相关产品推荐更多 >
万千商家帮你免费找货
0 人在求购买到急需产品
- 详细信息
- 技术资料
- 库存:
24
- 英文名:
Naringin
- CAS号:
10236-47-2
- 供应商:
上海莼试
- 规格:
10mM (in 1mL DMSO) 20mg
商品属性:
产品描述:
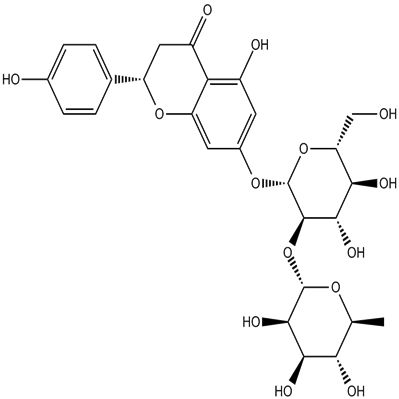
分子式:C27H32O14

分子量:580.53
溶解度:≥ 24.55 mg/mL in DMSO
储存条件:
General tips:For obtaining a higher solubility , please warm the tube at 37 ℃ and shake it in the ultrasonic bath for a while.
Shipping Condition:Evaluation sample solution : ship with blue ice All other available size: ship with RT , or blue ice upon request
Naringin is a major flavanone glycoside obtained from tomatoes, grapefruits, and many other citrus fruits. Naringin exhibits biological properties such as antioxidant, anti-inflammatory, and antiapoptotic activities.Naringin suppresses NF-κ B signaling pathway activation. Naringenin inhibits high glucose-induced proliferation, inflammatory reaction and oxidative stress injury in HBZY-1 cells[1]. Naringin inhibits AGS cancer cell proliferation in a dose- and time-dependent manner. Phosphorylation of PI3K and its activated downstream targets p-Akt and p-mTOR are significantly decreased at 2 mM in Naringin-treated AGS cells. Naringin induces autophagic cell death in AGS cells. Naringin activated the autophagy related protein in AGS cells[2]. Naringin protects PC12 cells from 3-NP neurotoxicity. The lactate dehydrogenase release is decreased upon naringin treatment in 3-NP-induced PC12 cells. Naringin treatment enhances the antioxidant defense by increasing the activities of enzymatic antioxidants and the level of reduced glutathione[3].Treatment with naringin significantly alleviates renal injury in diabetic rats and increases diabetic rats body weight significantly. Administration of naringin effectively alleviates the collagen deposition and renal interstitial fibrosis in diabetic rats. Treatment with naringin could result in decreased levels of ROS and MDA and increased activities of SOD and GSH-Px[1]. Oral administration of naringin significantly improves the learning and memory abilities. Naringin significantly enhances insulin signaling pathway[
注意事项:
抗逆滴加序列
每次向板内滴加抗原时,移液器滴头要与平面45度悬空,不要触碰到孔内的液体,由后向前依次滴加(即浓度由低往高滴加)。
抗感染反应期
抗原抗体在室温20~25℃下,必须反应30min以上,若环境温度低于室温,可将微量反应板置于恒温培养箱中,使二者充分反应。
旅游温度
磷酸盐缓冲液的pH值要在高压灭菌后进行滴定,往往在高压后pH值会有所改变,所以高压后再调一次pH值更为准确。磷酸盐缓冲液一经使用保存期不要超过3周。当pH<5.8时,红细胞会产生自凝现象;当pH>7.8时,图形洗脱加快,易造成肉眼观察产生误差;p H=7.2时,红细胞沉降最充分,图形最清晰。
当滴注 1%红细胞悬液时,应经常摇晃红细胞悬液,使红细胞均匀地分布在磷酸缓冲液中,以防止红细胞下降。
反应时间及温度
加入鸡红血球之后,反应板在室温(20~25℃)静置30~40min,对照孔血球下沉于孔底,即可判定结果。若室温达不到实验要求,需相应调整反应时间。当环境温度低于4℃时,红细胞发生自凝;高于37℃时,会发生反应物分离和红细胞溶血。
使用方法:
1.本蛋白酶抑制剂混合物为100×的储存液,使用时按照1:100的比例加入到裂解液中(例如,1ml裂解液中加入10μl蛋白酶抑制剂混合物),混匀后即可使用。根据需要,0.5M的EDTA也按照1:100的比例加入到裂解液中(如用于检测金属蛋白酶活性,则不宜添加EDTA)。含有蛋白酶抑制剂混合物的裂解液宜现用现配,不宜配制后冻存待后续使用。
2. 待所需的抑制剂添加完毕混匀后,就可以开始进行哺乳动物组织的裂解和蛋白提取。
公司正在出售的产品:
| 货号 | CS-01Y68853 | 规格 | 10mM (in 1mL DMSO) 20mg |
| CAS号 | 10236-47-2 | 分子量 | 580.53 |
| 含量 | >98.00% | 别名 | |
| 分子式 | C27H32O14 | 化学名 | (2S)-7-[(2S,3R,4S,5S,6R)-4,5-dihydroxy-6-(hydroxymethyl)-3-[(2S,3R,4R,5R,6S)-3,4,5-trihydroxy-6-methyloxan-2-yl]oxyoxan-2-yl]oxy-5-hydroxy-2-(4-hydroxyphenyl)-2,3-dihydrochromen-4-one |
| 产地 | 国产 | 用途 | 仅供科研研究实验 |
分子式:C27H32O14

分子量:580.53
溶解度:≥ 24.55 mg/mL in DMSO
储存条件:
General tips:For obtaining a higher solubility , please warm the tube at 37 ℃ and shake it in the ultrasonic bath for a while.
