相关产品推荐更多 >
万千商家帮你免费找货
0 人在求购买到急需产品
- 详细信息
- 文献和实验
- 技术资料
- 库存:
48
- 英文名:
LX-4211
- CAS号:
1018899-04-1
- 供应商:
上海莼试
- 保存条件:
Store at -20°C
- 规格:
5mg 25mg

规格:5mg 25mg
CAS:1018899-04-1
别名:LX4211;LX 4211
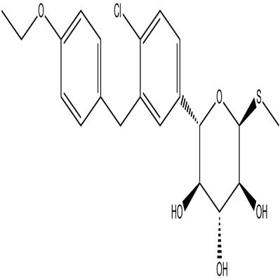
化学名:(2S,3R,4R,5S,6R)-2-[4-chloro-3-[(4-ethoxyphenyl)methyl]phenyl]-6-methylsulfanyloxane-3,4,5-trio
LX-4211分子式:C21H25ClO5S

分子量:424.94
溶解度:DMF: 30 mg/ml,DMSO: 30 mg/ml,Ethanol: 30 mg/ml,Ethanol:PBS(pH 7.2) (1:1): 0.5 mg/ml
储存条件:Store at -20°C
General tips:For obtaining a higher solubility , please warm the tube at 37 ℃ and shake it in the ultrasonic bath for a while.
Shipping Condition: Evaluation sample solution : ship with blue ice All other available size: ship with RT , or blue ice upon request
本产品仅供科学实验研究使用! 不能用于临床或动物诊断!
| 产品名称 | LX-4211 | 产品货号 | CS-01Y68365 |
| 规格 | 5mg 25mg | CAS号 | 1018899-04-1 |
| 含量 | >98.00% | 分子式 | C21H25ClO5S |
| 分子量 | 424.94 | 用途 | 仅供科研研究使用 |

Sotagliflozin (LX-4211) is a potent dual SGLT2/1 inhibitor. Antidiabetic agents.LX4211 enhanced urinary glucose excretion by inhibiting SGLT2-mediated renal glucose reabsorption; markedly and significantly improved multiple measures of glycemic control, including fasting plasma glucose, oral glucose tolerance, and HbA(1c); and significantly lowered serum triglycerides. LX4211 also mediated trends for lower weight, lower blood pressure, and higher glucagon-like peptide-1 levels. In a follow-up single-dose study in 12 patients with T2DM, LX4211 (300 mg) significantly increased glucagon-like peptide-1 and peptide YY levels relative to pretreatment values, probably by delaying SGLT1-mediated intestinal glucose absorption [1]. LX4211-treated mice and SGLT1-/- mice also had increased GLP-1 AUC values, decreased glucose-dependent insulinotropic polypeptide (GIP) AUC values, and decreased blood glucose excursions during the 6 hours after a challenge with oral glucose alone [2
使用方法:

1. 常用筛选浓度
注意:用来筛选稳转株的工作浓度需要根据细胞类型,培养基,生长条件和细胞代谢率而变化,推荐使用浓度为50-1000μg/mL。对于第一次使用的实验体系建议通过建立杀灭曲线(kill curve),即剂量反应性曲线,来确定最佳筛选浓度。
一般而言,哺乳动物细胞50-500μg/mL;细菌/植物细胞20-200μg/mL;真菌300-1000μg/mL。
2. 杀灭曲线的建立
注意:为了筛选得到稳定表达目的蛋白的细胞株,需要确定能够杀死未转染宿主细胞的抗生素浓度,可通过建立杀灭曲线(剂量反应曲线)来实现,至少选择5个浓度。
1) 第一天:未转化的细胞按照20-25%的细胞密度铺在合适的培养板上,37℃,CO2培养过夜;注:对于需要更高密度来检测活力的细胞,可增加接种量。
2) 根据细胞类型,设定合适范围内的浓度梯度。以哺乳动物细胞为例,可设定50,100,250,500,750,1000μg/mL。先用去离子水或者PBS buffer按照1:10的比例将母液稀释到5 mg/ml,然后按照下表稀释到相应浓度的工作液。
3) 第二天:替换旧的培养基,换用新鲜配制的含有相应浓度药物的培养基。每个浓度做三个平行孔。
4) 接下来每3-4天更换新的含药物培养基。
5) 按照固定的周期(如每2天)进行活细胞计数来确定阻止未转染细胞生长的恰当浓度。选择在理想的天数(通常是7-10天)内能够杀死绝大多数细胞的浓度为稳定转染细胞筛选用的工作浓度。
3. 稳定转染细胞的筛选
1) 转染48h后,用含有适当浓度的潮霉素B筛选培养基来传代细胞(直接传代或者稀释后传代)。
注意:细胞处于活跃分裂状态时抗生素的杀伤。则当细胞过于稠密,其效率会降低。为了得到较好的筛选效果,最好将细胞稀释至丰度不超过25%
2) 每隔3-4天更换含有药物的筛选培养液。
3) 筛选7天后观察并评估细胞克隆(集落)的形成情况。集落的形成可能还需要一周或者更多的时间,这取决于宿主细胞类型,转染,以及筛选效果。
4) 挑取并转移5-10个抗性克隆于35mm细胞培养板,继续用含药物的筛选培养液维持培养7天。
5) 之后更换正常培养基培养即可。
蛋白酶抑制剂混合物实验步骤:

