相关产品推荐更多 >
万千商家帮你免费找货
0 人在求购买到急需产品
- 详细信息
- 文献和实验
- 技术资料
- 库存:
33
- 英文名:
20(R)-Ginsenoside Rh2
- CAS号:
112246-15-8
- 供应商:
帛科
- 保存条件:
2-8°C,避光保存、低温下保存
- 规格:
25mg/支
对照品注意事项:
1、用来做实验的产品的用量应该满足:滴定液为20ml左右,达到对精度的要求;
2、滴定液的判断要求一定要明确严格,并且提供滴定的曲线,如选用指示剂法,应考虑其变色敏锐,并用电位法校准其终点颜色;
3、为排除因加入其它试剂而混入杂质对测定结果的影响,或便于剩余滴定法的计算,可采用“将滴定的结果用空白试验校正”的办法;
4、要给出滴定度(采用四位有效数字)的推导过程。标定结果要根据3个以上实验室各不少于15组测定结果经统计分析,去除离群值和可疑值后的结果,并报告可信限。
商品属性:
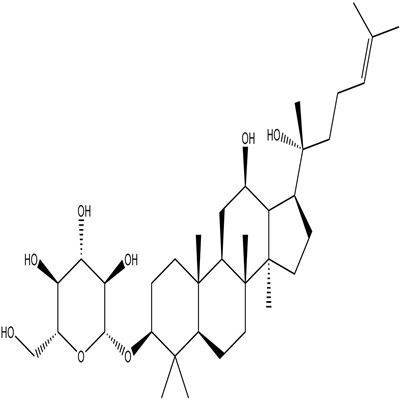
| 产品名称 | 20(R)-人参皂苷Rh2分析对照品 | CAS号 | 112246-15-8 |
| 货号 | BK-DZ0493 | 分子量 | 622.88 |
| 分子式 | C36H62O8 | 用途 | 仅供科研实验 |
商品介绍:
中文名:20(R)-人参皂苷Rh2分析对照品
中文别称:
英文名:20(R)-Ginsenoside Rh2
英文别称:
CAS号:112246-15-8
分子式:C36H62O8
分子量:622.88
结构类型:三萜
溶解性:甲醇、DMSO
对照品的标化:
对照品的质量直接影响到检验样品的结果。因此,对照品的标化十分重要,中国药品生物制品检定所为此制定了严格的标化程序。
首先应根据中国药典或卫生部标准,参考USP,BP,JP等国外 药典,查阅Merk Index等资料 确定对照品的标化项目和检验方法。
1、标化内容包括:
(1)物理常数的测定
1)熔点:依药典方法进行,取三次测定的平均值加温度计的校 正值。熔点现象不易观察的品种加作DSC熔点测定。
2)比旋度:按药典规定的方法测定,空白左右分别测定3次,样 品左右分别测定5次,计算平均值。
3)吸收系数(E: )值:测定时要求平行两份样品,每份样品按两 个浓度(药典浓度±10%)进行测定。
2、纯度考察
重点用薄层色谱法和高效液相色谱法两种方法作“有关物质” 检查:
1)薄层色谱法:要求两个展开系统,显色灵敏度要达到检测量 的0.1% ~0.2%。对照液的点样量为梯度,样品液的点样量为药典量 和药典的加倍量。实验的结果要报出样品的Rf值、杂质的量。当杂 质的量较大时,要用双向展开的方法确定样品是否分解。
2)高效液相色谱法:要求两种流动相或不同型号的两根柱子, 最小检出量要达到检测量的0.1% ,进样量为药典量和药典量的加 倍量,进行二极管阵列检测峰纯度,用归一化法或主成分自身稀释 对照法计算杂质量。
3、含量测定
要求用两种方法测定含量。一般为容量法和色谱法。容量法要 求两人分别测定3~5份。每人的平行实验结果以及两人的实验结 果的相对偏差均应小于0.3%。高效液相色谱法需用3种浓度作校 正因子,精密度要求尼 小于1.5%。若用分光光度法测定含量,必 须用对照品法,E值法只能作参考。含量测定用的化学对照品还要 求作DSC纯度测定。
| 2-溴-1-(2-吡啶基)-1-yi酮 氢溴suan | FastDigest® BclI |
| 2,4-二lvbenyi腈 | Ethyl lactate;Ethyl α-hydroxypropiote;Ethyl α-hydroxypropanoate |
| 2-碘-4-lvben胺 | Ethyl laurate;Dodecanoic acid ethyl ester;Ethyl dodecylate |
| 3-氟-4-氨基ben腈 | Ethyl palMitate;Ethyl hexadecanoate;Ethyl hexadecylate;Ethyl cetylate; |
