相关产品推荐更多 >
万千商家帮你免费找货
0 人在求购买到急需产品
- 详细信息
- 技术资料
- 库存:
42
- 英文名:
Boceprevir
- CAS号:
394730-60-0
- 供应商:
上海莼试
- 保存条件:
Store at -20°C, protect from light, stored under nitrogen
- 规格:
5mg 10mg 25mg 100mg
商品属性:
产品描述:
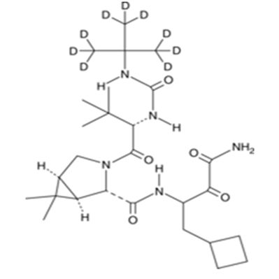
分子式:C27H45N5O5
分子量:519.68
溶解度:≥ 25.98 mg/mL in DMSO, ≥ 89.8 mg/mL in EtOH
储存条件:Store at -20°C, protect from light, stored under nitrogen
General tips:For obtaining a higher solubility , please warm the tube at 37 ℃ and shake it in the ultrasonic bath for a while.
Shipping Condition:Evaluation sample solution : ship with blue ice All other available size: ship with RT , or blue ice upon request
Boceprevir is a potent and selective inhibitor of hepatitis C virus (HCV) protease NS3 with Ki value of 14 nM [1].HCV is a type of RNA virus and infects about 300 million people worldwide. As a serine protease of HCV, NS3 plays an important role in the replication process of HCV when the virus enters the host cell. NS3 processes the polyprotein translated from the virus RNA genome and promotes the maturation of the virus. NS3 is also found to restore the interferon-sensitive signaling pathway. Due to these features, NS3 is thought to be the appropriate target for the therapy of antivirus. The SAR studies led to the discovery of boceprevir (also named as SCH 503034). Boceprevir has a ketoamide group, it binds NS3 and forms a covalent and reversible adduct with the active site serine [1, 2 and 3].In the cell-based replicon assay using hepatocytes, boceprevir showed improved potency than other derivatives with IC90 value of 350 nM. The selectivity of boceprevir was tested by binding to human neutrophil elastase which had similar structure with NS3. Boceprevir exerted a great selectivity with a HNE/HCV ratio of 2200. It is approximately 15-fold more selective than the corresponding carbamate derivative. In MTS assay, the compound showed no significant cytotoxicity even when its concentration was up to 50 μM [1].Boceprevir is an orally bioavailable inhibitor of HCV NS3 protease. In rats, oral administration of boceprevir showed AUC value of 1.5 μM?H and bioavailability of 26%. In dogs, boceprevir demonstrated a 30% bioavailability with AUC value of 3.1μM?H at a dose of 3 mg/kg. Boceprevir was also used as a combination therapy with the pegylated interferon (PEG-IFN-α-2B). It was found that the combination showed at least addictive potency compared with each one alone [1, 2].References:1.Venkatraman S, Bogen S L, Arasappan A, et al. Discovery of (1 R, 5 S)-N-[3-Amino-1-(cyclobutylmethyl)-2, 3-dioxopropyl]-3-[2 (S)-[[[(1, 1-dimethylethyl) amino] carbonyl] amino]-3, 3-dimethyl-1-oxobutyl]-6, 6-dimethyl-3-azabicyclo [3.1. 0] hexan-2 (S)-carboxamide (SCH 503034), a Selective, Potent, Orally Bioavailable Hepatitis C Virus NS3 Protease Inhibitor: A Potential Therapeutic Agent for the Treatment of Hepatitis C Infection. Journal of medicinal chemistry, 2006, 49(20): 6074-6086.2.Sarrazin C, Rouzier R, Wagner F, et al. SCH 503034, a novel hepatitis C virus protease inhibitor, plus pegylated interferon α-2b for genotype 1 nonresponders. Gastroenterology, 2007, 132(4): 1270-1278.3.Flores M V, Strawbridge J, Ciaramella G, et al. HCV-NS3 inhibitors: determination of their kinetic parameters and mechanism. Biochimica et Biophysica Acta (BBA)-Proteins and Proteomics, 2009, 1794(10): 1441-1448.
