-1, 4, 5 and 6 than other reported SGLT-2 inhibitors. When tested with a panel of human cell lines over-expressed SGLT-1, 2, 4, 5 and 6, Empagliflozin treatment competitively bind to SGLT-2 over glucose at low dose [1]. In human proximal tublular cell (PTC) cell line HK2 cells, Empagliflozin treatment for 72 h inhibits the expression of SGLT-2 which in turn reversed high glucose induced TLR4 expression, NF-κB binding, IL-6 secretion, AP-1 binding and CIV expression [3].
商品属性:
| 货号 | CS-01Y68074 | 规格 | 10mM (in 1mL DMSO) 5mg 10mg 50mg 100mg |
| CAS号 | 864070-44-0 | 分子量 | 450.91 |
| 含量 | >98.00% | 别名 | N/A |
| 分子式 | C23H27ClO7 | 化学名 | (2S,3R,4R,5S,6R)-2-[4-chloro-3-[[4-[(3S)-oxolan-3-yl]oxyphenyl]methyl]phenyl]-6-(hydroxymethyl)oxane-3,4,5-triol |
| 产地 | 国产 | 用途 | 仅供科研研究实验 |
抗逆滴加序列
每次向板内滴加抗原时,移液器滴头要与平面45度悬空,不要触碰到孔内的液体,由后向前依次滴加(即浓度由低往高滴加)。
抗感染反应期
抗原抗体在室温20~25℃下,必须反应30min以上,若环境温度低于室温,可将微量反应板置于恒温培养箱中,使二者充分反应。
旅游温度
磷酸盐缓冲液的pH值要在高压灭菌后进行滴定,往往在高压后pH值会有所改变,所以高压后再调一次pH值更为准确。磷酸盐缓冲液一经使用保存期不要超过3周。当pH<5.8时,红细胞会产生自凝现象;当pH>7.8时,图形洗脱加快,易造成肉眼观察产生误差;p H=7.2时,红细胞沉降最充分,图形最清晰。
当滴注 1%红细胞悬液时,应经常摇晃红细胞悬液,使红细胞均匀地分布在磷酸缓冲液中,以防止红细胞下降。
反应时间及温度
加入鸡红血球之后,反应板在室温(20~25℃)静置30~40min,对照孔血球下沉于孔底,即可判定结果。若室温达不到实验要求,需相应调整反应时间。当环境温度低于4℃时,红细胞发生自凝;高于37℃时,会发生反应物分离和红细胞溶血。
公司正在出售的产品:
| Recombnant Human UBTF proten ,N- H Tag | ZNF566 Antbody Blockng Peptde |
| OPRM1Antbody Blockng Peptde | CHY1 Antbody Blockng Peptde |
| HFM3 Antbody Blockng Peptde | C1orf180 Antbody Blockng Peptde |
| phopho-KBKE (Thr500) Antbody Blockng Peptde | L22 Antbody Blockng Peptde |
| RPUD4 Antbody Blockng Peptde | d1/nhbtor of DNA bndng 1 Antbody Blockng Peptde |
| GDNF Famly Receptor alpha Antbody Blockng Peptde | CD59 potectn Antbody Blockng Peptde |
| Moue ox-LDL | ARF Antbody Blockng Peptde |
| LC9A1 Antbody Blockng Peptde | 丝氨酸蛋白酶38封闭多肽 |
| PTX3 Antbody Blockng Peptde | KLF2 Antbody Blockng Peptde |
| HG2 Antbody Blockng Peptde | TRNT1 Antbody Blockng Peptde |
| UB1 Antbody Blockng Peptde | ZNF181 Antbody Blockng Peptde |
| NDUF6 Antbody Blockng Peptde | MRFAP1 Antbody Blockng Peptde |
| HLA Cla 1 ABC/HLAabc Antbody Blockng Peptde | Empagliflozin (BI 10773)CHRNA9 Antbody Blockng Peptde |
| RCC1 Antbody Blockng Peptde | treptavdn / AF350 |
| GLYCTK Antbody Blockng Peptde | GRGD Antbody Blockng Peptde |
1.本蛋白酶抑制剂混合物为100×的储存液,使用时按照1:100的比例加入到裂解液中(例如,1ml裂解液中加入10μl蛋白酶抑制剂混合物),混匀后即可使用。根据需要,0.5M的EDTA也按照1:100的比例加入到裂解液中(如用于检测金属蛋白酶活性,则不宜添加EDTA)。含有蛋白酶抑制剂混合物的裂解液宜现用现配,不宜配制后冻存待后续使用。
2. 待所需的抑制剂添加完毕混匀后,就可以开始进行哺乳动物组织的裂解和蛋白提取。
风险提示:丁香通仅作为第三方平台,为商家信息发布提供平台空间。用户咨询产品时请注意保护个人信息及财产安全,合理判断,谨慎选购商品,商家和用户对交易行为负责。对于医疗器械类产品,请先查证核实企业经营资质和医疗器械产品注册证情况。
技术资料暂无技术资料 索取技术资料
Empagliflozin (BI 10773)
¥600 - 3200








