相关产品推荐更多 >
万千商家帮你免费找货
0 人在求购买到急需产品
- 详细信息
- 技术资料
- 库存:
38
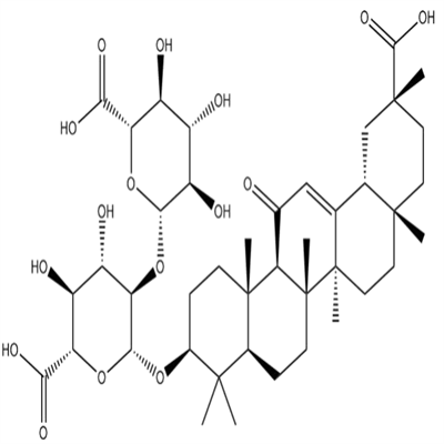
- 英文名:
(18β,20α)-Glycyrrhizic acid
- CAS号:
118441-85-3
- 供应商:
帛科
- 保存条件:
2-8°C,避光保存、低温下保存
- 规格:
5mg 10mg 20mg 50mg 100mg 500mg 1g
(18β,20α)-甘草酸118441-85-3
商品信息:
| 规格 | 纯度 | 价格 |
| 10mg | HPLC≥98% | 咨询 |
| 20mg | HPLC≥98% | 咨询 |
| 50mg | HPLC≥98% | 咨询 |
| 200mg | HPLC≥98% | 咨询 |
| 1g | HPLC≥98% | 咨询 |
| 10g | HPLC≥98% | 咨询 |
| 产品名称 | (18β,20α)-甘草酸 | CAS号 | 118441-85-3 |
| 货号 | BK-DZ0163 | 分子量 | 822.94 |
| 分子式 | C42H62O16 | 用途 | 仅供科研实验 |

商品介绍:
检测方式:高效液相色谱法HPLC≥98%
规格:5mg 10mg 20mg 50mg 100mg 500mg 1g (可根据客户需求包装)
鉴定方法:液相(HPLC)质谱(Mass) 核磁(NMR)
性状:白色粉末
化合物类型:三萜
来源:甘草
贮藏条件:2-8°C,避光保存、低温下保存
溶解性:可溶于甲醇、乙醇、DMSO等有机溶剂
用法:色谱条件:以AAcetonitrile B 0.1% phosphoric acid solution 0min37%A,15min37%A,30min70%A为流动相;检测波长为 250nm;柱温:30oC(仅供参考)
作用与用途: 本品用于含量测定、鉴别、药理实验、活性筛选等
注意事项: 本品应在低温下保存,长时间在暴露在空气中,含量会有所降低
对照品的标化:
对照品的质量直接影响到检验样品的结果。因此,对照品的标化十分重要,中国药品生物制品检定所为此制定了严格的标化程序。
首先应根据中国药典或卫生部标准,参考USP,BP,JP等国外 药典,查阅Merk Index等资料 确定对照品的标化项目和检验方法。
1、标化内容包括:
(1)物理常数的测定
1)熔点:依药典方法进行,取三次测定的平均值加温度计的校 正值。熔点现象不易观察的品种加作DSC熔点测定。
2)比旋度:按药典规定的方法测定,空白左右分别测定3次,样 品左右分别测定5次,计算平均值。
3)吸收系数(E: )值:测定时要求平行两份样品,每份样品按两 个浓度(药典浓度±10%)进行测定。
2、纯度考察
重点用薄层色谱法和高效液相色谱法两种方法作“有关物质” 检查:
1)薄层色谱法:要求两个展开系统,显色灵敏度要达到检测量 的0.1% ~0.2%。对照液的点样量为梯度,样品液的点样量为药典量 和药典的加倍量。实验的结果要报出样品的Rf值、杂质的量。当杂 质的量较大时,要用双向展开的方法确定样品是否分解。
2)高效液相色谱法:要求两种流动相或不同型号的两根柱子, 最小检出量要达到检测量的0.1% ,进样量为药典量和药典量的加 倍量,进行二极管阵列检测峰纯度,用归一化法或主成分自身稀释 对照法计算杂质量。
3、含量测定
要求用两种方法测定含量。一般为容量法和色谱法。容量法要 求两人分别测定3~5份。每人的平行实验结果以及两人的实验结 果的相对偏差均应小于0.3%。高效液相色谱法需用3种浓度作校 正因子,精密度要求尼 小于1.5%。若用分光光度法测定含量,必 须用对照品法,E值法只能作参考。含量测定用的化学对照品还要 求作DSC纯度测定。
对照品注意事项:
1、用来做实验的产品的用量应该满足:滴定液为20ml左右,达到对精度的要求;
2、滴定液的判断要求一定要明确严格,并且提供滴定的曲线,如选用指示剂法,应考虑其变色敏锐,并用电位法校准其终点颜色;
3、为排除因加入其它试剂而混入杂质对测定结果的影响,或便于剩余滴定法的计算,可采用“将滴定的结果用空白试验校正”的办法;
4、要给出滴定度(采用四位有效数字)的推导过程。标定结果要根据3个以上实验室各不少于15组测定结果经统计分析,去除离群值和可疑值后的结果,并报告可信限。
| 二缩三yi二醇 | 10X Buffer BamHI, Lsp1109I |
| 5-lv-2-氟ben甲醛 | Oseltamivir phosphate |
| 2-巯基噻唑啉 | Butocozole nitrate |
| 乳糖suan | Armillarisin a |
| 5-硝基水杨suan | Glucurolactone |
| 4-lv-3-硝基ben甲suan | Weighing boat |
| 2,4-二硝基lvben | Nicorandil |
| 2-甲氧基-4-硝基ben胺 | Betahistine mesylate |
| 衣康suan | Oxalic acid |
| 甲基丙烯suan丁酯 | Olopatadine hydrochloride (E) - isomer |
| yi二醇二甲基丙烯suan酯 | Double water diammine cyclohexane platinum two nitrate (impurity) |
| 4-溴异恶唑 | Dihydroxy oxaliplatin (impurity III) |
| 三yi基硼 | (18β,20α)-甘草酸118441-85-3L oxaliplatin (impurity D) |
| 2-yi基-1-丁醇 | Two chloro two N cyclohexane platinum |
| 2-yi基丁醛 | Oxicozole nitrate |
风险提示:丁香通仅作为第三方平台,为商家信息发布提供平台空间。用户咨询产品时请注意保护个人信息及财产安全,合理判断,谨慎选购商品,商家和用户对交易行为负责。对于医疗器械类产品,请先查证核实企业经营资质和医疗器械产品注册证情况。
技术资料暂无技术资料 索取技术资料
(18β,20α)-甘草酸118441-85-3
¥600 - 3900









