相关产品推荐更多 >
万千商家帮你免费找货
0 人在求购买到急需产品
- 详细信息
- 文献和实验
- 技术资料
- 库存:
25
- 英文名:
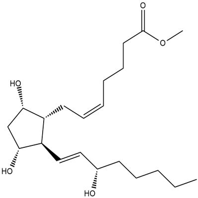
Prostaglandin F2α methyl ester
- CAS号:
33854-16-9
- 供应商:
上海莼试
- 保存条件:
Store at -20°C
- 规格:
500μg 1mg 5mg 10mg
| 货号 | CS-01Y77146 | 规格 | 500μg 1mg 5mg 10mg |
| CAS号 | 33854-16-9 | 分子量 | 368.5 |
| 含量 | >98.00% | 别名 | N/A |
| 分子式 | C21H36O5 | 化学名 | 9α,11α,15S-trihydroxy-prosta-5Z,13E-dien-1-oic acid, methyl ester |
| 产地 | 国产 | 用途 | 仅供科研研究实验 |
分子式:C21H36O5
分子量:368.5
溶解度:DMF: 35 mg/ml,DMSO: 35 mg/ml,Ethanol: 50 mg/ml,Ethanol:PBS (pH 7.2) (1:4): 0.4 mg/ml
储存条件:Store at -20°C
General tips:For obtaining a higher solubility , please warm the tube at 37 ℃ and shake it in the ultrasonic bath for a while.
Shipping Condition:Evaluation sample solution : ship with blue ice All other available size: ship with RT , or blue ice upon request
Prostaglandin F2α methyl ester (PGF2α methyl ester) is an analog of PGF2α in which the C-1 carboxyl group has been esterified as the methyl ester. PGF2α methyl ester was one of the first PG esters shown to have ocular hypotensive activity. This compound continues to be a standard by which other ocular hypotensive PG prodrugs are evaluated. The methyl ester is about 4-5 times more potent than the free acid, PGF2α. This difference is attributed to improved corneal penetration, and a depot effect of prolonged retention of the ester form of the compound in ocular tissue. A 2.5 ug dose of PGF2α-OMe applied to the eyes of cats results in a 6-8 mm Hg reduction in IOP.
注意事项:
抗逆滴加序列
每次向板内滴加抗原时,移液器滴头要与平面45度悬空,不要触碰到孔内的液体,由后向前依次滴加(即浓度由低往高滴加)。
抗感染反应期
抗原抗体在室温20~25℃下,必须反应30min以上,若环境温度低于室温,可将微量反应板置于恒温培养箱中,使二者充分反应。
旅游温度
磷酸盐缓冲液的pH值要在高压灭菌后进行滴定,往往在高压后pH值会有所改变,所以高压后再调一次pH值更为准确。磷酸盐缓冲液一经使用保存期不要超过3周。当pH<5.8时,红细胞会产生自凝现象;当pH>7.8时,图形洗脱加快,易造成肉眼观察产生误差;p H=7.2时,红细胞沉降最充分,图形最清晰。
当滴注 1%红细胞悬液时,应经常摇晃红细胞悬液,使红细胞均匀地分布在磷酸缓冲液中,以防止红细胞下降。
反应时间及温度
加入鸡红血球之后,反应板在室温(20~25℃)静置30~40min,对照孔血球下沉于孔底,即可判定结果。若室温达不到实验要求,需相应调整反应时间。当环境温度低于4℃时,红细胞发生自凝;高于37℃时,会发生反应物分离和红细胞溶血。
使用方法:
1.本蛋白酶抑制剂混合物为100×的储存液,使用时按照1:100的比例加入到裂解液中(例如,1ml裂解液中加入10μl蛋白酶抑制剂混合物),混匀后即可使用。根据需要,0.5M的EDTA也按照1:100的比例加入到裂解液中(如用于检测金属蛋白酶活性,则不宜添加EDTA)。含有蛋白酶抑制剂混合物的裂解液宜现用现配,不宜配制后冻存待后续使用。
2. 待所需的抑制剂添加完毕混匀后,就可以开始进行哺乳动物组织的裂解和蛋白提取。
公司正在出售的产品:
| Fmoc-Asp-OtBu | AN2718 |
| Lomefloxacin HCl | 轮状抗原(RV Ag)检测试剂盒 |
| ABT-072 | 轮状(RV)IgM检测试剂盒 |
| Resistomycin | 卵清蛋白特异性IgE(OVA sIgE)检测试剂盒 |
| Rimantadine | 卵清蛋白特异性IgG(OVA sIgG)检测试剂盒 |
| Pyrantel tartrate | 卵清白蛋白检测试剂盒 |
| BKI-1369 | 卵泡抑素(FS)检测试剂盒 |
| AT-527 | Mouse monocyte chemotactic protein 4, MCP-4 Elisa Kit |
| FSL-1 | 螺旋肽(THP)检测试剂盒 |
| Bonducellpin D | 络氨酸酶(TYR)检测试剂盒 |
| Eltenac | 落叶型天疱疮抗(PF)检测试剂盒 |
| Vesnarinone (OPC-8212) | 绿脓杆外毒素A(PEA)检测试剂盒 |
| (-)-FINO2 | Prostaglandin F2α methyl ester氯离子胞内通道蛋白4(CLIC4)检测试剂盒 |
| Leelamine | 麻疹(MV)检测试剂盒 |
| 麦考酚酸(MPA)检测试剂盒 | 麻疹IgM(MV IgM)检测试剂盒 |
风险提示:丁香通仅作为第三方平台,为商家信息发布提供平台空间。用户咨询产品时请注意保护个人信息及财产安全,合理判断,谨慎选购商品,商家和用户对交易行为负责。对于医疗器械类产品,请先查证核实企业经营资质和医疗器械产品注册证情况。
文献和实验, benzoylecgonine-d3, ecgonine methyl ester-d3, and cocaethylene-d3 and buffered with phosphate buffer. The drugs in the sample are extracted by cation-exchange solid phase extraction. The drugs from the solid phase cartridge are eluted and the eluent is dried
useful properties of full phosphoproteins. However, such pTyr-containing peptides have limited use in whole-cell systems resulting from lability of the phosphate ester bond to protein-tyrosine phosphatases (PTPs). For this reason, a number of phosphatase
-inflammatory drugs such as diclofenac did not only suppress the prostaglandin but also the F2 -IsoP pathway. Microdialysis allows the “near-in vivo” measurement of prostanoid mediators, released in the interstitial space of the dermis under inflammatory
技术资料暂无技术资料 索取技术资料