Shipping Condition:Evaluation sample solution : ship with blue ice All other available size: ship with RT , or blue ice upon request
Naringin is a major flavanone glycoside obtained from tomatoes, grapefruits, and many other citrus fruits. Naringin exhibits biological properties such as antioxidant, anti-inflammatory, and antiapoptotic activities.Naringin suppresses NF-κ B signaling pathway activation. Naringenin inhibits high glucose-induced proliferation, inflammatory reaction and oxidative stress injury in HBZY-1 cells[1]. Naringin inhibits AGS cancer cell proliferation in a dose- and time-dependent manner. Phosphorylation of PI3K and its activated downstream targets p-Akt and p-mTOR are significantly decreased at 2 mM in Naringin-treated AGS cells. Naringin induces autophagic cell death in AGS cells. Naringin activated the autophagy related protein in AGS cells[2]. Naringin protects PC12 cells from 3-NP neurotoxicity. The lactate dehydrogenase release is decreased upon naringin treatment in 3-NP-induced PC12 cells. Naringin treatment enhances the antioxidant defense by increasing the activities of enzymatic antioxidants and the level of reduced glutathione[3].Treatment with naringin significantly alleviates renal injury in diabetic rats and increases diabetic rats body weight significantly. Administration of naringin effectively alleviates the collagen deposition and renal interstitial fibrosis in diabetic rats. Treatment with naringin could result in decreased levels of ROS and MDA and increased activities of SOD and GSH-Px[1]. Oral administration of naringin significantly improves the learning and memory abilities. Naringin significantly enhances insulin signaling pathway[
注意事项:
抗逆滴加序列
每次向板内滴加抗原时,移液器滴头要与平面45度悬空,不要触碰到孔内的液体,由后向前依次滴加(即浓度由低往高滴加)。
抗感染反应期
抗原抗体在室温20~25℃下,必须反应30min以上,若环境温度低于室温,可将微量反应板置于恒温培养箱中,使二者充分反应。
旅游温度
磷酸盐缓冲液的pH值要在高压灭菌后进行滴定,往往在高压后pH值会有所改变,所以高压后再调一次pH值更为准确。磷酸盐缓冲液一经使用保存期不要超过3周。当pH<5.8时,红细胞会产生自凝现象;当pH>7.8时,图形洗脱加快,易造成肉眼观察产生误差;p H=7.2时,红细胞沉降最充分,图形最清晰。
当滴注 1%红细胞悬液时,应经常摇晃红细胞悬液,使红细胞均匀地分布在磷酸缓冲液中,以防止红细胞下降。
反应时间及温度
加入鸡红血球之后,反应板在室温(20~25℃)静置30~40min,对照孔血球下沉于孔底,即可判定结果。若室温达不到实验要求,需相应调整反应时间。当环境温度低于4℃时,红细胞发生自凝;高于37℃时,会发生反应物分离和红细胞溶血。
使用方法:
1.本蛋白酶抑制剂混合物为100×的储存液,使用时按照1:100的比例加入到裂解液中(例如,1ml裂解液中加入10μl蛋白酶抑制剂混合物),混匀后即可使用。根据需要,0.5M的EDTA也按照1:100的比例加入到裂解液中(如用于检测金属蛋白酶活性,则不宜添加EDTA)。含有蛋白酶抑制剂混合物的裂解液宜现用现配,不宜配制后冻存待后续使用。
2. 待所需的抑制剂添加完毕混匀后,就可以开始进行哺乳动物组织的裂解和蛋白提取。
公司正在出售的产品:
| Recombnant Human CCL23/Ck beta 8-1 proten ,No Tag | ZNF774 Antbody Blockng Peptde |
| TMEM179 Antbody Blockng Peptde | cGMP依赖性蛋白激酶1封闭多肽 |
| LC22A14 Antbody Blockng Peptde | TRM65蛋白封闭多肽 |
| Neurolgn 1 Antbody Blockng Peptde | 甘油磷酸二酯酶磷酸结构域4封闭多肽 |
| PTAN1 Antbody Blockng Peptde | RhoA封闭多肽 |
| RAE1 Antbody Blockng Peptde | 嗜乳脂蛋白样8封闭多肽 |
| DBX1 Antbody Blockng Peptde | 重组人Glypcan 3蛋白 |
| AMD4B Antbody Blockng Peptde | M4A15蛋白封闭多肽 |
| ATB1 Antbody Blockng Peptde | 转录因子MYB相关蛋白B封闭多肽 |
| ERGEF Antbody Blockng Peptde | DNA甲基转移酶-3β封闭多肽 |
| KRT73 Antbody Blockng Peptde | α-甘露糖苷酶2封闭多肽 |
| NOTCH4 Antbody Blockng Peptde | 电压门控钾通道亚基Kv8.1封闭多肽 |
| DDX46 Antbody Blockng Peptde | Naringin四分子交联体5封闭多肽 |
| Recombnant human GAPDH proten, H | 有丝分裂相关蛋白NC封闭多肽 |
| 蛋白偶联受体56封闭多肽 | 重组人CD24蛋白 |
风险提示:丁香通仅作为第三方平台,为商家信息发布提供平台空间。用户咨询产品时请注意保护个人信息及财产安全,合理判断,谨慎选购商品,商家和用户对交易行为负责。对于医疗器械类产品,请先查证核实企业经营资质和医疗器械产品注册证情况。
技术资料暂无技术资料 索取技术资料
Naringin
¥600 - 3200








