相关产品推荐更多 >
万千商家帮你免费找货
0 人在求购买到急需产品
- 详细信息
- 文献和实验
- 技术资料
- 库存:
32
- 英文名:
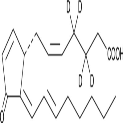
15-deoxy-δ12,14-Prostaglandin J2-d4
- CAS号:
1542166-82-4
- 供应商:
上海莼试
- 保存条件:
Store at -20°C
- 规格:
25 μg 50 μg 100 μg
1.本蛋白酶抑制剂混合物为100×的储存液,使用时按照1:100的比例加入到裂解液中(例如,1ml裂解液中加入10μl蛋白酶抑制剂混合物),混匀后即可使用。根据需要,0.5M的EDTA也按照1:100的比例加入到裂解液中(如用于检测金属蛋白酶活性,则不宜添加EDTA)。含有蛋白酶抑制剂混合物的裂解液宜现用现配,不宜配制后冻存待后续使用。
2. 待所需的抑制剂添加完毕混匀后,就可以开始进行哺乳动物组织的裂解和蛋白提取。
商品属性:
| 货号 | CS-01Y68253 | 规格 | 25 μg 50 μg 100 μg |
| CAS号 | 1542166-82-4 | 分子量 | 320.5 |
| 含量 | >99.00% | 别名 | N/A |
| 分子式 | C20H24D4O3 | 化学名 | N/A |
| 产地 | 国产 | 用途 | 仅供科研研究实验 |
分子式:C20H24D4O3

分子量:320.5
溶解度:DMF: >100 mg/ml (from PGD2),DMSO: >50 mg/ml (from PGD2),Ethanol: >75 mg/ml (from PGD2),PBS pH 7.2: >2.7 mg/ml (from 15-deoxy-d12,
储存条件:Store at -20°C
General tips:For obtaining a higher solubility , please warm the tube at 37 ℃ and shake it in the ultrasonic bath for a while.
Shipping Condition:Evaluation sample solution : ship with blue ice All other available size: ship with RT , or blue ice upon request
15-deoxy-δ12,14-PGJ2-d4 contains four deuterium atoms at the 3, 3', 4, and 4' positions. It is intended for use as an internal standard for the quantification of 15-deoxy-δ12,14-PGJ2 by GC- or LC-mass spectrometry. 15-deoxy-δ12,14-Prostaglandin J2 (15-deoxy-δ12,14-PGJ2) is a metabolite of PGJ2. 15-deoxy-δ12,14-PGJ2 is formed from PGD2 by the elimination of two molecules of water. It binds selectively to PPARγ with an EC50 of 2 μM in a murine chimera system.1,2 15-deoxy-δ12,14-PGJ2 is more potent than PGD2, δ12-PGJ2, and PGJ2 in stimulating lipogenesis in C3H10T1/2 cells. The EC50 for induction of adipocyte differentiation in cultured fibroblasts is 7 μM.
