相关产品推荐更多 >
万千商家帮你免费找货
0 人在求购买到急需产品
- 详细信息
- 文献和实验
- 技术资料
- 库存:
57
- 英文名:
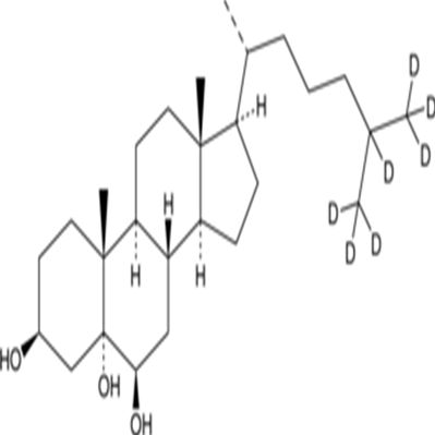
5α,6β-Dihydroxycholestanol-d7
- CAS号:
127684-07-5
- 供应商:
上海莼试
- 保存条件:
Store at -20°C
- 规格:
500 μg 1 mg
| 货号 | CS-01Y75663 | 规格 | 500 μg 1 mg |
| CAS号 | 127684-07-5 | 分子量 | 427.7 |
| 含量 | >99.00% | 别名 | N/A |
| 分子式 | C27H41D7O3 | 化学名 | N/A |
| 产地 | 国产 | 用途 | 仅供科研研究实验 |
分子式:C27H41D7O3
分子量:427.7
溶解度:Methanol: Slightly Soluble
储存条件:Store at -20°C
General tips:For obtaining a higher solubility , please warm the tube at 37 ℃ and shake it in the ultrasonic bath for a while.
Shipping Condition:Evaluation sample solution : ship with blue ice All other available size: ship with RT , or blue ice upon request
5α,6β-Dihydroxycholestanol-d7 is intended for use as an internal standard for the quantification of 5α,6β-dihydroxycholestanol by GC- or LC-MS. 5α,6β-Dihydroxycholestanol is an oxysterol metabolite of cholesterol formed from conversion of cholesterol epoxides by 5,6-epoxysterol hydrolase.1,2 It inhibits NMDA-mediated calcium influx in HEK293 cells expressing NR1/NR2B NMDA receptors in a concentration-dependent manner. It also binds to voltage-gated sodium (Nav) channels and decreases action potentials in hippocampal neurons in vitro when used at a concentration of 10 µM.2 It increases survival of spinal cord motoneurons, cortical neurons, and cerebellar granule neurons in vitro when used at concentrations ranging from 5 to 15 µM.3 5α,6β-Dihydroxycholestanol is neuroprotective in a rat model of cerebral ischemia when administered at a dose of 12 mg/kg and increases latency to seizure onset and reduces severity of seizures induced by pentylenetetrazole in rats. 5α,6β-Dihydroxycholestanol has been used as a replacement for cholesterol in the study of cholesterol binding proteins.41.Aringer, L., and Eneroth, P.Formation and metabolism in vitro of 5,6-epoxides of cholesterol and β-sitosterolJ. Lipid Res.15(4)389-398(1974) 2.Tang, L., Yan, M., Leng, T., et al.Cholestane-3β, 5α, 6β-triol suppresses neuronal hyperexcitability via binding to voltage-gated sodium channelsBiochem. Biophys. Res. Commun.496(1)95-100(2018) 3.Hu, H., Zhou, Y., Leng, T., et al.The major cholesterol metabolite cholestane-3β,5α,6β-triol functions as an endogenous neuroprotectantJ. Neurosci.34(34)11426-11438(2014) 4.Sheng, R., Kim, H., Lee, H., et al.Cholesterol selectively activates 我们
