万千商家帮你免费找货
0 人在求购买到急需产品
- 详细信息
- 技术资料
- 库存:
50
- 英文名:
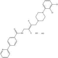
Bisindolylmaleimide IV
- CAS号:
119139-23-0
- 供应商:
上海莼试
- 保存条件:
Store at -20°C
- 规格:
1mg 5mg 10mg 25mg
商品属性:
产品描述:
分子式:C20H13N3O2

分子量:327.3
溶解度:≤20mg/ml in ethanol;20mg/ml in DMSO;20mg/ml in dimethyl formamide
储存条件:Store at -20°C
General tips:For obtaining a higher solubility , please warm the tube at 37 ℃ and shake it in the ultrasonic bath for a while.
Shipping Condition:Evaluation sample solution : ship with blue ice All other available size: ship with RT , or blue ice upon request
IC50: from 0.10 to 0.55 μMBisindolylmaleimide IV is a protein kinase C (PKC) inhibitor.The enzyme family protein kinase C2 (PKC) occupies a central role in the transduction of signals from a variety of mediators across the cell membrane.3 Receptor occupation by a number of hormones, cytokines, neurotransmitters, and growth factors results in activation of PKC via activation of phospholipase C through either a G protein mechanism or a tyrosine kinase mechanism. PKC then propagates the signal by phosphorylation of proteins on serine or threonine, with ATP as cosubstrate, resulting in modification of the properties of these proteins. Thus PKC appears to regulate mechanisms of cell proliferation, secretion, and gene expression.In vitro: Bisindolylmaleimide IV was identified as a cell permeable inhibitor of protein kinase C (PKC) with IC50 values from 0.10 to 0.55 μM. Bisindolylmaleimide IV was designed to be more discriminative than its parent compound staurosporine, the non-selective PKC inhibitor. In addition, Bisindolylmaleimide IV also found to be able to inhibit protein kinase A with IC50 values ranging from 2 to 11.8 μM [1, 2].In vivo: Animal study found that, in neonatal rats, high glucose levels could induce the hypertrophy of cardiomyocytes. Ro-31-8220, a analog of bisindolylmaleimide VIII, was able to reverse the effect of high glucose on the cardiac myocytes, which might be through PKC/NF-κB/c-Fos pathway [3].Clinical trial: So far, no clinical study has been conducted.
注意事项:
抗逆滴加序列
每次向板内滴加抗原时,移液器滴头要与平面45度悬空,不要触碰到孔内的液体,由后向前依次滴加(即浓度由低往高滴加)。
抗感染反应期
抗原抗体在室温20~25℃下,必须反应30min以上,若环境温度低于室温,可将微量反应板置于恒温培养箱中,使二者充分反应。
旅游温度
磷酸盐缓冲液的pH值要在高压灭菌后进行滴定,往往在高压后pH值会有所改变,所以高压后再调一次pH值更为准确。磷酸盐缓冲液一经使用保存期不要超过3周。当pH<5.8时,红细胞会产生自凝现象;当pH>7.8时,图形洗脱加快,易造成肉眼观察产生误差;p H=7.2时,红细胞沉降最充分,图形最清晰。
当滴注 1%红细胞悬液时,应经常摇晃红细胞悬液,使红细胞均匀地分布在磷酸缓冲液中,以防止红细胞下降。
反应时间及温度
加入鸡红血球之后,反应板在室温(20~25℃)静置30~40min,对照孔血球下沉于孔底,即可判定结果。若室温达不到实验要求,需相应调整反应时间。当环境温度低于4℃时,红细胞发生自凝;高于37℃时,会发生反应物分离和红细胞溶血。
使用方法:
1.本蛋白酶抑制剂混合物为100×的储存液,使用时按照1:100的比例加入到裂解液中(例如,1ml裂解液中加入10μl蛋白酶抑制剂混合物),混匀后即可使用。根据需要,0.5M的EDTA也按照1:100的比例加入到裂解液中(如用于检测金属蛋白酶活性,则不宜添加EDTA)。含有蛋白酶抑制剂混合物的裂解液宜现用现配,不宜配制后冻存待后续使用。
2. 待所需的抑制剂添加完毕混匀后,就可以开始进行哺乳动物组织的裂解和蛋白提取。
公司正在出售的产品:
| 货号 | CS-01Y71298 | 规格 | 1mg 5mg 10mg 25mg |
| CAS号 | 119139-23-0 | 分子量 | 327.3 |
| 含量 | >98.00% | 别名 | Arcyriarubin A,BIM IV |
| 分子式 | C20H13N3O2 | 化学名 | 3,4-di-1H-indol-3-yl-1H-pyrrole-2,5-dione |
| 产地 | 国产 | 用途 | 仅供科研研究实验 |
分子式:C20H13N3O2

分子量:327.3
溶解度:≤20mg/ml in ethanol;20mg/ml in DMSO;20mg/ml in dimethyl formamide
储存条件:Store at -20°C
General tips:For obtaining a higher solubility , please warm the tube at 37 ℃ and shake it in the ultrasonic bath for a while.