注意事项:
抗逆滴加序列
每次向板内滴加抗原时,移液器滴头要与平面45度悬空,不要触碰到孔内的液体,由后向前依次滴加(即浓度由低往高滴加)。
抗感染反应期
抗原抗体在室温20~25℃下,必须反应30min以上,若环境温度低于室温,可将微量反应板置于恒温培养箱中,使二者充分反应。
旅游温度
磷酸盐缓冲液的pH值要在高压灭菌后进行滴定,往往在高压后pH值会有所改变,所以高压后再调一次pH值更为准确。磷酸盐缓冲液一经使用保存期不要超过3周。当pH<5.8时,红细胞会产生自凝现象;当pH>7.8时,图形洗脱加快,易造成肉眼观察产生误差;p H=7.2时,红细胞沉降最充分,图形最清晰。
当滴注 1%红细胞悬液时,应经常摇晃红细胞悬液,使红细胞均匀地分布在磷酸缓冲液中,以防止红细胞下降。
反应时间及温度
加入鸡红血球之后,反应板在室温(20~25℃)静置30~40min,对照孔血球下沉于孔底,即可判定结果。若室温达不到实验要求,需相应调整反应时间。当环境温度低于4℃时,红细胞发生自凝;高于37℃时,会发生反应物分离和红细胞溶血。
公司正在出售的产品:
| Recombnant Human ANGPTL1, N-H | ACTA1 Antbody Blockng Peptde |
| ABCE1 Antbody Blockng Peptde | 毒蕈碱型乙酰胆碱受体M3封闭多肽 |
| NG4 Antbody Blockng Peptde | 锌指蛋白740封闭多肽 |
| EGR1 Antbody Blockng Peptde | Complexn /复合素2封闭多肽 |
| alpha arcoglycan Antbody Blockng Peptde | 缬氨酰-tRNA合成酶1封闭多肽 |
| phopho-MAP4K4(er629) Antbody Blockng Peptde | 半胱胺酸蛋白酶蛋白-12封闭多肽 |
| RNF2 Antbody Blockng Peptde | 丝裂原活化蛋白激酶1/2封闭多肽 |
| RGMA Antbody Blockng Peptde | 细胞角蛋白31封闭多肽 |
| NPTX1 Antbody Blockng Peptde | NDUF3蛋白封闭多肽 |
| OCEL1 Antbody Blockng Peptde | H2结构含磷酸肌醇HP1封闭多肽 |
| GLUT-1 Antbody Blockng Peptde | 谷氨酰胺转移酶GMP封闭多肽 |
| FAM136a Antbody Blockng Peptde | 嘌呤核苷磷酸化酶封闭多肽 |
| Recombnant nuln Detemr proten (HEK293) | 15-deoxy-δ12,14-Prostaglandin J2-d4癌胚抗原相关细胞粘附分子8封闭多肽 |
| LONP1 Antbody Blockng Peptde | 嗜酸粒细胞趋化蛋白CCL6封闭多肽 |
| 抑制素A/nhbn α封闭多肽 | 磷酸化热休克蛋白27封闭多肽 |
风险提示:丁香通仅作为第三方平台,为商家信息发布提供平台空间。用户咨询产品时请注意保护个人信息及财产安全,合理判断,谨慎选购商品,商家和用户对交易行为负责。对于医疗器械类产品,请先查证核实企业经营资质和医疗器械产品注册证情况。
文献和实验学任何一个软件,首先当然是了解如何读取、呈现和保存软件处理对象,就像学编程,总要先来一句「Hello,world」一样。对于图像处理软件就是打开图片、获取图片基本信息、对图片进行简单操作,然后保存成所需格式。有了这个基础之后,再去正式学习软件的功能,会事半功倍。Image J 和传统软件不太一样,它把标题栏、菜单栏、工具栏和状态栏集中放在一起,并没有把工作区框起来,而是打开图片之后,以图片悬浮的方式作为各自的工作区。一、打开图像打开图片很简单,跟常规软件一样,File-Open 或快捷
细胞划痕实验是一种简单易行的检测细胞运动的方法,实验成本低,可以用来检测贴壁生长肿瘤细胞的侵袭转移能力。划痕实验大家会做,那么如何将这一大批的图片进行实验距离的测定呢?Image J 又要派上用场了,它不仅可以用于分析 DNA 电泳 WB 条带的灰度值、细胞计数、细胞共定位,就连细胞划痕面积一样可以计算!一、划痕实验的实验原理和步骤先简单的回顾下划痕实验的实验原理和实验步骤。1. 实验原理细胞划痕法是测定肿瘤细胞的运动特性的方法之一,是在体外培养的单层细胞上划痕致伤,观察肿瘤细胞的迁移
J形染色体 J( -shaped) chromosome 亦称不等臂染色体。是指着丝粒位于偏中部或偏端部的染色体。因在有丝分裂周期的中期和后期呈“ J”字形而得名。
技术资料暂无技术资料 索取技术资料