注意事项:
抗逆滴加序列
每次向板内滴加抗原时,移液器滴头要与平面45度悬空,不要触碰到孔内的液体,由后向前依次滴加(即浓度由低往高滴加)。
抗感染反应期
抗原抗体在室温20~25℃下,必须反应30min以上,若环境温度低于室温,可将微量反应板置于恒温培养箱中,使二者充分反应。
旅游温度
磷酸盐缓冲液的pH值要在高压灭菌后进行滴定,往往在高压后pH值会有所改变,所以高压后再调一次pH值更为准确。磷酸盐缓冲液一经使用保存期不要超过3周。当pH<5.8时,红细胞会产生自凝现象;当pH>7.8时,图形洗脱加快,易造成肉眼观察产生误差;p H=7.2时,红细胞沉降最充分,图形最清晰。
当滴注 1%红细胞悬液时,应经常摇晃红细胞悬液,使红细胞均匀地分布在磷酸缓冲液中,以防止红细胞下降。
反应时间及温度
加入鸡红血球之后,反应板在室温(20~25℃)静置30~40min,对照孔血球下沉于孔底,即可判定结果。若室温达不到实验要求,需相应调整反应时间。当环境温度低于4℃时,红细胞发生自凝;高于37℃时,会发生反应物分离和红细胞溶血。
使用方法:
1.本蛋白酶抑制剂混合物为100×的储存液,使用时按照1:100的比例加入到裂解液中(例如,1ml裂解液中加入10μl蛋白酶抑制剂混合物),混匀后即可使用。根据需要,0.5M的EDTA也按照1:100的比例加入到裂解液中(如用于检测金属蛋白酶活性,则不宜添加EDTA)。含有蛋白酶抑制剂混合物的裂解液宜现用现配,不宜配制后冻存待后续使用。
2. 待所需的抑制剂添加完毕混匀后,就可以开始进行哺乳动物组织的裂解和蛋白提取。
公司正在出售的产品:
| (Tyr⁰)-Atriopeptin II (rat) | FERb 033 |
| Dasatinib D8 | 结肠癌抗原(CCA)检测试剂盒 |
| SCH772984 TFA | 窖蛋白(Cav-1)检测试剂盒 |
| IQ 3 | 角化细胞内分泌因子(KAF)/双调蛋白(AR)检测试剂盒 |
| Refametinib R enantiomer | 角化细胞生长因子(KGF)检测试剂盒 |
| H 89 2HCl | 胶转蛋白(TAGLN)检测试剂盒 |
| CC-401 | 胶质纤维酸性蛋白(GFAP)检测试剂盒 |
| BIX 02189 | Rat soluble Toll-like receptor 2, sTLR-2 Elisa Kit |
| SD 0006 | 结缔组织活化肽Ⅲ(CTAPⅢ)检测试剂盒 |
| BGB-283 | 结缔组织生长因子(CTGF)检测试剂盒 |
| RO5126766(CH5126766) | 结合珠蛋白(HPT)检测试剂盒 |
| PD 169316 | 结合珠蛋白/触珠蛋白(Hpt/HP)检测试剂盒 |
| AS 602801 | 5α,6β-Dihydroxycholestanol-d7结核杆(TB)抗(IgA)检测试剂盒 |
| Benzethonium Chloride | 结核杆抗IgG(TB-Ab IgG)检测试剂盒 |
| 睫状神经营养因子(CNTF)检测试剂盒 | 结核杆抗IgM(TB-Ab IgM)检测试剂盒 |
风险提示:丁香通仅作为第三方平台,为商家信息发布提供平台空间。用户咨询产品时请注意保护个人信息及财产安全,合理判断,谨慎选购商品,商家和用户对交易行为负责。对于医疗器械类产品,请先查证核实企业经营资质和医疗器械产品注册证情况。
文献和实验一光年 最近要做生殖的细胞方面的实验,前期一直用在垂体细胞原代培养,但是一直困扰没有促性腺激素细胞系,但是在网络中搜索,发现老外的文章中经常提到αT3-1,LβT2 或LβT4细胞系,在ATCC等知名的细胞库也未发现这些细胞系,不知道各位高手指点在哪里可以找到这几种细胞系?不甚感激!! veimojie 我一直也在做这方面的研究 什么地方能有啊 ? banana_smile 我也想做这方
药用肾上腺素可从家畜肾上腺提取,或人工合成。理化性质与NA相似。 【体内过程】口服后在碱性肠液及肠粘膜和肝内破坏,吸收很少,不能达到有效血药浓度。皮下注射因能收缩血管,故吸收缓慢。肌内注射的吸收远较皮下注射为快。肾上腺素在体内的摄取与代谢途径与去甲肾上腺素相似(图10-2)。肌内注射作用维持约10~30分钟,皮下注射作用维持1小时左右。 【药理作用】肾上腺素能激动α和β两类受体,产生较强的α型和β型作用。 1. 心脏 作用于心肌、传导系统和窦房结的β
BCR Ig α/Ig β复合物 B细胞抗原受体(BCR)为膜型免疫球蛋白(mlg)。初始B细胞的BCR为mlgM和mlgD,活化和记忆B细胞则关闭mlgD的表达。一个B细胞可表达104 一l05 个mlg分子。 mlg与抗体在蛋白结构上基本相同,远膜端为分列的两个抗原结合部位,不同之处是多了跨膜区和极短的胞内部分。人mlg的跨膜区有两个高度保守的序列TAST和YSTTVT。前者与Ig从内质网运送到细胞表面并锚定在细胞
技术资料暂无技术资料 索取技术资料









