相关产品推荐更多 >
万千商家帮你免费找货
0 人在求购买到急需产品
- 详细信息
- 技术资料
- 库存:
52
- 英文名:
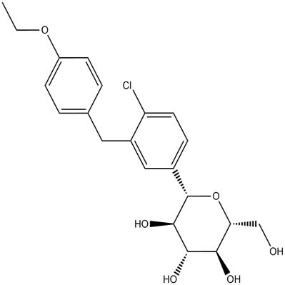
Dapagliflozin
- CAS号:
461432-26-8
- 供应商:
上海莼试
- 保存条件:
Store at -20°C
- 规格:
5mg 25mg 100mg
使用方法:
1.本蛋白酶抑制剂混合物为100×的储存液,使用时按照1:100的比例加入到裂解液中(例如,1ml裂解液中加入10μl蛋白酶抑制剂混合物),混匀后即可使用。根据需要,0.5M的EDTA也按照1:100的比例加入到裂解液中(如用于检测金属蛋白酶活性,则不宜添加EDTA)。含有蛋白酶抑制剂混合物的裂解液宜现用现配,不宜配制后冻存待后续使用。
2. 待所需的抑制剂添加完毕混匀后,就可以开始进行哺乳动物组织的裂解和蛋白提取。
商品属性:
产品描述:
分子式:C21H25ClO6

分子量:408.87
溶解度:≥ 15.1mg/mL in DMSO, ≥ 116.6 mg/mL in EtOH
储存条件:Store at-20°C
General tips:For obtaining a higher solubility , please warm the tube at 37 ℃ and shake it in the ultrasonic bath for a while.
Shipping Condition:Evaluation sample solution : ship with blue ice All other available size: ship with RT , or blue ice upon request
EC50: 1.1±0.06 nM for hSGLT2Selective inhibition of SGLT2 has been proposed to aid in the normalization of plasma glucose levels in patients with diabetes by preventing the renal glucose reabsorption process and promoting glucose excretion in urine. Dapagliflozin is a potent, selective Renal Sodium-Dependent Glucose Cotransporter 2 (SGLT2) inhibitor.In vitro: EC50 values of 1.1 nM for hSGLT2 and 1.4 μM for hSGLT1 determined for Dapagliflozin corresponded to 1200-fold selectivity for SGLT2 as compared with phlorizin’s 10-fold selectivity. Dapagliflozin inhibitory potencies against rat SGLT (rSGLT)2 and hSGLT2 were comparable, but the selectivity of Dapagliflozin for rSGLT2 versus rSGLT1 decreased to 200-fold [1].In vivo: In vivo, dapagliflozin acutely induced renal glucose excretion in diabetic and normal rats, improved glucose tolerance in normal rats, as well as reduced hyperglycemia in Zucker diabetic fatty rats after single oral doses ranging between 0.1 and 1.0 mg/kg [2].
注意事项:
抗逆滴加序列
每次向板内滴加抗原时,移液器滴头要与平面45度悬空,不要触碰到孔内的液体,由后向前依次滴加(即浓度由低往高滴加)。
抗感染反应期
抗原抗体在室温20~25℃下,必须反应30min以上,若环境温度低于室温,可将微量反应板置于恒温培养箱中,使二者充分反应。
旅游温度
磷酸盐缓冲液的pH值要在高压灭菌后进行滴定,往往在高压后pH值会有所改变,所以高压后再调一次pH值更为准确。磷酸盐缓冲液一经使用保存期不要超过3周。当pH<5.8时,红细胞会产生自凝现象;当pH>7.8时,图形洗脱加快,易造成肉眼观察产生误差;p H=7.2时,红细胞沉降最充分,图形最清晰。
当滴注 1%红细胞悬液时,应经常摇晃红细胞悬液,使红细胞均匀地分布在磷酸缓冲液中,以防止红细胞下降。
反应时间及温度
加入鸡红血球之后,反应板在室温(20~25℃)静置30~40min,对照孔血球下沉于孔底,即可判定结果。若室温达不到实验要求,需相应调整反应时间。当环境温度低于4℃时,红细胞发生自凝;高于37℃时,会发生反应物分离和红细胞溶血。
公司正在出售的产品:
1.本蛋白酶抑制剂混合物为100×的储存液,使用时按照1:100的比例加入到裂解液中(例如,1ml裂解液中加入10μl蛋白酶抑制剂混合物),混匀后即可使用。根据需要,0.5M的EDTA也按照1:100的比例加入到裂解液中(如用于检测金属蛋白酶活性,则不宜添加EDTA)。含有蛋白酶抑制剂混合物的裂解液宜现用现配,不宜配制后冻存待后续使用。
2. 待所需的抑制剂添加完毕混匀后,就可以开始进行哺乳动物组织的裂解和蛋白提取。
商品属性:
| 货号 | CS-01Y68011 | 规格 | 5mg 25mg 100mg |
| CAS号 | 461432-26-8 | 分子量 | 408.87 |
| 含量 | >98.00% | 别名 | N/A |
| 分子式 | C21H25ClO6 | 化学名 | (2S,3R,4R,5S,6R)-2-[4-chloro-3-[(4-ethoxyphenyl)methyl]phenyl]-6-(hydroxymethyl)oxane-3,4,5-triol |
| 产地 | 国产 | 用途 | 仅供科研研究实验 |
分子式:C21H25ClO6

分子量:408.87
溶解度:≥ 15.1mg/mL in DMSO, ≥ 116.6 mg/mL in EtOH
储存条件:Store at-20°C
General tips:For obtaining a higher solubility , please warm the tube at 37 ℃ and shake it in the ultrasonic bath for a while.
