相关产品推荐更多 >
万千商家帮你免费找货
0 人在求购买到急需产品
- 详细信息
- 文献和实验
- 技术资料
- 库存:
44
- 英文名:
Tenuifolin
- CAS号:
20183-47-5
- 保质期:
2年
- 供应商:
上海联祖
- 保存条件:
4℃冷藏、密封、避光
- 规格:
20mg/支
商品属性:
| 产品名称 | 英文名称 | 规格 | 货号 |
| 细叶远志皂苷20183-47-5 | Tenuifolin | 20mg/支 | LZ-BP2331 |
商品介绍:
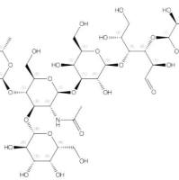
产品名称:细叶远志皂苷
英文名称:Tenuifolin
CAS NO:20183-47-5
分子式:C36H56O12
分子量:680.38
分子结构:
规格:20mg/支
外观:白色针晶粉
提取来源:远志科多年生草本植物远志Polygala tenuifolia Willd.或卵叶远志Polygala sibirica L.的根
纯度:HPLC≥98%
分析方法: HPLC-DAD or/and HPLC-ELSD
鉴定方法: 质谱(Mass), 核磁(NMR)
贮存条件:4℃冷藏、密封、避光
有效期:2年
供货能力:大量现货
标准品的选择原则:
1.考虑标准品的稳定性
如:阿莫西林的对照品选阿莫西林三水合物(其稳定性优于阿莫西林及其一水合物)。
2.考虑盐基、酸根的不同
如:某些药物杂质对照品,有些做成盐酸盐,有些为游离碱,在选择和使用过程也要注意哪个适合自己。若用于测含量要考虑换算因子。
3.用作红外鉴别的对照品要考虑晶型的一致。(晶型不一致、红外很有可能不一致)
4.官方对照品往往用于定位或含量检测,往往不建议用作晶型鉴定、或红外标准图谱(官方对照品的制备工艺很大程度与生产工艺不一致,有可能是HPLC制备纯化得到的,晶型无法保证一致性,有少数产品官方也会提供产品对照光谱,国内也有红外光谱集)
T.gondii ELISA Kit MUM1/IRF4 Antibody (Clone#24I76)
EP ELISA Kit CHRNA5 Antibody (Clone#24C16)
PSA-U ELISA Kit WIPI1 Antibody (Clone#18W21)
CYT ELISA Kit BTN1A1 Antibody (Clone#OTI7B5)
NGB ELISA Kit CCT2 Antibody (Clone#22C16)
Casp-3 ELISA Kit TRAFD1 Antibody (Clone#OTI3E8)
Bid ELISA Kit FOXO3A/FOXO3 Antibody
Pepsin ELISA Kit KLF10 Antibody (Clone#22K32)
CP ELISA Kit PSMA1 Antibody
CEF ELISA Kit CD30/TNFRSF8 Antibody
BJP ELISA Kit BCRP/ABCG2 Antibody
VMA ELISA Kit MVK Antibody (Clone#28M97)
HVA ELISA Kit PI3 Kinase p110 Beta/PIK3CB Antibody
ORM ELISA Kit PDE6G Antibody (Clone#OTI1F3)
DR-70TM ELISA Kit S100A1 Antibody (Clone#28S15)
LTA ELISA Kit p40/RABEPK Antibody (Clone#18R87)
MSH ELISA Kit MRP5/ABCC5 Antibody (Clone#OTI5A8)
CALLA ELISA Kit Flotillin 2/FLOT2 Antibody (Clone#4D8A3)
Ag-NORs ELISA Kit SIL1 Antibody (Clone#OTI1F9)
BRCA-1 ELISA Kit Human p53 Antibody Unconjugated Conjugated, Flow Validated (Clone#PAB122)
ITF ELISA Kit SNAP23 Antibody
标准品的分类:
细叶远志皂苷20183-47-51.鉴别用对照品:用于药品鉴别项下的红外、薄层色谱等鉴别;
2.检测用对照品:用于药品检查项下有关物质、溶出度、含量均匀度的检测,一般对照品纯度不低于98.5%
3.含量测定用对照品:用于含量检测,纯度要求高,99%以上。
4.熔点标准品:化学性质稳定,熔点固定、熔程短的一类标准物质,用于熔点温度计的校正,如:偶氮苯(mp:69℃)、磺胺(mp:166℃)、糖精( mp:229℃ )、酚酞( mp:263℃ )
5.溶出度校正片:为特殊制备的某种药片,通常为水杨酸校正片,用于溶出度仪的校正。
风险提示:丁香通仅作为第三方平台,为商家信息发布提供平台空间。用户咨询产品时请注意保护个人信息及财产安全,合理判断,谨慎选购商品,商家和用户对交易行为负责。对于医疗器械类产品,请先查证核实企业经营资质和医疗器械产品注册证情况。
文献和实验相关实验
【摘要】 目的测定四川回春堂瓜蒌种植示范基地和当地药农的瓜蒌籽中脂肪酸含量及组成。方法气相色谱法。结果两地瓜蒌籽中油脂含量较高,分别达40.5%和37.8%。其不饱和脂肪酸含量达87%以上,必需脂肪酸含量达47%,比菜籽油高,接近玉米油和大豆油。瓜蒌籽油中还含有较多的EPA和DHA。结论瓜蒌籽中含大量油脂,其不饱和脂肪酸和必需脂肪酸含量较高,极具开发潜力。 【关键词】 瓜蒌籽 脂肪酸 气相色谱法 瓜蒌Trichosanthes kirilowii Maxim
技术资料暂无技术资料 索取技术资料
细叶远志皂苷20183-47-5
¥500 - 3800









