万千商家帮你免费找货
0 人在求购买到急需产品
- 详细信息
- 技术资料
- 库存:
27
- 英文名:
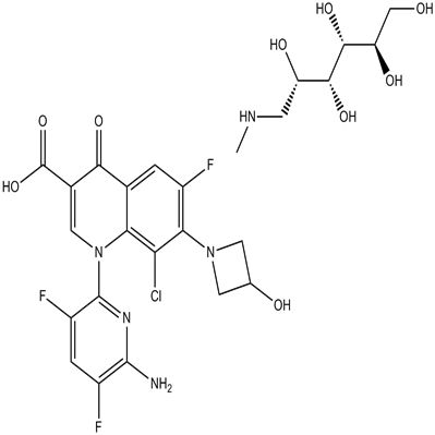
Delafloxacin meglumine
- CAS号:
352458-37-8
- 供应商:
上海莼试
- 保存条件:
Store at -20°C
- 规格:
5mg 10mg 50mg 200mg
使用方法:
1.本蛋白酶抑制剂混合物为100×的储存液,使用时按照1:100的比例加入到裂解液中(例如,1ml裂解液中加入10μl蛋白酶抑制剂混合物),混匀后即可使用。根据需要,0.5M的EDTA也按照1:100的比例加入到裂解液中(如用于检测金属蛋白酶活性,则不宜添加EDTA)。含有蛋白酶抑制剂混合物的裂解液宜现用现配,不宜配制后冻存待后续使用。
2. 待所需的抑制剂添加完毕混匀后,就可以开始进行哺乳动物组织的裂解和蛋白提取。
商品属性:
产品描述:
分子式:C25H29ClF3N5O9

分子量:635.97
溶解度:DMF: 0.50 mg/ml,DMSO: 10 mg/ml,PBS (pH 7.2): 10 mg/ml
储存条件:Store at -20°C
General tips:For obtaining a higher solubility , please warm the tube at 37 ℃ and shake it in the ultrasonic bath for a while.
Shipping Condition:Evaluation sample solution : ship with blue ice All other available size: ship with RT , or blue ice upon request
Description: IC50 Value: MICs ranging from 0.0078 to 0.125 micro g/ml for levofloxacin-resistant Streptococcus pneumoniae strains [1] ABT-492 was more potent against quinolone-susceptible and -resistant gram-positive organisms, had activity similar to that of ciprofloxacin against certain members of the family Enterobacteriaceae, and had comparable activity against quinolone-susceptible, nonfermentative, gram-negative organisms. in vitro: ABT-492 exhibited excellent in vitro activities against all 326 aerobic and anaerobic antral puncture sinus isolates tested with MICs (in micrograms per milliliter) at which 90% of the isolates tested were inhibited as follows: Haemophilus influenzae, 0.001; Moraxella catarrhalis, 0.008; and Streptococcus pneumoniae, 0.015 [2]. ABT-492 was as active as trovafloxacin against Chlamydia trachomatis, indicating good intracellular penetration and antibacterial activity [3]. in vivo: N/A Clinical trial: N/A
注意事项:
抗逆滴加序列
每次向板内滴加抗原时,移液器滴头要与平面45度悬空,不要触碰到孔内的液体,由后向前依次滴加(即浓度由低往高滴加)。
抗感染反应期
抗原抗体在室温20~25℃下,必须反应30min以上,若环境温度低于室温,可将微量反应板置于恒温培养箱中,使二者充分反应。
旅游温度
磷酸盐缓冲液的pH值要在高压灭菌后进行滴定,往往在高压后pH值会有所改变,所以高压后再调一次pH值更为准确。磷酸盐缓冲液一经使用保存期不要超过3周。当pH<5.8时,红细胞会产生自凝现象;当pH>7.8时,图形洗脱加快,易造成肉眼观察产生误差;p H=7.2时,红细胞沉降最充分,图形最清晰。
当滴注 1%红细胞悬液时,应经常摇晃红细胞悬液,使红细胞均匀地分布在磷酸缓冲液中,以防止红细胞下降。
反应时间及温度
加入鸡红血球之后,反应板在室温(20~25℃)静置30~40min,对照孔血球下沉于孔底,即可判定结果。若室温达不到实验要求,需相应调整反应时间。当环境温度低于4℃时,红细胞发生自凝;高于37℃时,会发生反应物分离和红细胞溶血。
公司正在出售的产品:
1.本蛋白酶抑制剂混合物为100×的储存液,使用时按照1:100的比例加入到裂解液中(例如,1ml裂解液中加入10μl蛋白酶抑制剂混合物),混匀后即可使用。根据需要,0.5M的EDTA也按照1:100的比例加入到裂解液中(如用于检测金属蛋白酶活性,则不宜添加EDTA)。含有蛋白酶抑制剂混合物的裂解液宜现用现配,不宜配制后冻存待后续使用。
2. 待所需的抑制剂添加完毕混匀后,就可以开始进行哺乳动物组织的裂解和蛋白提取。
商品属性:
| 货号 | CS-01Y72081 | 规格 | 5mg 10mg 50mg 200mg |
| CAS号 | 352458-37-8 | 分子量 | 635.97 |
| 含量 | >98.00% | 别名 | ABT492 meglumine;ABT 492 meglumine;ABT-492 meglumine |
| 分子式 | C25H29ClF3N5O9 | 化学名 | 1-(6-amino-3,5-difluoropyridin-2-yl)-8-chloro-6-fluoro-7-(3-hydroxyazetidin-1-yl)-4-oxoquinoline-3-carboxylic acid;(2R,3R,4R,5S)-6-(methylamino)hexane-1,2,3,4,5-pentol |
| 产地 | 国产 | 用途 | 仅供科研研究实验 |
分子式:C25H29ClF3N5O9

分子量:635.97
溶解度:DMF: 0.50 mg/ml,DMSO: 10 mg/ml,PBS (pH 7.2): 10 mg/ml
储存条件:Store at -20°C
General tips:For obtaining a higher solubility , please warm the tube at 37 ℃ and shake it in the ultrasonic bath for a while.
