相关产品推荐更多 >
万千商家帮你免费找货
0 人在求购买到急需产品
- 详细信息
- 文献和实验
- 技术资料
- 库存:
30
- 英文名:
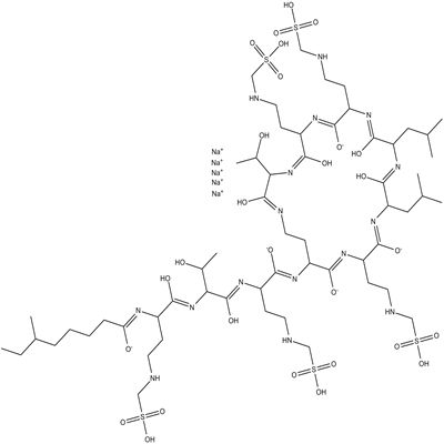
Colistin Methanesulfonate (sodium salt)
- CAS号:
8068-28-8
- 供应商:
上海莼试
- 保存条件:
4°C, protect from light
- 规格:
1g 5g
| 货号 | CS-01Y71793 | 规格 | 1g 5g |
| CAS号 | 8068-28-8 | 分子量 | 1749.8 |
| 含量 | >98.00% | 别名 | Colimycin M,Polymyxin E sodium methanesulfonate |
| 分子式 | C58H105N16O28S5 ? 5Na | 化学名 | sodium (Z)-N-((6Z,9Z)-7,10-dihydroxy-8-(1-hydroxyethyl)-5-((Z)-oxido(((1Z,4E,7Z,10Z,13Z,16Z,19Z)-2,5,11,14-tetrahydroxy-3-(1-hydroxyethyl)-12,15-diisobutyl-8,17,20-trioxido-6,9,18-tris(2-((sulfomethyl)amino)ethyl)-1,4,7,10,13,16,19-heptaazacyclotricosa-ⴄ |
| 产地 | 国产 | 用途 | 仅供科研研究实验 |
分子式:C58H105N16O28S5 ? 5Na

分子量:1749.8
溶解度:≥ 53.9mg/mL in H2O
储存条件:4°C, protect from light
General tips:For obtaining a higher solubility , please warm the tube at 37 ℃ and shake it in the ultrasonic bath for a while.
Shipping Condition:Evaluation sample solution : ship with blue ice All other available size: ship with RT , or blue ice upon request
Colistin methanesulfonate is an inactive prodrug of colistin (also known as polymyxin E), which is an antibiotic with effect against most Gram-negative bacteria, but also causes nephro- and neurotoxicity [1]. Colistin is produced by certain strains of the bacteria Paenibacillus polymyxa, and belongs to the class of polypeptide antibiotics known as polymyxins.In Vitro: Studying the time-kill kinetics of Colistin methanesulfonate against a type culture of pseudomonas aeruginosa found that 8.0 or 32 mg/l Colistin methanesulfonate began killing at approximately 90 or 30 min, and the mean AUC0-240 values were 186.3±6.0 and 90.4±4.1, respectively [2]. Besides, by investigation among mucoid and nonmucoid strains of Pseudomonas aeruginosa isolated from patients with cystic fibrosis, Colistin methanesulfonate was found to require a concentration of 16 times the MIC to achieve complete killing within 24 h [3].In Vivo: no data available.Clinical trial: no data available.
