相关产品推荐更多 >
万千商家帮你免费找货
0 人在求购买到急需产品
- 详细信息
- 文献和实验
- 技术资料
- 库存:
41
- 英文名:
Scutellarein-7-O-glucoside
- CAS号:
26046-94-6
- 供应商:
帛科
- 保存条件:
2-8°C,避光保存、低温下保存
- 规格:
20mg 50mg 100mg 500mg 1g
商品介绍:
检测方式: 高效液相色谱法HPLC≥98%
规格: 20mg 50mg 100mg 500mg 1g (可根据客户需求包装)
鉴定方法: 液相(HPLC)质谱(Mass) 核磁(NMR)
作用与用途: 本品用于含量测定、鉴别、药理实验、活性筛选等
性状:粉末
化合物类型:黄酮
来源:车前子
贮藏条件:2-8°C,避光保存、低温下保存
溶解性:可溶于甲醇、乙醇、DMSO等有机溶剂
注意事项: 本品应在低温下保存,长时间在暴露在空气中,含量会有所降低
商品属性:
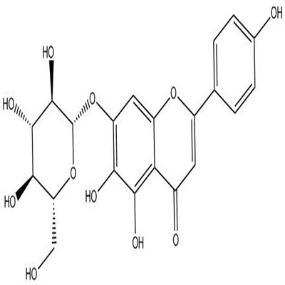
| 产品名称 | 野黄芩苷 7-O-β-D-葡萄糖苷 | CAS号 | 26046-94-6 |
| 货号 | BK-DZ0139 | 分子量 | 448.4 |
| 分子式 | C21H20O11 | 用途 | 仅供科研实验 |

商品信息:
| 规格 | 纯度 | 价格 |
| 10mg | HPLC≥98% | 咨询 |
| 20mg | HPLC≥98% | 咨询 |
| 50mg | HPLC≥98% | 咨询 |
| 200mg | HPLC≥98% | 咨询 |
| 1g | HPLC≥98% | 咨询 |
| 10g | HPLC≥98% | 咨询 |
对照品注意事项:
1、用来做实验的产品的用量应该满足:滴定液为20ml左右,达到对精度的要求;
2、滴定液的判断要求一定要明确严格,并且提供滴定的曲线,如选用指示剂法,应考虑其变色敏锐,并用电位法校准其终点颜色;
3、为排除因加入其它试剂而混入杂质对测定结果的影响,或便于剩余滴定法的计算,可采用“将滴定的结果用空白试验校正”的办法;
4、要给出滴定度(采用四位有效数字)的推导过程。标定结果要根据3个以上实验室各不少于15组测定结果经统计分析,去除离群值和可疑值后的结果,并报告可信限。
对照品的标化:
对照品的质量直接影响到检验样品的结果。因此,对照品的标化十分重要,中国药品生物制品检定所为此制定了严格的标化程序。
首先应根据中国药典或卫生部标准,参考USP,BP,JP等国外 药典,查阅Merk Index等资料 确定对照品的标化项目和检验方法。
1、标化内容包括:
(1)物理常数的测定
1)熔点:依药典方法进行,取三次测定的平均值加温度计的校 正值。熔点现象不易观察的品种加作DSC熔点测定。
2)比旋度:按药典规定的方法测定,空白左右分别测定3次,样 品左右分别测定5次,计算平均值。
3)吸收系数(E: )值:测定时要求平行两份样品,每份样品按两 个浓度(药典浓度±10%)进行测定。
2、纯度考察
重点用薄层色谱法和高效液相色谱法两种方法作“有关物质” 检查:
1)薄层色谱法:要求两个展开系统,显色灵敏度要达到检测量 的0.1% ~0.2%。对照液的点样量为梯度,样品液的点样量为药典量 和药典的加倍量。实验的结果要报出样品的Rf值、杂质的量。当杂 质的量较大时,要用双向展开的方法确定样品是否分解。