Shipping Condition:Evaluation sample solution : ship with blue ice All other available size: ship with RT , or blue ice upon request
Description: IC50 Value: MICs ranging from 0.0078 to 0.125 micro g/ml for levofloxacin-resistant Streptococcus pneumoniae strains [1] ABT-492 was more potent against quinolone-susceptible and -resistant gram-positive organisms, had activity similar to that of ciprofloxacin against certain members of the family Enterobacteriaceae, and had comparable activity against quinolone-susceptible, nonfermentative, gram-negative organisms. in vitro: ABT-492 exhibited excellent in vitro activities against all 326 aerobic and anaerobic antral puncture sinus isolates tested with MICs (in micrograms per milliliter) at which 90% of the isolates tested were inhibited as follows: Haemophilus influenzae, 0.001; Moraxella catarrhalis, 0.008; and Streptococcus pneumoniae, 0.015 [2]. ABT-492 was as active as trovafloxacin against Chlamydia trachomatis, indicating good intracellular penetration and antibacterial activity [3]. in vivo: N/A Clinical trial: N/A
注意事项:
抗逆滴加序列
每次向板内滴加抗原时,移液器滴头要与平面45度悬空,不要触碰到孔内的液体,由后向前依次滴加(即浓度由低往高滴加)。
抗感染反应期
抗原抗体在室温20~25℃下,必须反应30min以上,若环境温度低于室温,可将微量反应板置于恒温培养箱中,使二者充分反应。
旅游温度
磷酸盐缓冲液的pH值要在高压灭菌后进行滴定,往往在高压后pH值会有所改变,所以高压后再调一次pH值更为准确。磷酸盐缓冲液一经使用保存期不要超过3周。当pH<5.8时,红细胞会产生自凝现象;当pH>7.8时,图形洗脱加快,易造成肉眼观察产生误差;p H=7.2时,红细胞沉降最充分,图形最清晰。
当滴注 1%红细胞悬液时,应经常摇晃红细胞悬液,使红细胞均匀地分布在磷酸缓冲液中,以防止红细胞下降。
反应时间及温度
加入鸡红血球之后,反应板在室温(20~25℃)静置30~40min,对照孔血球下沉于孔底,即可判定结果。若室温达不到实验要求,需相应调整反应时间。当环境温度低于4℃时,红细胞发生自凝;高于37℃时,会发生反应物分离和红细胞溶血。
公司正在出售的产品:
| LX2343 | Omaveloxolone (RTA-408) |
| Diacetylcercosporin | versican/PG-M/PG-350 ELISA kit |
| Talampanel | dopachrome tautomerase,DT ELISA Kit |
| Harzianum A | dopamine-β-hydroxylase,DBH ELISA Kit |
| LYG-202 | dopamine decarboxylase,DDC ELISA Kit |
| Fosifloxuridine nafalbenamide | dopamine D2 receptor,D2R ELISA Kit |
| CAY10755 | Dopamine D1 receptor,D1R ELISA Kit |
| Mivebresib | 大鼠内皮抑素(ES)试剂盒 ELISA |
| Ciwujianoside-B | Poly ADP ribose polymerase,PARP ELISA Kit |
| Kibdelone C | Poly ADP ribose polymerase,PARP ELISA Kit |
| Mcl1-IN-11 | Poly Serium Antigen,PHSA ELISA Kit |
| Candesartan Cilexetil | polyimmunoglobulinreceptor,poly-IgR ELISA Kit |
| PD1-IN-2 | Delafloxacin megluminePeptide YY ELISA Kit |
| TP-0903 | DDOST ELISA Kit |
| multidrug resistance-associated protein,MRP ELISA Kit | pleiotrophin,PTN ELISA Kit |
风险提示:丁香通仅作为第三方平台,为商家信息发布提供平台空间。用户咨询产品时请注意保护个人信息及财产安全,合理判断,谨慎选购商品,商家和用户对交易行为负责。对于医疗器械类产品,请先查证核实企业经营资质和医疗器械产品注册证情况。
技术资料暂无技术资料 索取技术资料
Delafloxacin meglumine
¥600 - 3200








