相关产品推荐更多 >
万千商家帮你免费找货
0 人在求购买到急需产品
- 详细信息
- 文献和实验
- 技术资料
- 库存:
44
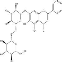
- 英文名:
Orientin
- CAS号:
28608-75-5
- 供应商:
帛科
- 保存条件:
2-8°C,避光保存、低温下保存
商品信息:
| 规格 | 纯度 | 价格 |
| 10mg | HPLC≥98% | 咨询 |
| 20mg | HPLC≥98% | 咨询 |
| 50mg | HPLC≥98% | 咨询 |
| 200mg | HPLC≥98% | 咨询 |
| 1g | HPLC≥98% | 咨询 |
| 10g | HPLC≥98% | 咨询 |
| 产品名称 | 红草苷 | CAS号 | 28608-75-5 |
| 货号 | BK-DZ0320 | 分子量 | 448.38 |
| 分子式 | C21H20O11 | 用途 | 仅供科研实验 |

商品介绍:
检测方式:高效液相色谱法HPLC≥98%
鉴才、定方法:Ms;NMR
用法:流动相为yi腈—1%醋酸溶(15∶85);流速为1.0 mL.min-1;柱温为25℃;检测波长为340 nm(仅供参考)
稳定性:本产品在正常的温度和环境下比较稳定
性状:本品为黄色粉末结晶
功效:含量测定等科研实验当中
提取来源:本品来源于白花败酱
对照品的标化:
对照品的质量直接影响到检验样品的结果。因此,对照品的标化十分重要,中国药品生物制品检定所为此制定了严格的标化程序。
首先应根据中国药典或卫生部标准,参考USP,BP,JP等国外 药典,查阅Merk Index等资料 确定对照品的标化项目和检验方法。
1、标化内容包括:
(1)物理常数的测定
1)熔点:依药典方法进行,取三次测定的平均值加温度计的校 正值。熔点现象不易观察的品种加作DSC熔点测定。
2)比旋度:按药典规定的方法测定,空白左右分别测定3次,样 品左右分别测定5次,计算平均值。
3)吸收系数(E: )值:测定时要求平行两份样品,每份样品按两 个浓度(药典浓度±10%)进行测定。
2、纯度考察
重点用薄层色谱法和高效液相色谱法两种方法作“有关物质” 检查:
1)薄层色谱法:要求两个展开系统,显色灵敏度要达到检测量 的0.1% ~0.2%。对照液的点样量为梯度,样品液的点样量为药典量 和药典的加倍量。实验的结果要报出样品的Rf值、杂质的量。当杂 质的量较大时,要用双向展开的方法确定样品是否分解。
2)高效液相色谱法:要求两种流动相或不同型号的两根柱子, 最小检出量要达到检测量的0.1% ,进样量为药典量和药典量的加 倍量,进行二极管阵列检测峰纯度,用归一化法或主成分自身稀释 对照法计算杂质量。
3、含量测定
要求用两种方法测定含量。一般为容量法和色谱法。容量法要 求两人分别测定3~5份。每人的平行实验结果以及两人的实验结 果的相对偏差均应小于0.3%。高效液相色谱法需用3种浓度作校 正因子,精密度要求尼 小于1.5%。若用分光光度法测定含量,必 须用对照品法,E值法只能作参考。含量测定用的化学对照品还要 求作DSC纯度测定。
对照品注意事项:
1、用来做实验的产品的用量应该满足:滴定液为20ml左右,达到对精度的要求;
2、滴定液的判断要求一定要明确严格,并且提供滴定的曲线,如选用指示剂法,应考虑其变色敏锐,并用电位法校准其终点颜色;
3、为排除因加入其它试剂而混入杂质对测定结果的影响,或便于剩余滴定法的计算,可采用“将滴定的结果用空白试验校正”的办法;
