相关产品推荐更多 >
万千商家帮你免费找货
0 人在求购买到急需产品
- 详细信息
- 文献和实验
- 技术资料
- 库存:
34
- 英文名:
20(R)-Ginsenoside Rg2
- CAS号:
80952-72-3
- 供应商:
帛科
- 保存条件:
2-8°C,避光保存、低温下保存
- 规格:
25mg/支
概念上,标准品是指用于生物检测或效价测定的标准物质,特性量值一般按效价单位来计。
对照品是指采用理化方法进行鉴别、检查和含量测定的标准物质,特性量值一般按纯度来计算。
两个都是标准物质,区别主要在于检测方法和特征量值单位不同。现在很多药品或化合物既有对照品,又有标准品,很容易混淆。
但是有一个简单直接的方法可以鉴别它们,那就是看实验的检测方法!举个例子,如果是用微生物法测定头孢克洛效价时,那标准物质一定是它的标准品,而如果是用HPLC或UV法来测定时,则选用的是它的对照品;
在医药行业中,两者的混用可能伴随着比较大的风险,所以大家务必养成规范贴标签的习惯,按照规定,标准品的容器上至少标明名称、批号、有效期、首次开启日期、含量或效价以及储存条件这六个要素。
不同于试剂有纯度的要求,标准品只要含量是精准的,即使不那么纯,也能做标准物质。另外标准品是从原料药中提纯出来的,比原料药要贵。
温馨提醒:我司提供一切产品仅供科研、实验室使用,不得用于注射、食用或其他用途
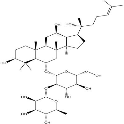
| 产品名称 | 20(R)-人参皂苷 Rg2分析对照品80952-72-3 | 英文名称 | 20(R)-Ginsenoside Rg2 |
| 货号 | BK-DZ0494 | CAS号 | 80952-72-3 |
| 分子式 | C42H72O13 | 分子量 | 785.02 |
中文别称:
英文名:20(R)-Ginsenoside Rg2
英文别称:
CAS号:80952-72-3
分子式:C42H72O13
分子量:785.02
结构类型:三萜
溶解性:甲醇、DMSO
分析:
1、红外分光光度法用于鉴别和定量。
2、紫外分光光度法的定量方法。
3、用于仪器或视觉比较的比色定量方法。
4、一种色谱分离、鉴定和定量的方法。
5、其他液-液分离技术的定量分离方法(提取率受实验条件影响)。
6、用于非化学计量关系的定量方法,如滴定法和重量法。
7、特定旋转含量的测定。
8、需要知道组分的固定比例(如顺反结构)作为控制方法。
注意事项:
1、中药对照品的研究、开发、校准、储存和销售是一项耗时耗力的工作,因此应该有一个量表来衡量建立标准物质的必要性和可行性。
2、化学标准物质的建立以和部颁标准修订中提出的质量标准相关项目为依据。
3、为了减少建立化学标准物质所需的繁重工作,我们应该尽努力采用在不比较标准物质的情况下仍能达到预期结果的方法。
| 3-氨基-5,6-二甲基-偏三嗪 | FastDigest® NsiI (Mph1103I) |
| 聚酰胺 | EthylenediaMinetetraacetic acid tetrasodiuM salt;Edetate sodiuM;(Ethylenedinitrilo)tetraacetic acid tetrasodiuM salt;N,N′-1,2-Ethanediylbis[N-(carboxyMethyl)glycine]tetrasodiuM salt;Ethylenebis(iMinodiacetic acid )tetrasodiuM salt;TetraceMate tetrasodiuM |
| 4-氨基-3-羟基ben甲suan甲酯 | EthylrhodaMine B; |
| 1,2,3—三甲氧基ben | Eugenol (AS); |
| 6-庚炔醇 | ethylnipecotate,97% |
| 2-甲氧基-5-甲磺酰基ben甲suan甲酯 | Evans blue;4,4′-Bis[7-(1-aMino-8-hydroxy-2,4-disulfo)phthylazo]3,3′-bitolyl tetrasodiuM salt;Direct blue 53;C.I. 23860 |
| 2,4,6-三lvben胺 | EXOSAP-IT 2000 RXNS |
| 3-lvben硼suan | Fast black B salt;4,4′-DiaMinodiphenylaMinesulfate salt;C.1. 37245; |
| ben基丁二suan | EDTA magnesium disodium |
| 4-lv-2,5-二甲氧基ben胺 | EthylenediaMinetetraacetic acid disodiuM calciuM salt;EDTA disodiuM calciuM salt;Edetate calciuM disodiuM;EdathaMil calciuM disodiuM;[(Ethylene dinitrilo) tetraacetato]calciate(2-)disodiuM;CalciuM disodiuM edatate;Edatic acid calciuM disodiuM salt;Calcite |
| 2,5-二lvben甲醛 | EthylenediaMinetetraacetic acid disalt;(Ethylenedinitrilo)tetraacetic acid disalt;Edetate dipotassiuM |
| yisuan银 | Ethylene Glycol;Ethylene alcohol; |
| Boc-D-丝氨suan | 20(R)-人参皂苷 Rg2分析对照品80952-72-3Ethylene glycol diether |
| 4-硝基碘ben | Ethylbenzene |
| 3-甲基ben肼盐suan盐 | EthylaMine hydrochloride |
风险提示:丁香通仅作为第三方平台,为商家信息发布提供平台空间。用户咨询产品时请注意保护个人信息及财产安全,合理判断,谨慎选购商品,商家和用户对交易行为负责。对于医疗器械类产品,请先查证核实企业经营资质和医疗器械产品注册证情况。
文献和实验和 yaxt 为 「n」,最后再用 axis() 函数画坐标轴。有时候想让坐标轴显示的数字和默认值不同,或者想隔一两个刻度点显示一个数字,都可以用这个方法,单独画坐标轴。(5)边框:之前加白色刻度线时会将边框盖住一部分,在画完图之后,用 box() 函数再加一次边框就可以了。最终成品:同样也可以用这个方法画教科书级柱状图,比如:代码较长,为方便大家查看,我直接将代码整理成资料包的形式,供大家下载。在【生物学霸】对话框回复【代码】,即可直接下载。以上就是用 20 行 R 代码绘出教科书同款配图的全部教程
的是 R 语言的 2017 年 3 月 20 号更新的 CMplot 包,优点如下:操作简单,一行代码搞定曼哈顿图;形式多样,长方形、环形,甚至可以做出 Circos 的效果;可以比较多个不同性质的结果;QQ 图,density 图一网打尽。 操作流程自行下载并安装 CMplot 包在 R 中 输入 install.packages(「CMplot」),然后选择一个镜像,一般选择 China 开头的,离你所在的城市近的就好啦加载 CMplot 包输入 library(CMplot)准备 / 读入数据
x-R—质控图是检验主管技师考试要求掌握的内容,医学教育网搜集整理相关内容供大家参考。 此质控图又称均值—范围质控图,是Levey—Jennings最初引进的方法。这也是工业生产中常用的一种控制图。 Levey��Jennings是用单份质控品作双份测定,连续测定20次,共20对测定值。计算每对数值的均值(x)及极差(R),再计算总均数(x)及平均极差(R),然后绘制x及R两个质控图。前者以x为中心线,以x±1.88R为上、下控制界限;后者以R为中心
技术资料暂无技术资料 索取技术资料