Shipping Condition:Evaluation sample solution : ship with blue ice All other available size: ship with RT , or blue ice upon request
IC50: from 0.10 to 0.55 μMBisindolylmaleimide IV is a protein kinase C (PKC) inhibitor.The enzyme family protein kinase C2 (PKC) occupies a central role in the transduction of signals from a variety of mediators across the cell membrane.3 Receptor occupation by a number of hormones, cytokines, neurotransmitters, and growth factors results in activation of PKC via activation of phospholipase C through either a G protein mechanism or a tyrosine kinase mechanism. PKC then propagates the signal by phosphorylation of proteins on serine or threonine, with ATP as cosubstrate, resulting in modification of the properties of these proteins. Thus PKC appears to regulate mechanisms of cell proliferation, secretion, and gene expression.In vitro: Bisindolylmaleimide IV was identified as a cell permeable inhibitor of protein kinase C (PKC) with IC50 values from 0.10 to 0.55 μM. Bisindolylmaleimide IV was designed to be more discriminative than its parent compound staurosporine, the non-selective PKC inhibitor. In addition, Bisindolylmaleimide IV also found to be able to inhibit protein kinase A with IC50 values ranging from 2 to 11.8 μM [1, 2].In vivo: Animal study found that, in neonatal rats, high glucose levels could induce the hypertrophy of cardiomyocytes. Ro-31-8220, a analog of bisindolylmaleimide VIII, was able to reverse the effect of high glucose on the cardiac myocytes, which might be through PKC/NF-κB/c-Fos pathway [3].Clinical trial: So far, no clinical study has been conducted.
注意事项:
抗逆滴加序列
每次向板内滴加抗原时,移液器滴头要与平面45度悬空,不要触碰到孔内的液体,由后向前依次滴加(即浓度由低往高滴加)。
抗感染反应期
抗原抗体在室温20~25℃下,必须反应30min以上,若环境温度低于室温,可将微量反应板置于恒温培养箱中,使二者充分反应。
旅游温度
磷酸盐缓冲液的pH值要在高压灭菌后进行滴定,往往在高压后pH值会有所改变,所以高压后再调一次pH值更为准确。磷酸盐缓冲液一经使用保存期不要超过3周。当pH<5.8时,红细胞会产生自凝现象;当pH>7.8时,图形洗脱加快,易造成肉眼观察产生误差;p H=7.2时,红细胞沉降最充分,图形最清晰。
当滴注 1%红细胞悬液时,应经常摇晃红细胞悬液,使红细胞均匀地分布在磷酸缓冲液中,以防止红细胞下降。
反应时间及温度
加入鸡红血球之后,反应板在室温(20~25℃)静置30~40min,对照孔血球下沉于孔底,即可判定结果。若室温达不到实验要求,需相应调整反应时间。当环境温度低于4℃时,红细胞发生自凝;高于37℃时,会发生反应物分离和红细胞溶血。
使用方法:
1.本蛋白酶抑制剂混合物为100×的储存液,使用时按照1:100的比例加入到裂解液中(例如,1ml裂解液中加入10μl蛋白酶抑制剂混合物),混匀后即可使用。根据需要,0.5M的EDTA也按照1:100的比例加入到裂解液中(如用于检测金属蛋白酶活性,则不宜添加EDTA)。含有蛋白酶抑制剂混合物的裂解液宜现用现配,不宜配制后冻存待后续使用。
2. 待所需的抑制剂添加完毕混匀后,就可以开始进行哺乳动物组织的裂解和蛋白提取。
公司正在出售的产品:
| PRX-08066 | Briciclib |
| Cytidine 3’-monophosphate | Rat Aldosterone ELISA Kit,Aldosterone,ALD |
| Cycloguanil D6 (Chlorguanide triazine D6) | Rat Ischemia modified albumin ELISA Kit,Ischemia modified albumin,IMA |
| FT827 | Rat carnitine-acylcarnitine translocase ELISA Kit,carnitine-acylcarnitine translocase,CACT |
| CDK ligand for PROTAC hydrochloride | Rat Chorionic Gonadotrophin β ELISA Kit,Chorionic Gonadotrophin β,β-HCG |
| LEE011 succinate | Rat Lactate Dehydrogenase ELISA Kit,Lactate Dehydrogenase,LDH |
| Estradiol valerate | Rat cartilage oligomeric matrix protein ELISA Kit,cartilage oligomeric matrix protein,CO |
| PPT | 人抗IVIgG抗ELISA检测试剂盒 |
| Pentanoic Acid-d9 | Rat Noradrenaline ELISA Kit,Noradrenaline,NE |
| JDTic 2HCl | Rat hydroxyproline ELISA Kit,hydroxyproline,Hyp |
| Aspochalasin M | Rat HMG-CoA reductase ELISA Kit,HMG-CoA reductase,HMGR |
| L-Selenocystine | Rat HMG-CoA ELISA Kit,HMG-CoA,HMG-CoA |
| DSLET | Bisindolylmaleimide IVRat prostate specific antigen ELISA Kit,prostate specific antigen,PSA |
| RuBi-4AP | Rat Prostaglandin H2 ELISA Kit,Prostaglandin H2,PGH2 |
| Rat Prostaglandin E2 ELISA Kit,Prostaglandin E2,PGE2 | Rat Prostaglandin F2α ELISA Kit,Prostaglandin F2α,PGF2α |
风险提示:丁香通仅作为第三方平台,为商家信息发布提供平台空间。用户咨询产品时请注意保护个人信息及财产安全,合理判断,谨慎选购商品,商家和用户对交易行为负责。对于医疗器械类产品,请先查证核实企业经营资质和医疗器械产品注册证情况。
技术资料暂无技术资料 索取技术资料
Bisindolylmaleimide IV
¥600