4、要给出滴定度(采用四位有效数字)的推导过程。标定结果要根据3个以上实验室各不少于15组测定结果经统计分析,去除离群值和可疑值后的结果,并报告可信限。
| 邻甲ben磺酰lv | Bsh1285I (BsiEI) |
| 2-溴-5-(三氟甲基)吡啶 | 2,5-Diphenyloxazole |
| 氨基吡嗪 | 2,5-Difluoronitrobenzene |
| 4-哒嗪羧suan | 2,5-Dimethylbromobenzene |
| 碳suan铵 | 2,5-Dimethylaniline |
| D-核糖 | 2',5'-Dimethoxyacetophenone |
| yi酰溴 | 2,5-Dichlorophenylboronic acid |
| 2-溴ben肼盐suan盐 | 2,5-Dibromopyridine |
| 2,6-二lvben肼盐suan盐 | 2,4-Dinitrofluorobenzene |
| 3-甲氧基苄胺 | 2,4-Dinitrophenol |
| 2,5-二lvben甲suan | 2,4-Dichlorophenoxyacetic acid |
| 3-甲氧基-4-硝基ben甲suan | 2,4-Dimethylbenzylamine |
| 2,4-二lvben甲suan | 红草苷28608-75-52,4-Dimethyl aniline |
| 1-lvyi基lv甲suan酯 | 2-(tert-Butyl)-4,6-dimethylphenol |
| 2-丙基咪唑 | 2,4-DIMETHYLPHENOL PESTAL |
风险提示:丁香通仅作为第三方平台,为商家信息发布提供平台空间。用户咨询产品时请注意保护个人信息及财产安全,合理判断,谨慎选购商品,商家和用户对交易行为负责。对于医疗器械类产品,请先查证核实企业经营资质和医疗器械产品注册证情况。
文献和实验平均气温7℃时萌发,气温升高,生长加快,遇霜冻则上部枯萎,冬季休眠。 以无性繁殖为主,割取孕穗前的地上茎,按行距25-30cm,株距4-5cm斜放于栽植沟上,埋土至2-3节位,保持适当水分即可成活。雨季,用有1-2个节的茎段栽植。盖土深3-5cm,10多天即可出苗。对氮肥十分敏感,当株高达60-100cm时即可刈割利用,留茬高3-5cm。春栽当年可刈割2-4次,第二年可刈4-6次,每公顷产青草75-113t,拔节中期刈割的青草含干物质15.57%,干物质中含粗蛋白质10.79%,粗脂肪1.99
苋科多年生草本。 苋草类是节节花属( ALTERNANTHRA )植物,原产于中、南美洲热带。此类植物植株低矮,高约 5-15 厘米,茎伸长后呈半匍匐性或半蔓性。叶对生,叶色依品种而异,各具特色。红苋草叶匙形或椭季节性变化,呈黄色或乳白色或一叶含两种混合色。 白苋草叶匙形或椭圆形,叶卷曲有皱,叶缘有白色斑纹。彩苋草叶椭圆状长卵形,先端尖,叶色也随季节性生长而变化,有绿、褐红、桃红、淡黄等色彩,尤其卷曲叶呈鲜艳的桃红色,极为雅致。紫绢苋是薏草属
。但在开始生蕾的时候,若遇0℃左右的低温,则表现有"盲花"。冬季开花的品种,若保持适宜温度,则不受日照影响,花芽分化后,12月-翌年1月开花。但夏季开花的品种,仅在长日照条件下,才分化花芽和开花。金鱼草的花期,可利用温室,加之不同的播种期、栽培法以及不同的品种来调节。通常露地栽培,8月下旬或9月播种,翌年4月-5月开花;早春冷床育苗或春夏播种,可在6月-7月或9月-10月开花,但不及秋播生长良好,而且花期较短。秋天播种,则翌年开花,短剪后,可至晚秋开花不绝。冬季作切花用者,常于夏末播种,露地培育,秋凉移入
技术资料暂无技术资料 索取技术资料










