相关产品推荐更多 >
万千商家帮你免费找货
0 人在求购买到急需产品
- 详细信息
- 文献和实验
- 技术资料
- 库存:
41
- 英文名:
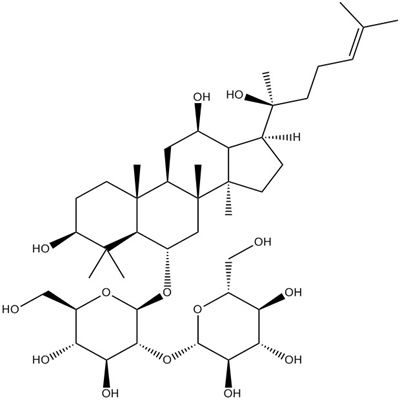
Ginsenoside Rf
- CAS号:
52286-58-5
- 供应商:
帛科
- 保存条件:
2-8°C,避光保存、低温下保存
- 规格:
12mg/支
温馨提醒:我司提供一切产品仅供科研、实验室使用,不得用于注射、食用或其他用途
中文名:人参皂苷Rf鉴别对照品
中文别称:
英文名:Ginsenoside Rf
英文别称:
CAS号:52286-58-5
分子式:C42H72O14
分子量:801.02
结构类型:三萜
溶解性:甲醇、DMSO
概念上,标准品是指用于生物检测或效价测定的标准物质,特性量值一般按效价单位来计。
对照品是指采用理化方法进行鉴别、检查和含量测定的标准物质,特性量值一般按纯度来计算。
两个都是标准物质,区别主要在于检测方法和特征量值单位不同。现在很多药品或化合物既有对照品,又有标准品,很容易混淆。
但是有一个简单直接的方法可以鉴别它们,那就是看实验的检测方法!举个例子,如果是用微生物法测定头孢克洛效价时,那标准物质一定是它的标准品,而如果是用HPLC或UV法来测定时,则选用的是它的对照品;
在医药行业中,两者的混用可能伴随着比较大的风险,所以大家务必养成规范贴标签的习惯,按照规定,标准品的容器上至少标明名称、批号、有效期、首次开启日期、含量或效价以及储存条件这六个要素。
不同于试剂有纯度的要求,标准品只要含量是精准的,即使不那么纯,也能做标准物质。另外标准品是从原料药中提纯出来的,比原料药要贵。
分析:
1、红外分光光度法用于鉴别和定量。
2、紫外分光光度法的定量方法。
3、用于仪器或视觉比较的比色定量方法。
4、一种色谱分离、鉴定和定量的方法。
5、其他液-液分离技术的定量分离方法(提取率受实验条件影响)。
6、用于非化学计量关系的定量方法,如滴定法和重量法。
7、特定旋转含量的测定。
8、需要知道组分的固定比例(如顺反结构)作为控制方法。
注意事项:
1、中药对照品的研究、开发、校准、储存和销售是一项耗时耗力的工作,因此应该有一个量表来衡量建立标准物质的必要性和可行性。
2、化学标准物质的建立以和部颁标准修订中提出的质量标准相关项目为依据。
3、为了减少建立化学标准物质所需的繁重工作,我们应该尽努力采用在不比较标准物质的情况下仍能达到预期结果的方法。
| 产品名称 | 人参皂苷Rf鉴别对照品52286-58-5 | 英文名称 | Ginsenoside Rf |
| 货号 | BK-DZ0501 | CAS号 | 52286-58-5 |
| 分子式 | C42H72O14 | 分子量 | 801.02 |
中文别称:
英文名:Ginsenoside Rf
英文别称:
CAS号:52286-58-5
分子式:C42H72O14
分子量:801.02
结构类型:三萜
溶解性:甲醇、DMSO
概念上,标准品是指用于生物检测或效价测定的标准物质,特性量值一般按效价单位来计。
对照品是指采用理化方法进行鉴别、检查和含量测定的标准物质,特性量值一般按纯度来计算。
两个都是标准物质,区别主要在于检测方法和特征量值单位不同。现在很多药品或化合物既有对照品,又有标准品,很容易混淆。
但是有一个简单直接的方法可以鉴别它们,那就是看实验的检测方法!举个例子,如果是用微生物法测定头孢克洛效价时,那标准物质一定是它的标准品,而如果是用HPLC或UV法来测定时,则选用的是它的对照品;
在医药行业中,两者的混用可能伴随着比较大的风险,所以大家务必养成规范贴标签的习惯,按照规定,标准品的容器上至少标明名称、批号、有效期、首次开启日期、含量或效价以及储存条件这六个要素。
不同于试剂有纯度的要求,标准品只要含量是精准的,即使不那么纯,也能做标准物质。另外标准品是从原料药中提纯出来的,比原料药要贵。
| 3,4,5-三溴吡唑 | FastDigest® MboI |
| 2,4-二lvben硼suan | IsaMin blue;Brilliant sky blue 5G;C.I. 42700 |