| 2-甲氧基-6-甲基吡啶 | Ethyl oleate |
| 3-溴-5-硝基ben甲suan | Ethyl p-e sulfote |
| 4-yi基ben硼suan | Ethyl stearate;Octadecanoic acid ethyl ester; |
| D-苏氨suan | Ethyl violet;Hydrochloride of hexapararosaniline;Basic violet 4;C.I. 42600 |
| 1,1,3,3-四甲基脲 | Ethyl dichloroacetate; |
| H00-ASP(OBZL)-OBZL.H00CL | Ethyl cyanoacetate;Ethyl cyanoethanoate;Malonic acid ethyl ester nitrile;Ethyl ester of cyanoacetic acid |
| 2,3-二lvben甲醛 | Ethyl chloroacetate |
| 3,5-二lvben肼盐suan盐 | Ethyl broMoacetate |
| 6-lv靛红 | 20(R)-人参皂苷Rh2分析对照品112246-15-8Ethyl acetoacetate;Ethyl 3-oxo-butanoate;Diacetic ester;3-Oxobutanoic acid ethyl ester |
| 乳糖 | Ethanethiol;Mercaptoethane;Ethyl sulfhydrate;Thioethyl alcohol;Mercaptan C2 |
| 1,1-二甲氧基丙tong | Estrone;1, 3, 5-Estratrien-3-ol-17-one;Folliculin;Oestrone |
风险提示:丁香通仅作为第三方平台,为商家信息发布提供平台空间。用户咨询产品时请注意保护个人信息及财产安全,合理判断,谨慎选购商品,商家和用户对交易行为负责。对于医疗器械类产品,请先查证核实企业经营资质和医疗器械产品注册证情况。
文献和实验和 yaxt 为 「n」,最后再用 axis() 函数画坐标轴。有时候想让坐标轴显示的数字和默认值不同,或者想隔一两个刻度点显示一个数字,都可以用这个方法,单独画坐标轴。(5)边框:之前加白色刻度线时会将边框盖住一部分,在画完图之后,用 box() 函数再加一次边框就可以了。最终成品:同样也可以用这个方法画教科书级柱状图,比如:代码较长,为方便大家查看,我直接将代码整理成资料包的形式,供大家下载。在【生物学霸】对话框回复【代码】,即可直接下载。以上就是用 20 行 R 代码绘出教科书同款配图的全部教程
【选题投稿】还在为 Meta 选刊烦恼?20+ 本选优期刊汇总
来源于 PubMed) 笔者,在 Greenpubmed 中对数据进行筛选。发现截止到 5 月 9 日,2020 年已经发表了超过 8 千篇 Meta 分析文章。笔者以 3 分为界,选取了发表超过 20 篇 3 分以上的 Meta 期刊,筛选出来将近 30 本期刊。 其中,已发表超过 50 篇的期刊有 Sci Rep (IF=4.011) 73 篇,Int J Surg(IF=3.158)62 篇,Cochrane Database Syst Rev (IF=7.755) 56 篇,J
近日,一条 #大一女生研发菌剂让被污染土壤增产 20% #的话题登上微博热搜。 图片来源:微博@头条新闻 增产 20% 是什么概念?1976年,袁隆平育成的三系杂交稻在全国大面积推广,为解决中国粮食问题作出了历史性贡献。而这种水稻就比常规稻平均增产 20%。 如果新闻属实,这位大一女生真可以说是难得一见的天才了。 不过俗话说的好,是骡子是马,咱还是得拉出来溜溜才知道,接下来,咱们就一起走近这位大一女生和她的惊人发现。 神奇菌剂究竟是何方神圣,竟能让被污染土壤增产 20
技术资料暂无技术资料 索取技术资料