Shipping Condition:Evaluation sample solution : ship with blue ice All other available size: ship with RT , or blue ice upon request
EC50: 1.1±0.06 nM for hSGLT2Selective inhibition of SGLT2 has been proposed to aid in the normalization of plasma glucose levels in patients with diabetes by preventing the renal glucose reabsorption process and promoting glucose excretion in urine. Dapagliflozin is a potent, selective Renal Sodium-Dependent Glucose Cotransporter 2 (SGLT2) inhibitor.In vitro: EC50 values of 1.1 nM for hSGLT2 and 1.4 μM for hSGLT1 determined for Dapagliflozin corresponded to 1200-fold selectivity for SGLT2 as compared with phlorizin’s 10-fold selectivity. Dapagliflozin inhibitory potencies against rat SGLT (rSGLT)2 and hSGLT2 were comparable, but the selectivity of Dapagliflozin for rSGLT2 versus rSGLT1 decreased to 200-fold [1].In vivo: In vivo, dapagliflozin acutely induced renal glucose excretion in diabetic and normal rats, improved glucose tolerance in normal rats, as well as reduced hyperglycemia in Zucker diabetic fatty rats after single oral doses ranging between 0.1 and 1.0 mg/kg [2].
注意事项:
抗逆滴加序列
每次向板内滴加抗原时,移液器滴头要与平面45度悬空,不要触碰到孔内的液体,由后向前依次滴加(即浓度由低往高滴加)。
抗感染反应期
抗原抗体在室温20~25℃下,必须反应30min以上,若环境温度低于室温,可将微量反应板置于恒温培养箱中,使二者充分反应。
旅游温度
磷酸盐缓冲液的pH值要在高压灭菌后进行滴定,往往在高压后pH值会有所改变,所以高压后再调一次pH值更为准确。磷酸盐缓冲液一经使用保存期不要超过3周。当pH<5.8时,红细胞会产生自凝现象;当pH>7.8时,图形洗脱加快,易造成肉眼观察产生误差;p H=7.2时,红细胞沉降最充分,图形最清晰。
当滴注 1%红细胞悬液时,应经常摇晃红细胞悬液,使红细胞均匀地分布在磷酸缓冲液中,以防止红细胞下降。
反应时间及温度
加入鸡红血球之后,反应板在室温(20~25℃)静置30~40min,对照孔血球下沉于孔底,即可判定结果。若室温达不到实验要求,需相应调整反应时间。当环境温度低于4℃时,红细胞发生自凝;高于37℃时,会发生反应物分离和红细胞溶血。
公司正在出售的产品:
| Recombnant Human NRG1/Neureguln-1, C-Fc | Recombnant Ornthne Trancarbamylae (OTC) |
| Recombnant orbtol Dehydrogenae (DH) | E3泛素连接酶蛋白NEURL2封闭多肽 |
| Recombnant Endoplamc Retculum Redent Proten 57 (ERp57) | 第十七号染色体开放阅读框87封闭多肽 |
| Recombnant nterleukn 1 Receptor Aocated Knae 1 (RAK1) | 同型胱氨酸牛血清白蛋白偶联物 |
| Recombnant nterleukn 1 Receptor Aocated Knae 4 (RAK4) | 剪切及多聚腺苷酸化特异因子蛋白2封闭多肽 |
| Recombnant nterleukn 1 Receptor Aocated Knae 3 (RAK3) | 磷酸化双微体2癌基因封闭多肽 |
| Recombnant Matrx Metalloprotenae 16 (MMP16) | 埃兹蛋白封闭多肽 |
| Recombnant Proteae, erne 2 (PR2) | TOMM34蛋白封闭多肽 |
| Recombnant Cytathonne (CTH) | 黑色素瘤相关抗原封闭多肽 |
| Recombnant ndoleamne-2,3-Doxygenae (DO) | 膜粘连蛋白2受体封闭多肽 |
| Recombnant A Dntegrn And Metalloproteae 17 (ADAM17) | 磷酸化3磷酸肌醇依赖性蛋白激酶1 |
| Recombnant Capae 1 (CAP1) | 平滑肌蛋白封闭多肽 |
| Recombnant Tyrone Knae 2 (Tyk2) | Dapagliflozin果糖胺-3激酶封闭多肽 |
| Recombnant Neuramndae (NEU) | 膜粘连蛋白6封闭多肽 |
| 核受体相互作用蛋白2封闭多肽 | 单纯疱疹2封闭多肽 |
风险提示:丁香通仅作为第三方平台,为商家信息发布提供平台空间。用户咨询产品时请注意保护个人信息及财产安全,合理判断,谨慎选购商品,商家和用户对交易行为负责。对于医疗器械类产品,请先查证核实企业经营资质和医疗器械产品注册证情况。
技术资料暂无技术资料 索取技术资料
Dapagliflozin
¥600 - 3200









