万千商家帮你免费找货
0 人在求购买到急需产品
- 详细信息
- 技术资料
- 库存:
58
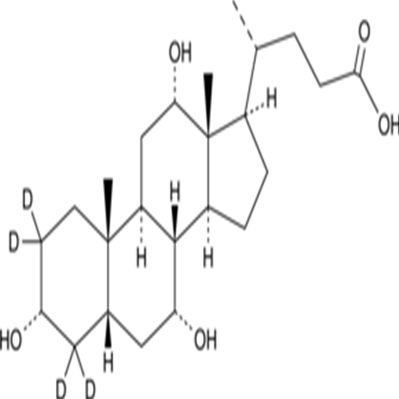
- 英文名:
Cholic Acid-d4
- CAS号:
116380-66-6
- 供应商:
上海莼试
- 保存条件:
Store at -20°C
- 规格:
1 mg 5 mg 10 mg
使用方法:
1.本蛋白酶抑制剂混合物为100×的储存液,使用时按照1:100的比例加入到裂解液中(例如,1ml裂解液中加入10μl蛋白酶抑制剂混合物),混匀后即可使用。根据需要,0.5M的EDTA也按照1:100的比例加入到裂解液中(如用于检测金属蛋白酶活性,则不宜添加EDTA)。含有蛋白酶抑制剂混合物的裂解液宜现用现配,不宜配制后冻存待后续使用。
2. 待所需的抑制剂添加完毕混匀后,就可以开始进行哺乳动物组织的裂解和蛋白提取。
商品属性:
产品描述:
分子式:C24H36D4O5

分子量:412.6
溶解度:DMF: 30 mg/ml,DMF:PBS(pH 7.2)(1:1): 0.5 mg/ml,DMSO: 20 mg/ml,Ethanol: 20 mg/ml
储存条件:Store at -20°C
General tips:For obtaining a higher solubility , please warm the tube at 37 ℃ and shake it in the ultrasonic bath for a while.
Shipping Condition:Evaluation sample solution : ship with blue ice All other available size: ship with RT , or blue ice upon request
Cholic acid anilide is a synthetic bile acid and derivative of cholic acid that inhibits the germination of C. difficile strain R20291 spores in vitro (IC50 = 1.8 μM).1|1. Sharma, S.K., Yip, C., Esposito, E.X., et al. The design, synthesis, and characterizations of spore germination inhibitors effective against an epidemic strain of Clostridium difficile. J. Med. Chem. 61(15), 6759-6778 (2018
注意事项:
抗逆滴加序列
每次向板内滴加抗原时,移液器滴头要与平面45度悬空,不要触碰到孔内的液体,由后向前依次滴加(即浓度由低往高滴加)。
抗感染反应期
抗原抗体在室温20~25℃下,必须反应30min以上,若环境温度低于室温,可将微量反应板置于恒温培养箱中,使二者充分反应。
旅游温度
磷酸盐缓冲液的pH值要在高压灭菌后进行滴定,往往在高压后pH值会有所改变,所以高压后再调一次pH值更为准确。磷酸盐缓冲液一经使用保存期不要超过3周。当pH<5.8时,红细胞会产生自凝现象;当pH>7.8时,图形洗脱加快,易造成肉眼观察产生误差;p H=7.2时,红细胞沉降最充分,图形最清晰。
当滴注 1%红细胞悬液时,应经常摇晃红细胞悬液,使红细胞均匀地分布在磷酸缓冲液中,以防止红细胞下降。
反应时间及温度
加入鸡红血球之后,反应板在室温(20~25℃)静置30~40min,对照孔血球下沉于孔底,即可判定结果。若室温达不到实验要求,需相应调整反应时间。当环境温度低于4℃时,红细胞发生自凝;高于37℃时,会发生反应物分离和红细胞溶血。
公司正在出售的产品:
1.本蛋白酶抑制剂混合物为100×的储存液,使用时按照1:100的比例加入到裂解液中(例如,1ml裂解液中加入10μl蛋白酶抑制剂混合物),混匀后即可使用。根据需要,0.5M的EDTA也按照1:100的比例加入到裂解液中(如用于检测金属蛋白酶活性,则不宜添加EDTA)。含有蛋白酶抑制剂混合物的裂解液宜现用现配,不宜配制后冻存待后续使用。
2. 待所需的抑制剂添加完毕混匀后,就可以开始进行哺乳动物组织的裂解和蛋白提取。
商品属性:
| 货号 | CS-01Y68140 | 规格 | 1 mg 5 mg 10 mg |
| CAS号 | 116380-66-6 | 分子量 | 412.6 |
| 含量 | >95.00% | 别名 | N/A |
| 分子式 | C24H36D4O5 | 化学名 | N/A |
| 产地 | 国产 | 用途 | 仅供科研研究实验 |
分子式:C24H36D4O5

分子量:412.6
溶解度:DMF: 30 mg/ml,DMF:PBS(pH 7.2)(1:1): 0.5 mg/ml,DMSO: 20 mg/ml,Ethanol: 20 mg/ml
储存条件:Store at -20°C
General tips:For obtaining a higher solubility , please warm the tube at 37 ℃ and shake it in the ultrasonic bath for a while.