注意事项:
抗逆滴加序列
每次向板内滴加抗原时,移液器滴头要与平面45度悬空,不要触碰到孔内的液体,由后向前依次滴加(即浓度由低往高滴加)。
抗感染反应期
抗原抗体在室温20~25℃下,必须反应30min以上,若环境温度低于室温,可将微量反应板置于恒温培养箱中,使二者充分反应。
旅游温度
磷酸盐缓冲液的pH值要在高压灭菌后进行滴定,往往在高压后pH值会有所改变,所以高压后再调一次pH值更为准确。磷酸盐缓冲液一经使用保存期不要超过3周。当pH<5.8时,红细胞会产生自凝现象;当pH>7.8时,图形洗脱加快,易造成肉眼观察产生误差;p H=7.2时,红细胞沉降最充分,图形最清晰。
当滴注 1%红细胞悬液时,应经常摇晃红细胞悬液,使红细胞均匀地分布在磷酸缓冲液中,以防止红细胞下降。
反应时间及温度
加入鸡红血球之后,反应板在室温(20~25℃)静置30~40min,对照孔血球下沉于孔底,即可判定结果。若室温达不到实验要求,需相应调整反应时间。当环境温度低于4℃时,红细胞发生自凝;高于37℃时,会发生反应物分离和红细胞溶血。
使用方法:
1.本蛋白酶抑制剂混合物为100×的储存液,使用时按照1:100的比例加入到裂解液中(例如,1ml裂解液中加入10μl蛋白酶抑制剂混合物),混匀后即可使用。根据需要,0.5M的EDTA也按照1:100的比例加入到裂解液中(如用于检测金属蛋白酶活性,则不宜添加EDTA)。含有蛋白酶抑制剂混合物的裂解液宜现用现配,不宜配制后冻存待后续使用。
2. 待所需的抑制剂添加完毕混匀后,就可以开始进行哺乳动物组织的裂解和蛋白提取。
公司正在出售的产品:
| 货号 | CS-01Y63983 | 规格 | 5mg 10mg 25mg 100mg |
| CAS号 | 394730-60-0 | 分子量 | 519.68 |
| 含量 | >98.00% | 别名 | Boceprevir ,EBP 520;SCH 503034;EBP-520;EBP520;SCH-503034;SCH503034 |
| 分子式 | C27H45N5O5 | 化学名 | (1R,2S,5S)-N-(4-amino-1-cyclobutyl-3,4-dioxobutan-2-yl)-3-[(2S)-2-(tert-butylcarbamoylamino)-3,3-dimethylbutanoyl]-6,6-dimethyl-3-azabicyclo[3.1.0]hexane-2-carboxamide |
| 产地 | 国产 | 用途 | 仅供科研研究实验 |
分子式:C27H45N5O5
分子量:519.68
溶解度:≥ 25.98 mg/mL in DMSO, ≥ 89.8 mg/mL in EtOH
储存条件:Store at -20°C, protect from light, stored under nitrogen
General tips:For obtaining a higher solubility , please warm the tube at 37 ℃ and shake it in the ultrasonic bath for a while.
Shipping Condition:Evaluation sample solution : ship with blue ice All other available size: ship with RT , or blue ice upon request
Boceprevir is a potent and selective inhibitor of hepatitis C virus (HCV) protease NS3 with Ki value of 14 nM [1].HCV is a type of RNA virus and infects about 300 million people worldwide. As a serine protease of HCV, NS3 plays an important role in the replication process of HCV when the virus enters the host cell. NS3 processes the polyprotein translated from the virus RNA genome and promotes the maturation of the virus. NS3 is also found to restore the interferon-sensitive signaling pathway. Due to these features, NS3 is thought to be the appropriate target for the therapy of antivirus. The SAR studies led to the discovery of boceprevir (also named as SCH 503034). Boceprevir has a ketoamide group, it binds NS3 and forms a covalent and reversible adduct with the active site serine [1, 2 and 3].In the cell-based replicon assay using hepatocytes, boceprevir showed improved potency than other derivatives with IC90 value of 350 nM. The selectivity of boceprevir was tested by binding to human neutrophil elastase which had similar structure with NS3. Boceprevir exerted a great selectivity with a HNE/HCV ratio of 2200. It is approximately 15-fold more selective than the corresponding carbamate derivative. In MTS assay, the compound showed no significant cytotoxicity even when its concentration was up to 50 μM [1].Boceprevir is an orally bioavailable inhibitor of HCV NS3 protease. In rats, oral administration of boceprevir showed AUC value of 1.5 μM?H and bioavailability of 26%. In dogs, boceprevir demonstrated a 30% bioavailability with AUC value of 3.1μM?H at a dose of 3 mg/kg. Boceprevir was also used as a combination therapy with the pegylated interferon (PEG-IFN-α-2B). It was found that the combination showed at least addictive potency compared with each one alone [1, 2].References:1.Venkatraman S, Bogen S L, Arasappan A, et al. Discovery of (1 R, 5 S)-N-[3-Amino-1-(cyclobutylmethyl)-2, 3-dioxopropyl]-3-[2 (S)-[[[(1, 1-dimethylethyl) amino] carbonyl] amino]-3, 3-dimethyl-1-oxobutyl]-6, 6-dimethyl-3-azabicyclo [3.1. 0] hexan-2 (S)-carboxamide (SCH 503034), a Selective, Potent, Orally Bioavailable Hepatitis C Virus NS3 Protease Inhibitor: A Potential Therapeutic Agent for the Treatment of Hepatitis C Infection. Journal of medicinal chemistry, 2006, 49(20): 6074-6086.2.Sarrazin C, Rouzier R, Wagner F, et al. SCH 503034, a novel hepatitis C virus protease inhibitor, plus pegylated interferon α-2b for genotype 1 nonresponders. Gastroenterology, 2007, 132(4): 1270-1278.3.Flores M V, Strawbridge J, Ciaramella G, et al. HCV-NS3 inhibitors: determination of their kinetic parameters and mechanism. Biochimica et Biophysica Acta (BBA)-Proteins and Proteomics, 2009, 1794(10): 1441-1448.
