相关产品推荐更多 >
万千商家帮你免费找货
0 人在求购买到急需产品
- 详细信息
- 文献和实验
- 技术资料
- 库存:
30
- 英文名:
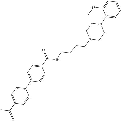
GR 103691
- CAS号:
162408-66-4
- 供应商:
上海莼试
- 保存条件:
Store at RT
- 规格:
10mg 50mg
| 货号 | CS-01Y76632 | 规格 | 10mg 50mg |
| CAS号 | 162408-66-4 | 分子量 | 485.63 |
| 含量 | >99.50% | 别名 | |
| 分子式 | C30H35N3O3 | 化学名 | 4'-acetyl-N-(4-(4-(2-methoxyphenyl)piperazin-1-yl)butyl)-[1,1'-biphenyl]-4-carboxamide |
| 产地 | 国产 | 用途 | 仅供科研研究实验 |
分子式:C30H35N3O3
分子量:485.63
溶解度:Soluble in DMSO > 10 mM
储存条件:Store at RT
General tips:For obtaining a higher solubility , please warm the tube at 37 ℃ and shake it in the ultrasonic bath for a while.
Shipping Condition:Evaluation sample solution : ship with blue ice All other available size: ship with RT , or blue ice upon request
注意事项:
抗逆滴加序列
每次向板内滴加抗原时,移液器滴头要与平面45度悬空,不要触碰到孔内的液体,由后向前依次滴加(即浓度由低往高滴加)。
抗感染反应期
抗原抗体在室温20~25℃下,必须反应30min以上,若环境温度低于室温,可将微量反应板置于恒温培养箱中,使二者充分反应。
旅游温度
磷酸盐缓冲液的pH值要在高压灭菌后进行滴定,往往在高压后pH值会有所改变,所以高压后再调一次pH值更为准确。磷酸盐缓冲液一经使用保存期不要超过3周。当pH<5.8时,红细胞会产生自凝现象;当pH>7.8时,图形洗脱加快,易造成肉眼观察产生误差;p H=7.2时,红细胞沉降最充分,图形最清晰。
当滴注 1%红细胞悬液时,应经常摇晃红细胞悬液,使红细胞均匀地分布在磷酸缓冲液中,以防止红细胞下降。
反应时间及温度
加入鸡红血球之后,反应板在室温(20~25℃)静置30~40min,对照孔血球下沉于孔底,即可判定结果。若室温达不到实验要求,需相应调整反应时间。当环境温度低于4℃时,红细胞发生自凝;高于37℃时,会发生反应物分离和红细胞溶血。
使用方法:
1.本蛋白酶抑制剂混合物为100×的储存液,使用时按照1:100的比例加入到裂解液中(例如,1ml裂解液中加入10μl蛋白酶抑制剂混合物),混匀后即可使用。根据需要,0.5M的EDTA也按照1:100的比例加入到裂解液中(如用于检测金属蛋白酶活性,则不宜添加EDTA)。含有蛋白酶抑制剂混合物的裂解液宜现用现配,不宜配制后冻存待后续使用。
2. 待所需的抑制剂添加完毕混匀后,就可以开始进行哺乳动物组织的裂解和蛋白提取。
公司正在出售的产品:
| 4-Biphenylac-Cys(Me)-D-Arg-Phe-(2-phenylethyl)amide | dBET1 |
| dBET57 | 溶质载家族26成员4(SLC26A4)ELISA试剂盒 |
| dBET6 | 溶质载家族1成员5(SLC1A5)ELISA试剂盒 |
| DBO-83 | 溶质载家族16成员1(SLC16A1)ELISA试剂盒 |
| DBPR108 | 溶质载家族16成员3(SLC16A3)ELISA试剂盒 |
| DBU | 溶血卵磷脂酰基转移酶4(LPCAT4)ELISA试剂盒 |
| DC_517 | 溶血卵磷脂酰基转移酶3(LPCAT3)ELISA试剂盒 |
| DC_AC50 | 溶血卵磷脂酰基转移酶2(LPCAT2)ELISA试剂盒 |
| DC_C66 | 溶质载家族30成员8(SLC30A8)ELISA试剂盒 |
| DC-05 | 溶质载家族39成员6(SLC39A6)ELISA试剂盒 |
| DCA | 溶质载家族3成员2(SLC3A2)ELISA试剂盒 |
| D-Carnitine | 融合蛋白(FUS)ELISA试剂盒 |
| DCBA | GR 103691肉毒碱-O-甲基转移酶(CORT)ELISA试剂盒 |
| Phthalylsulfathiazole (N4-Phthalylsulfathiazole) | 肉毒碱乙酰转移酶(CRAT)ELISA试剂盒 |
| 人LIM半胱氨酸丰富域蛋白1ELISA试剂盒 | 肉毒碱转运蛋白2(CT2)ELISA试剂盒 |
风险提示:丁香通仅作为第三方平台,为商家信息发布提供平台空间。用户咨询产品时请注意保护个人信息及财产安全,合理判断,谨慎选购商品,商家和用户对交易行为负责。对于医疗器械类产品,请先查证核实企业经营资质和医疗器械产品注册证情况。
文献和实验大鼠 谷胱甘肽还原酶(GR )酶联免疫分析(ELISA) 试剂盒使用说明书 本试剂仅供研究使用 目的:本试剂盒用于测定大鼠血清,血浆及相关液体样本中 谷胱甘肽还原酶(GR ) 的活性。 实验原理: 本试剂盒应用双抗体夹心法测定标本中 大鼠 谷胱甘肽还原酶(GR ) 水平。用纯化的 大鼠 谷胱甘肽还原酶(GR ) 抗体 包被微孔板,制成固相抗体,往包被单抗的微孔中依次加入 谷胱甘肽还原酶(GR
Analyzing the Angiogenic Potential of Gr-1+CD11b+ Immature Myeloid Cells from Murine Wounds
healing, the most prominent subtypes are Gr-1+ CD11b+ cells that consist of progenitor cells and more differentiated granulocytes. Under certain conditions, these cells have the potential to strongly promote angiogenesis, and thus tissue repair
上海西唐生物科技有限公司 021-55229872, 65333639 www.westang.com 人糖皮质激素受体 a (GR- a )ELISA 试剂盒 ( 用于血清、血浆、细胞培养上清液和其它生物体液内 ) 原理 本实验采用双抗体夹心 ABC-ELISA 法。用抗人 GR- a 单抗包被于酶标板上,标准品和样品中的 GR- a 与单抗结合,加入生物
技术资料暂无技术资料 索取技术资料