注意事项:
抗逆滴加序列
每次向板内滴加抗原时,移液器滴头要与平面45度悬空,不要触碰到孔内的液体,由后向前依次滴加(即浓度由低往高滴加)。
抗感染反应期
抗原抗体在室温20~25℃下,必须反应30min以上,若环境温度低于室温,可将微量反应板置于恒温培养箱中,使二者充分反应。
旅游温度
磷酸盐缓冲液的pH值要在高压灭菌后进行滴定,往往在高压后pH值会有所改变,所以高压后再调一次pH值更为准确。磷酸盐缓冲液一经使用保存期不要超过3周。当pH<5.8时,红细胞会产生自凝现象;当pH>7.8时,图形洗脱加快,易造成肉眼观察产生误差;p H=7.2时,红细胞沉降最充分,图形最清晰。
当滴注 1%红细胞悬液时,应经常摇晃红细胞悬液,使红细胞均匀地分布在磷酸缓冲液中,以防止红细胞下降。
反应时间及温度
加入鸡红血球之后,反应板在室温(20~25℃)静置30~40min,对照孔血球下沉于孔底,即可判定结果。若室温达不到实验要求,需相应调整反应时间。当环境温度低于4℃时,红细胞发生自凝;高于37℃时,会发生反应物分离和红细胞溶血。
使用方法:
1.本蛋白酶抑制剂混合物为100×的储存液,使用时按照1:100的比例加入到裂解液中(例如,1ml裂解液中加入10μl蛋白酶抑制剂混合物),混匀后即可使用。根据需要,0.5M的EDTA也按照1:100的比例加入到裂解液中(如用于检测金属蛋白酶活性,则不宜添加EDTA)。含有蛋白酶抑制剂混合物的裂解液宜现用现配,不宜配制后冻存待后续使用。
2. 待所需的抑制剂添加完毕混匀后,就可以开始进行哺乳动物组织的裂解和蛋白提取。
公司正在出售的产品:
| Fmoc-Cysteinol(Trt) | Sodium Channel inhibitor 1 |
| CGP 54626 hydrochloride | Casein Beta(CSN2)ELISA Kit |
| PSEM 89S | Casein Alpha(CSN1)ELISA Kit |
| L-(-)-threo-3-Hydroxyaspartic acid | Tyrosine Aminotransferase(TAT)ELISA Kit |
| Raxatrigine hydrochloride (GSK-1014802 hydrochloride) | Tyrosinase(TYR)ELISA Kit |
| L-Glutamic acid monosodium salt (Monosodium glutamate) | Tyrosine Kinase 2(Tyk2)ELISA Kit |
| 2,2,2-Trichloroethanol | Tyrosylprotein Sulfotransferase 2(TPST2)ELISA Kit |
| Lanicemine | VEGF 人血管内皮细胞生长因子ELISA检测试剂盒 |
| DHBP dibromide | Casein Kappa(CSN3)ELISA Kit |
| Tat-NR2B9c TFA | Casein Kinase 1 Delta(CSNK1d)ELISA Kit |
| TP 003 | Steroid 5 Alpha Reductase 2(SRD5a2)ELISA Kit |
| Rilmazafone hydrochloride (450191S) | Steroidogenic Acute Regulatory Protein(STAR)ELISA Kit |
| M 084 hydrochloride | Colistin Methanesulfonate (sodium salt)Steroid Sulfatase Isozyme S(STS)ELISA Kit |
| NSC 319726 | Steroidogenic Factor 1(SF1)ELISA Kit |
| Tryptase Gamma 1(TPSg1)ELISA Kit | Tryptase(TPS)ELISA Kit |
风险提示:丁香通仅作为第三方平台,为商家信息发布提供平台空间。用户咨询产品时请注意保护个人信息及财产安全,合理判断,谨慎选购商品,商家和用户对交易行为负责。对于医疗器械类产品,请先查证核实企业经营资质和医疗器械产品注册证情况。
文献和实验. In hood, add 50 ul EMS (ethyl methanesulfonate) (also have one control tube without EMS). Incubate on roller at 30 degrees for varying amounts of time, between 20 min. and one hour. 4. At each time point, add 8 ml sterile 5% sodium thiosulfate
amiodarone amitriptyline C amlodipine ammonium chloride caffeine amobarbital caffeine and sodium benzoate
C2C12 mouse muscle cells (plated 24 hr previous in 6‐well plates, 500,000 cells/well) Hank's balanced salt solution (HBSS
技术资料暂无技术资料 索取技术资料