(1)实验开始前将RNA提取液于65℃水浴锅中预热,离心管中加入ME(巯基乙醇),(10mL加80ul,50mL中加入300ul)
(2)取约0.8g菌丝体(液体培养获得的菌丝用真空抽滤即可!固体培养就更好说了),在液氮中迅速磨成精细粉末,装入50mL离心管,按1g材料8mL的量加入预热的RNA提取液,颠倒混匀
(3)65℃水浴3-10 min,期间混匀2-3次
(4)加入等体积的酚(注意是酸酚pH4.5)::yi戊醇(25:24:1)抽提(10,000rpm,4℃,5 min)
(5)取上清,等体积的yi戊醇(24:1)抽提(10,000rpm,4℃,5 min)
(6)加入1/4V体积10M LiCl溶液,4℃放置6h以上(或过夜)
(7)10,000rpm,4℃离心20min
(8)弃上清,用500ul SSTE溶解沉淀
(9)酚::yi戊醇(25:24:1)抽提两次,:yi戊醇(24:1)抽提1次(10,000rpm,4℃,5min)
(10)加2V体积的无水乙醇,在-70℃冰箱沉淀30min以上
(11)12,000rpm,4℃离心20 min
(12)弃上清.沉淀用70%酒精漂洗一次,干燥
(13)加200ul的DEPC处理水溶解
(14)用非变性琼脂糖凝胶电泳和紫外分光光度计扫描检测RNA的质量(在抽提过程中,若蛋白质含量或其它的杂质还较多,可以增加抽提次数)
公司正在出售的产品:

| Recombnant Trchoderma guzhouene NJAU 4742 A0O28_0110560 proten,C-H Tag | Recombnant Kallkren 1 (KLK1) |
| Recombnant Aldoterone ynthae (ALDO) | 谷丙氨酸氨基转移酶1封闭多肽 |
| Recombnant Acd Phophatae 1 (ACP1) | 钙结合蛋白样39封闭多肽 |
| Recombnant Alpha-1-Antchymotrypn (a1ACT) | 线粒体前体蛋白TMM23封闭多肽 |
| Recombnant Glutamate Cytene Lgae, Modfer ubunt (GCLM) | 细胞色素P450 2J2封闭多肽 |
| Recombnant Proten Knae C Beta 1 (PKCb1) | HARP2蛋白封闭多肽 |
| Recombnant Cluter Of Dfferentaton 15 (CD15) | EYA3蛋白封闭多肽 |
| Recombnant Proten Dulfde omerae (PD) | 嗅觉受体52E6封闭多肽 |
| Recombnant Ubqutn Conjugatng Enzyme E2A (UBE2A) | ATP依赖的解旋酶CHD8封闭多肽 |
| Recombnant Alanne Amnopeptdae (AAP) | 己糖激酶结构域蛋白1封闭多肽 |
| Recombnant Dopachrome Tautomerae (DCT) | 微管相关蛋白轻链3C封闭多肽 |
| Recombnant Tryptae (TP) | 着丝粒蛋白封闭多肽 |
| Recombnant Ubqutn Proten Lgae E3A (UBE3A) | LX-4211膜相关环指蛋白4封闭多肽 |
| Recombnant Phopholpae A2, Group D (PLA2G2D) | 转化生长因子β1结合蛋白封闭多肽 |
| 红细胞阴离子交换蛋白1封闭多肽 | 锌指蛋白237封闭多肽 |
风险提示:丁香通仅作为第三方平台,为商家信息发布提供平台空间。用户咨询产品时请注意保护个人信息及财产安全,合理判断,谨慎选购商品,商家和用户对交易行为负责。对于医疗器械类产品,请先查证核实企业经营资质和医疗器械产品注册证情况。
文献和实验电话15309255122 QQ:1578302142 传真029-85237916 联系人 寇小姐 LX10-21 行程开关 只 2 LX10-22 行程开关 只 3 LX10-31 行程开关 只 4 LX10-32 行程开关 只 5 LX10-32S 行程开关 只 6 LX11-2 行程开关 只 7 LX19-111 行程开关 只 8 LX19-212 行程开关 只 9 LX19-K 行程开关 只 10 LX19-001 行程
和通量,增加分离纯化效果则是下游层析处理时需要考虑的首要问题。 2、如何选择亲和填料? 从 2007 年至今, 随着 GE 医疗出品的耐碱亲和填料 Mabselect SuRe和Mabselect SuRe LX,多模式填料 Adhere 以及 MMC,以及兼顾高载量,高分辨率的阳离子填料 Capto S ImpAct 填料的推出,GE 医疗在抗体领域形成了全面,成熟以及高效的纯化工艺 Toolbox 组合(见下图
生命表 life table,mortality table
生命表是记载一群同种个体出生后随时间推移如何发生死亡、减少的表。这种表是在人口学研究中发展起来的。1920年前后,由珀尔(R.Pearl)引用到动物种群的研究中。即根据发育阶段区分的龄间隔X;该期间最初的生存个数Lx:该期间内的死亡数dx;和死亡率qx;期待寿命ex等几项组成。记载随龄x的经过所发生的变化。为追踪短期间内出生的“同时出生集团”的经过所制作的表,称为不同龄生命表;根据某一时间存在的种群的龄组成来推定各龄间隔的死亡率而制作的表,称为不同时间生命表。前一种表适用于个体可以追踪
技术资料暂无技术资料 索取技术资料