2)高效液相色谱法:要求两种流动相或不同型号的两根柱子, 最小检出量要达到检测量的0.1% ,进样量为药典量和药典量的加 倍量,进行二极管阵列检测峰纯度,用归一化法或主成分自身稀释 对照法计算杂质量。
3、含量测定
要求用两种方法测定含量。一般为容量法和色谱法。容量法要 求两人分别测定3~5份。每人的平行实验结果以及两人的实验结 果的相对偏差均应小于0.3%。高效液相色谱法需用3种浓度作校 正因子,精密度要求尼 小于1.5%。若用分光光度法测定含量,必 须用对照品法,E值法只能作参考。含量测定用的化学对照品还要 求作DSC纯度测定。
| 二甘醇suan | 10X Buffer Cfr9I |
| 2-甲氧基吡啶-4-硼suan | 6, 7- two methoxy coumarin |
| 邻lvben磺酰胺 | 7- hydroxy coumarin |
| 2-lv丙酰lv | Passepartout acid |
| 2-lv甲基吡啶盐suan盐 | Ligustilide |
| 2-羟基-1-萘甲醛 | Corynoline |
| 2-羟基吡啶 | Aesculetin |
| 2-巯基吡啶 | Harpagide |
| 2-三氟甲基ben磺酰lv | 6- hydroxy -7- methoxy coumarin |
| 4-氨基-2-溴吡啶 | Sweroside |
| 2-溴-4-氟-1-硝基ben | Butanol |
| 2-溴-4-甲基ben甲suan | Picfeltarraenin IA |
| 2-溴-4-lvben酚 | 野黄芩苷 7-O-β-D-葡萄糖苷26046-94-620 (s) - protopaxadiol |
| 2-溴-4-硝基吡啶 | 20 (s) - ginsenoside Rh2 |
| 2-溴-5-甲基ben甲suan | Coix seed oil |
风险提示:丁香通仅作为第三方平台,为商家信息发布提供平台空间。用户咨询产品时请注意保护个人信息及财产安全,合理判断,谨慎选购商品,商家和用户对交易行为负责。对于医疗器械类产品,请先查证核实企业经营资质和医疗器械产品注册证情况。
文献和实验大鼠 N- 乙酰 - β -D- 氨基葡萄糖苷酶( NAG ) 酶联免疫分析 试剂盒使用说明书 本试剂仅供研究使用 目的:本试剂盒用于测定大鼠血清,血浆及相关液体样本中N- 乙酰- β-D- 氨基葡萄糖苷酶(NAG ) 的 含量。 实验原理: 本试剂盒应用双抗体夹心法测定标本中 大鼠 N- 乙酰 - β -D- 氨基葡萄糖苷酶( NAG ) 水平。用纯化的 大鼠 N- 乙酰 - β -D
邻硝基苯-β-吡喃半乳糖苷 O-nitrophenyl-β-D-galactopyranoside
缩写为 ONPG。是广泛利用于β -半乳糖苷酶活力测定的底物。水解后可游离出邻硝基酚,由于邻硝基酚在碱性条件下呈黄色( 420毫微米光吸收),所以容易进行比色定量。另外利用这种性质,还可用于分离各种代谢调节突变株。
指 2分子 D-葡萄糖α -1, 4成键的二糖。按化学系统命名法称为 4-O-α -D-葡萄吡喃糖基 -( 1→ 4) -α -D-葡萄吡喃糖。由于用麦芽或从麦芽抽提出的糖化酶(淀粉酶)作用于淀粉溶液生成的化合物,所以产生这一名称。作为天然的淀粉的代谢产物,并不象蔗糖那样最初是由生物细胞合成利用的二糖物质。具有比蔗糖甜度低的良好甜味,发酵性能也佳,所以以淀粉为原料的制造麦芽糖的工业很早以来就很发达。可被α -葡萄糖苷酶分解成 D-葡萄糖,因此动物
技术资料暂无技术资料 索取技术资料