注意事项:
抗逆滴加序列
每次向板内滴加抗原时,移液器滴头要与平面45度悬空,不要触碰到孔内的液体,由后向前依次滴加(即浓度由低往高滴加)。
抗感染反应期
抗原抗体在室温20~25℃下,必须反应30min以上,若环境温度低于室温,可将微量反应板置于恒温培养箱中,使二者充分反应。
旅游温度
磷酸盐缓冲液的pH值要在高压灭菌后进行滴定,往往在高压后pH值会有所改变,所以高压后再调一次pH值更为准确。磷酸盐缓冲液一经使用保存期不要超过3周。当pH<5.8时,红细胞会产生自凝现象;当pH>7.8时,图形洗脱加快,易造成肉眼观察产生误差;p H=7.2时,红细胞沉降最充分,图形最清晰。
当滴注 1%红细胞悬液时,应经常摇晃红细胞悬液,使红细胞均匀地分布在磷酸缓冲液中,以防止红细胞下降。
反应时间及温度
加入鸡红血球之后,反应板在室温(20~25℃)静置30~40min,对照孔血球下沉于孔底,即可判定结果。若室温达不到实验要求,需相应调整反应时间。当环境温度低于4℃时,红细胞发生自凝;高于37℃时,会发生反应物分离和红细胞溶血。
使用方法:
1.本蛋白酶抑制剂混合物为100×的储存液,使用时按照1:100的比例加入到裂解液中(例如,1ml裂解液中加入10μl蛋白酶抑制剂混合物),混匀后即可使用。根据需要,0.5M的EDTA也按照1:100的比例加入到裂解液中(如用于检测金属蛋白酶活性,则不宜添加EDTA)。含有蛋白酶抑制剂混合物的裂解液宜现用现配,不宜配制后冻存待后续使用。
2. 待所需的抑制剂添加完毕混匀后,就可以开始进行哺乳动物组织的裂解和蛋白提取。
公司正在出售的产品:
| Fmoc-D-Lys(Boc)-OPfp | GR 73632 |
| Diphenylpyraline HCl | 膜联蛋白Ⅶ检测试剂盒 ANX-Ⅶ ELISA Kit |
| SB 271046 Hydrochloride | 膜联蛋白Ⅵ检测试剂盒 ANX-Ⅵ ELISA Kit |
| AIDA | 膜联蛋白Ⅲ检测试剂盒 ANX-Ⅲ ELISA Kit |
| Oxomemazine | 膜联蛋白Ⅳ检测试剂盒 ANX-Ⅳ ELISA Kit |
| Ambutonium bromide (BL700) | 膜联蛋白Ⅱ检测试剂盒 ANX-Ⅱ ELISA Kit |
| Zolmitriptan | 膜联蛋白Ⅰ检测试剂盒 ANX-Ⅰ ELISA Kit |
| VU0364572 (trifluoroacetate salt) | 膜结合型IgM检测试剂盒 mIgM ELISA Kit |
| Neurokinin B TFA | 膜内氨酰氨基肽酶检测试剂盒 ANPEP ELISA Kit |
| 7-Hydroxy-PIPAT maleate | 末端脱氧核苷酸转移酶检测试剂盒 TdT ELISA Kit |
| Vortioxetine-d8 | 钠-氯化物依赖性牛磺酸转运检测试剂盒 SLC6A6/TAUT ELISA Kit |
| Peptide YY (human) (trifluoroacetate salt) | 难辨梭状芽孢杆毒素A检测试剂盒 TOXA ELISA Kit |
| Pentagastrin (ICI-50123) | Boceprevir难辨梭状芽孢杆毒素B检测试剂盒 TOXB ELISA Kit |
| Stilbamidine (Ba 2652) | 囊虫病抗检测试剂盒 CYT Ab ELISA Kit |
| 人基质金属蛋白酶抑制因子2ELISA试剂盒 | 内肽-2检测试剂盒 EM-2 ELISA Kit |
风险提示:丁香通仅作为第三方平台,为商家信息发布提供平台空间。用户咨询产品时请注意保护个人信息及财产安全,合理判断,谨慎选购商品,商家和用户对交易行为负责。对于医疗器械类产品,请先查证核实企业经营资质和医疗器械产品注册证情况。
技术资料暂无技术资料 索取技术资料
Boceprevir
¥600 - 3200








