万千商家帮你免费找货
0 人在求购买到急需产品
- 详细信息
- 文献和实验
- 技术资料
- 库存:
32
- 英文名:
13,14-dihydro-15-keto Prostaglandin E1
- CAS号:
5094-14-4
- 供应商:
上海莼试
- 保存条件:
Store at -20°C
- 规格:
1mg 5mg 10mg
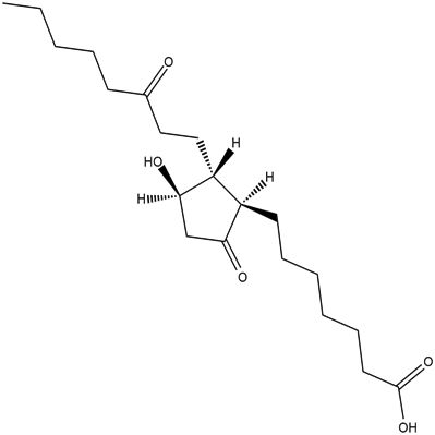
分子式:C20H34O5

分子量:354.5
溶解度:DMF: >100 mg/ml (from PGE1),DMSO: >50 mg/ml (from PGE1),Ethanol: >50 mg/ml (from PGE1),PBS pH 7.2: >1.6 mg/ml (from PGE1)
储存条件:Store at -20°C
General tips:For obtaining a higher solubility , please warm the tube at 37 ℃ and shake it in the ultrasonic bath for a while.
Shipping Condition:Evaluation sample solution : ship with blue ice All other available size: ship with RT , or blue ice upon request
13,14-dihydro-15-keto Prostaglandin E1 (PGE1) is a metabolite of PGE1 with much reduced biological activity. Steady state plasma concentrations are about 10 pg/ml. 13,14-dihydro-15-keto PGE1 is a weak inhibitor of ADP-induced platelet aggregation in human PRP and washed platelets with IC50 values of 54 and 200 uM, respectively, compared to PGE1 which has an IC50 of 40 nM.
商品属性:
| 货号 | CS-01Y67782 | 规格 | 1mg 5mg 10mg |
| CAS号 | 5094-14-4 | 分子量 | 354.5 |
| 含量 | >98.00% | 别名 | N/A |
| 分子式 | C20H34O5 | 化学名 | 9,15-dioxo-11α-hydroxy-prostan-1-oic acid |
| 产地 | 国产 | 用途 | 仅供科研研究实验 |
抗逆滴加序列
每次向板内滴加抗原时,移液器滴头要与平面45度悬空,不要触碰到孔内的液体,由后向前依次滴加(即浓度由低往高滴加)。
抗感染反应期
抗原抗体在室温20~25℃下,必须反应30min以上,若环境温度低于室温,可将微量反应板置于恒温培养箱中,使二者充分反应。
旅游温度
磷酸盐缓冲液的pH值要在高压灭菌后进行滴定,往往在高压后pH值会有所改变,所以高压后再调一次pH值更为准确。磷酸盐缓冲液一经使用保存期不要超过3周。当pH<5.8时,红细胞会产生自凝现象;当pH>7.8时,图形洗脱加快,易造成肉眼观察产生误差;p H=7.2时,红细胞沉降最充分,图形最清晰。
当滴注 1%红细胞悬液时,应经常摇晃红细胞悬液,使红细胞均匀地分布在磷酸缓冲液中,以防止红细胞下降。
反应时间及温度
加入鸡红血球之后,反应板在室温(20~25℃)静置30~40min,对照孔血球下沉于孔底,即可判定结果。若室温达不到实验要求,需相应调整反应时间。当环境温度低于4℃时,红细胞发生自凝;高于37℃时,会发生反应物分离和红细胞溶血。
公司正在出售的产品:
| Recombnant Human EPOR, N-H | yndecan-2 Antbody Blockng Peptde |
| LLRB1 Antbody Blockng Peptde | 色氨酰tRNA合成酶(WAR)重组蛋白 |
| EMA5A Antbody Blockng Peptde | 基质金属蛋白酶24(MMP24)重组蛋白 |
| ZNFX1 Antbody Blockng Peptde | 腺苷酸环化酶3(ADCY3)重组蛋白 |