Shipping Condition:Evaluation sample solution : ship with blue ice All other available size: ship with RT , or blue ice upon request
Cholic acid anilide is a synthetic bile acid and derivative of cholic acid that inhibits the germination of C. difficile strain R20291 spores in vitro (IC50 = 1.8 μM).1|1. Sharma, S.K., Yip, C., Esposito, E.X., et al. The design, synthesis, and characterizations of spore germination inhibitors effective against an epidemic strain of Clostridium difficile. J. Med. Chem. 61(15), 6759-6778 (2018
注意事项:
抗逆滴加序列
每次向板内滴加抗原时,移液器滴头要与平面45度悬空,不要触碰到孔内的液体,由后向前依次滴加(即浓度由低往高滴加)。
抗感染反应期
抗原抗体在室温20~25℃下,必须反应30min以上,若环境温度低于室温,可将微量反应板置于恒温培养箱中,使二者充分反应。
旅游温度
磷酸盐缓冲液的pH值要在高压灭菌后进行滴定,往往在高压后pH值会有所改变,所以高压后再调一次pH值更为准确。磷酸盐缓冲液一经使用保存期不要超过3周。当pH<5.8时,红细胞会产生自凝现象;当pH>7.8时,图形洗脱加快,易造成肉眼观察产生误差;p H=7.2时,红细胞沉降最充分,图形最清晰。
当滴注 1%红细胞悬液时,应经常摇晃红细胞悬液,使红细胞均匀地分布在磷酸缓冲液中,以防止红细胞下降。
反应时间及温度
加入鸡红血球之后,反应板在室温(20~25℃)静置30~40min,对照孔血球下沉于孔底,即可判定结果。若室温达不到实验要求,需相应调整反应时间。当环境温度低于4℃时,红细胞发生自凝;高于37℃时,会发生反应物分离和红细胞溶血。
公司正在出售的产品:
| Recombnant Human CD366/HAVCR2/TM-3, C-H | THZ3 Antbody Blockng Peptde |
| NEK4 Antbody Blockng Peptde | 丝氨酸/苏氨酸蛋白激酶MARK2封闭多肽 |
| AAP2 Antbody Blockng Peptde | 神经调节蛋白4封闭多肽 |
| Recombnant human BRCA1 proten, C-H | 蛋白磷酸酶2调节亚基2C封闭多肽 |
| BAK1 Antbody Blockng Peptde | DNA甲基转移酶1封闭多肽 |
| ynj1 Antbody Blockng Peptde | 蛋白激酶MPK38封闭多肽 |
| RCAD Antbody Blockng Peptde | 上皮分泌型FAM3C蛋白封闭多肽 |
| KLK9 Antbody Blockng Peptde | 高迁移率族蛋白N4封闭多肽 |
| ATP5F1E Antbody Blockng Peptde | 转录调节因子C/EBP β封闭多肽 |
| LRG1 Antbody Blockng Peptde | 胆碱酯酶抑制剂8封闭多肽 |
| CBX1 Antbody Blockng Peptde | Ra激酶抑制因子连接增强蛋白3封闭多肽 |
| DNAJC30 Antbody Blockng Peptde | 磷酸化核因子NFκB抑制蛋白激酶封闭多肽 |
| phopho-c-Raf (er471) Antbody Blockng Peptde | Cholic Acid-d4Brachyury蛋白封闭多肽 |
| Human erum Albumn / AF555 | NDUF2封闭多肽 |
| 雌激素相关受体β封闭多肽 | 肝脏X受体α+肝脏X受体β封闭多肽 |
风险提示:丁香通仅作为第三方平台,为商家信息发布提供平台空间。用户咨询产品时请注意保护个人信息及财产安全,合理判断,谨慎选购商品,商家和用户对交易行为负责。对于医疗器械类产品,请先查证核实企业经营资质和医疗器械产品注册证情况。
技术资料暂无技术资料 索取技术资料
Cholic Acid-d4
¥600 - 3200








