万千商家帮你免费找货
0 人在求购买到急需产品
- 详细信息
- 文献和实验
- 技术资料
- 库存:
44
- 英文名:
N-desethyl Brinzolamide (oxalate)
- 供应商:
上海莼试
- 保存条件:
-20°C
- 规格:
1 mg 5 mg 10 mg 25 mg
| 货号 | CS-01Y69100 | 规格 | 1 mg 5 mg 10 mg 25 mg |
| CAS号 | N/A | 分子量 | 445.5 |
| 含量 | >95.00% | 别名 | N/A |
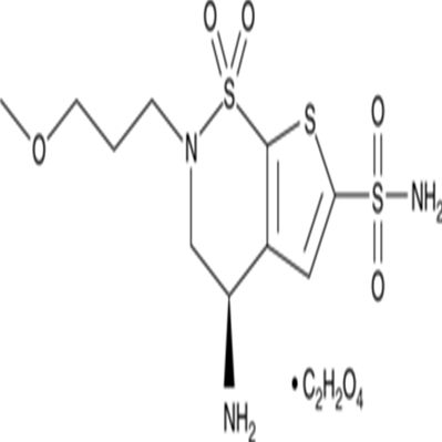
| 分子式 | C10H17N3O5S3·C2H2O4 | 化学名 | N/A |
| 产地 | 国产 | 用途 | 仅供科研研究实验 |
分子式:C10H17N3O5S3·C2H2O4

分子量:445.5
溶解度:DMSO: soluble
储存条件:-20°C
General tips:For obtaining a higher solubility , please warm the tube at 37 ℃ and shake it in the ultrasonic bath for a while.
Shipping Condition:Evaluation sample solution : ship with blue ice All other available size: ship with RT , or blue ice upon request
N-desethyl Brinzolamide is an active metabolite of the carbonic anhydrase (CA) inhibitor brinzolamide .1 It inhibits CAII and CAIV activities (IC50s = 1.28 and 128 nM, respectively).1.Kim, C.-Y., Whittington, D.A., Chang, J.S., et al.Structural aspects of isozyme selectivity in the binding of inhibitors to carbonic anhydrases II and IVJ. Med. Chem.45(4)888-893(2002)
注意事项:
抗逆滴加序列
每次向板内滴加抗原时,移液器滴头要与平面45度悬空,不要触碰到孔内的液体,由后向前依次滴加(即浓度由低往高滴加)。
抗感染反应期
抗原抗体在室温20~25℃下,必须反应30min以上,若环境温度低于室温,可将微量反应板置于恒温培养箱中,使二者充分反应。
旅游温度
磷酸盐缓冲液的pH值要在高压灭菌后进行滴定,往往在高压后pH值会有所改变,所以高压后再调一次pH值更为准确。磷酸盐缓冲液一经使用保存期不要超过3周。当pH<5.8时,红细胞会产生自凝现象;当pH>7.8时,图形洗脱加快,易造成肉眼观察产生误差;p H=7.2时,红细胞沉降最充分,图形最清晰。
当滴注 1%红细胞悬液时,应经常摇晃红细胞悬液,使红细胞均匀地分布在磷酸缓冲液中,以防止红细胞下降。
反应时间及温度
加入鸡红血球之后,反应板在室温(20~25℃)静置30~40min,对照孔血球下沉于孔底,即可判定结果。若室温达不到实验要求,需相应调整反应时间。当环境温度低于4℃时,红细胞发生自凝;高于37℃时,会发生反应物分离和红细胞溶血。
使用方法:
1.本蛋白酶抑制剂混合物为100×的储存液,使用时按照1:100的比例加入到裂解液中(例如,1ml裂解液中加入10μl蛋白酶抑制剂混合物),混匀后即可使用。根据需要,0.5M的EDTA也按照1:100的比例加入到裂解液中(如用于检测金属蛋白酶活性,则不宜添加EDTA)。含有蛋白酶抑制剂混合物的裂解液宜现用现配,不宜配制后冻存待后续使用。
2. 待所需的抑制剂添加完毕混匀后,就可以开始进行哺乳动物组织的裂解和蛋白提取。
公司正在出售的产品:
| Recombnant Human TLR4 proten,C-Fc Tag | Recombnant Human Ube2G2 |
| Recombnant Human Ube2H | RT1蛋白封闭多肽 |
| Recombnant Human UBE2 | GRHL1蛋白封闭多肽 |
| Recombnant Human UBE2J2 | 褪黑素受体1A/松果体素受体1A封闭多肽 |
| Recombnant Human UBE2M | 神经元素3封闭多肽 |
| Recombnant Human Ube2N | 铁调节蛋白/铁调素封闭多肽 |
| Recombnant Human UBE2V1 | 囊泡相关膜蛋白5封闭多肽 |
| Recombnant Human UBE2W | 乙酰辅酶A转运蛋白1封闭多肽 |
| Recombnant Human UBL3 | 多聚腺苷酸特异性核糖核酸封闭多肽 |
| Recombnant Human UBL5 | 芳基磺基转移酶1封闭多肽 |
| Recombnant Human UCMA | 液泡蛋白分选蛋白29封闭多肽 |
| Recombnant Human UFC1 | 葡萄糖激酶封闭多肽 |
| Recombnant Human UFM1 | N-desethyl Brinzolamide (oxalate)丝氨酸/苏氨酸激酶TLK2封闭多肽 |
| Recombnant Human UfP1 | 锌指蛋白138封闭多肽 |
| T细胞表面糖蛋白CD1E封闭多肽 | KAA1737蛋白封闭多肽 |
风险提示:丁香通仅作为第三方平台,为商家信息发布提供平台空间。用户咨询产品时请注意保护个人信息及财产安全,合理判断,谨慎选购商品,商家和用户对交易行为负责。对于医疗器械类产品,请先查证核实企业经营资质和医疗器械产品注册证情况。
文献和实验contains 1.98ml of diluent mixture: Ammonium oxalate 11.45gm, Sorensen`s phosphate buffer 1.0gm , Thimerosal 0.1gm, Purified water qs to 1L ADDITIONAL INFO For automatic counts you can use
viral immunity pathogenesis group
contains 1.98ml of diluent mixture: Ammonium oxalate 11.45gm, Sorensen`s phosphate buffer 1.0gm , Thimerosal 0.1gm, Purified water qs to 1L ADDITIONAL INFO For automatic counts you can use
.), which does not seem to have been used as a fixative. Carbodiimides are compounds that combine with and cross-link carboxyl groups. They fix proteins by joining together C-termini and/or side chains of glutamic and aspartic acid units. Their general chemical formula is R-N=C=N-R
技术资料暂无技术资料 索取技术资料