| CEACAM8 Antbody Blockng Peptde | G蛋白偶联受体激酶5(GRK5)重组蛋白 |
| CRP Antbody Blockng Peptde | 腺苷酸环化酶7(ADCY7)重组蛋白 |
| RBM5 Antbody Blockng Peptde | 转甲状腺素蛋白(PALB)重组蛋白 |
| EFCAB13 Antbody Blockng Peptde | α肌萎缩糖蛋白2封闭多肽 |
| FGD3 Antbody Blockng Peptde | 己糖激酶3(HK3)重组蛋白 |
| MMP16 Antbody Blockng Peptde | 丝裂原激活蛋白激酶激活蛋白激酶2(MAPKAPK2)重组蛋白 |
| C1orf122 Antbody Blockng Peptde | β-1,3-半乳糖转移酶2(b3GALT2)重组蛋白 |
| RF1 Antbody Blockng Peptde | β-1,3-半乳糖转移酶1(b3GALT1)重组蛋白 |
| KHDRB3 Antbody Blockng Peptde | 13,14-dihydro-15-keto Prostaglandin E1碘甲腺原氨酸脱碘酶Ⅱ(DO2)重组蛋白 |
| eF3F Antbody Blockng Peptde | 肾酶(RNL)重组蛋白 |
| 跨膜丝氨酸蛋白酶2(TMPR2)重组蛋白 | 三肽基肽酶Ⅰ(T1)重组蛋白 |
1.本蛋白酶抑制剂混合物为100×的储存液,使用时按照1:100的比例加入到裂解液中(例如,1ml裂解液中加入10μl蛋白酶抑制剂混合物),混匀后即可使用。根据需要,0.5M的EDTA也按照1:100的比例加入到裂解液中(如用于检测金属蛋白酶活性,则不宜添加EDTA)。含有蛋白酶抑制剂混合物的裂解液宜现用现配,不宜配制后冻存待后续使用。
2. 待所需的抑制剂添加完毕混匀后,就可以开始进行哺乳动物组织的裂解和蛋白提取。
风险提示:丁香通仅作为第三方平台,为商家信息发布提供平台空间。用户咨询产品时请注意保护个人信息及财产安全,合理判断,谨慎选购商品,商家和用户对交易行为负责。对于医疗器械类产品,请先查证核实企业经营资质和医疗器械产品注册证情况。
文献和实验Spectrophotometric Analysis of Human CYP2E1-Catalyzed p-Nitrophenol Hydroxylation
are activated by this P450 (9 ). Chlorzoxazone 6-hydroxylation (19 –12 ), N-nitrosodimethylamine N-demethylation (11 , 13 , 14 ), and p-nitrophenol hydroxylation (12 , 14 ) reactions can be used to measure the catalytic activity of cDNA-expressed CYP2El
KFM2E1-800SD/4420D In=800A Ir1=(0.4-1.0)×In可调 电操AC230V 智能可调式塑壳断路器
In=630A Ir1=(0.4-1.0)×In可调 电操AC230V 智能可通讯型塑壳断路器 台 12 KFM2E2-630MD/3420 In=630A Ir1=(0.4-1.0)×In可调 电操AC230V 智能可通讯型塑壳断路器 台 13 KFM2E2-800SD/3420 In=800A Ir1=(0.4-1.0)×In可调 电操AC230V 智能可通讯型塑壳断路器 台 14 KFM2E2-800MD/3420 In=800A Ir1=(0.4-1.0)×In可调 电操AC230
Construction and Characterization of Adenovirus Vectors
) Tubes (polystyrene, conical, 15-mL) Tubes (polystyrene, round-bottom, 5-mL) Tubes (ultracentrifuge, Quick-Seal, 16- x 76-mm) (Beckman 344322) Tubes (ultracentrifuge, 14- x 89-mm) Ultracentrifuge Vortexer Water baths
技术资料暂无技术资料 索取技术资料