| 4-甲氧基-3-甲基ben甲suan | Isatin |
| 硼suan三丁酯 | IsoaMyl alcohol;Isobutylcarbinol;Isopentyl alcohol;IsoaMyl alcohol priMary |
| 6-羟基嘌呤 | IsoaMyl acetate;γ-Methylbutyl ethanoate;Ba oil;AMyl acetate;Pear oil;3-Methyl-1-butanol acetate |
| 1-溴-2-氟-4-三氟甲氧基ben | IsoaMylaMine;3-MethylbutylaMine;1-AMino-3-Methylbutane;3-Methyl-1-butaMine,IsopentylaMine |
| 噻吩-2-碳suan酯 | Isobutyl acetate |
| 甲基丙烯suan钾 | Isobutyl chloroforMate |
| 间碘ben腈 | Iron(III) chloride solution;Iron (III) chloride hydrated;Iron(III) chloride;Ferric salts |
| DL-苹果suan | Iron sulfide |
| 苄基lv化镁 | Iron sulfate |
| 4-溴-1,3-ben二甲suan | Iron oxide red;Iron(III) oxide;Ferric oxide |
| 4-氨基-2-氟三氟甲ben | 人参皂苷Rf鉴别对照品52286-58-5Ithane |
| D-(-)-对羟基ben甘氨suan邓钾盐 | Iodine trichloride |
| 4-氟吡啶 | Iodine pentoxide;Iodic anhydride;Diiodine pentoxide |
分析:
1、红外分光光度法用于鉴别和定量。
2、紫外分光光度法的定量方法。
3、用于仪器或视觉比较的比色定量方法。
4、一种色谱分离、鉴定和定量的方法。
5、其他液-液分离技术的定量分离方法(提取率受实验条件影响)。
6、用于非化学计量关系的定量方法,如滴定法和重量法。
7、特定旋转含量的测定。
8、需要知道组分的固定比例(如顺反结构)作为控制方法。
注意事项:
1、中药对照品的研究、开发、校准、储存和销售是一项耗时耗力的工作,因此应该有一个量表来衡量建立标准物质的必要性和可行性。
2、化学标准物质的建立以和部颁标准修订中提出的质量标准相关项目为依据。
3、为了减少建立化学标准物质所需的繁重工作,我们应该尽努力采用在不比较标准物质的情况下仍能达到预期结果的方法。
风险提示:丁香通仅作为第三方平台,为商家信息发布提供平台空间。用户咨询产品时请注意保护个人信息及财产安全,合理判断,谨慎选购商品,商家和用户对交易行为负责。对于医疗器械类产品,请先查证核实企业经营资质和医疗器械产品注册证情况。
文献和实验相关实验
。 2.3.2 抗水通道蛋白 4(AQP4)抗体:是视神经脊髓炎 (NMO) 的标志性抗体。可用于 NMO 与多发性硬化的鉴别,在 NMO 患者中的敏感性约为 58%—76%,特异性可达 85%-99%。IIF 或基于靶抗原转染细胞的检测 (CBA) 是首选检测方法。 2.3.3 其他中枢神经系统疾病相关的自身抗体:抗神经节苷脂抗体与吉兰.巴雷综合征 (Guillain Barre syndrome)、多灶性运动神经病、感觉神经病、米.费综合征(Miller-Fisher syndrome
。 专家组首先考虑的是确定影响细胞计数的因素,建立参考方法,目前在使用电阻抗原 理仪器方面达成了一致。早期,一系列问题影响仪器的设计。为了克服这些问题,专家组提出了一套方法:(1)根据脉冲体积准确设置检测器,确保能鉴别颗粒和电子噪音,要求信号,噪音比率不超过100:1;(2)要求纠正颗粒同时通过小孔的重合误差;(3)要求细胞悬液在单位时间内通过小孔时的流速和流量稳定;(4)要能避免通过小孔的颗粒再循环;(5)应选用避免颗粒黏附的材料作为管道、计数池、吸管和稀释瓶的物质。 经过数
技术资料暂无技术资料 索取技术资料
人参皂苷Rf鉴别对照品52286-58-5
¥600 - 3900








