相关产品推荐更多 >
万千商家帮你免费找货
0 人在求购买到急需产品
- 详细信息
- 文献和实验
- 技术资料
- 库存:
59
- 英文名:
Isovitexin
- CAS号:
38953-85-4
- 供应商:
帛科
- 保存条件:
2-8°C,避光保存、低温下保存
- 规格:
25mg/支
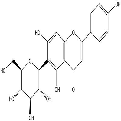
商品属性:
| 产品名称 | 异牡荆苷分析对照品 | CAS号 | 38953-85-4 |
| 货号 | BK-DZ0512 | 分子量 | 432.38 |
| 分子式 | C21H20O10 | 用途 | 仅供科研实验 |
商品介绍:
中文名:异牡荆苷分析对照品
中文别称:
英文名:Isovitexin
英文别称:
CAS号:38953-85-4
分子式:C21H20O10
分子量:432.38
结构类型:黄酮
溶解性:甲醇、乙醇、DMSO
对照品注意事项:
1、用来做实验的产品的用量应该满足:滴定液为20ml左右,达到对精度的要求;
2、滴定液的判断要求一定要明确严格,并且提供滴定的曲线,如选用指示剂法,应考虑其变色敏锐,并用电位法校准其终点颜色;
3、为排除因加入其它试剂而混入杂质对测定结果的影响,或便于剩余滴定法的计算,可采用“将滴定的结果用空白试验校正”的办法;
4、要给出滴定度(采用四位有效数字)的推导过程。标定结果要根据3个以上实验室各不少于15组测定结果经统计分析,去除离群值和可疑值后的结果,并报告可信限。
| 邻lv苄醇 | FastDigest® AclI (Psp1406I) |
| 硫suan镁 | Nile blue chloride;DiethylaMinophenoaMinophthazoxoniuM chloride;C.I. 51180 |
| lv化锂 | Nitrazine yellow;Deltadye indicator;2-(2,4-Dinitrophenylazo)-1-hydroxyphthalene-3,6-disulfonic acid disodiuM salt;2,4-Dinitrobenzeneazo-1-phthol-3,6-disulfonic acid disodiuM salt;C.I.14890 |
| 五氟ben酚 | Nitromethane |
| 五lv化锑 | Nitrin; 2-AMinobenzaldehyde phenylhydrazone; |
| 喜树碱 | N-MethylacetaMide;AcetylMethylaMine; |
| 5-甲氧基-2-(4-甲氧基-3,5-二甲基-2-吡啶基)甲基硫代-1H-ben并咪唑 | N-Methylformamide |
| 亚胺培南(一水物) | 4-Methylmorpholine |
| 亚磷suan二yi酯 | NICKEL(II) SULFATE HEPTAHYDRATE |
| 氧杂环丁-3-醇 | Nickelous chloride;Nickel(II)chloride |
| yisuan钴 | NiaciMide;VitaMin B3;NiaciMide;Nicotinic acid aMide;3-Pyridinecarboxylic acid aMide |
| yisuan肼 | Niacin; |
| yi烯基硼suan频哪醇酯 | 异牡荆苷分析对照品38953-85-4n-HeptylaMine;HeptylaMine |
| 2-yi烯氧基yi醇 | New fuchsin;Magenta III;Isorubin;Fuchsin NB;Fuchsin N;C.I. 42520; |
| 异丙基丙二suan二yi酯 | Neutral red;Toluylene red;AMinodiMethylaMinotoluaMinozine;3-AMino-7-diMethylaMino-2-Methylphezine hydrochloride;C.I. 50040 |
对照品的质量直接影响到检验样品的结果。因此,对照品的标化十分重要,中国药品生物制品检定所为此制定了严格的标化程序。
首先应根据中国药典或卫生部标准,参考USP,BP,JP等国外 药典,查阅Merk Index等资料 确定对照品的标化项目和检验方法。
1、标化内容包括:
(1)物理常数的测定
1)熔点:依药典方法进行,取三次测定的平均值加温度计的校 正值。熔点现象不易观察的品种加作DSC熔点测定。
2)比旋度:按药典规定的方法测定,空白左右分别测定3次,样 品左右分别测定5次,计算平均值。
3)吸收系数(E: )值:测定时要求平行两份样品,每份样品按两 个浓度(药典浓度±10%)进行测定。
2、纯度考察
重点用薄层色谱法和高效液相色谱法两种方法作“有关物质” 检查:
1)薄层色谱法:要求两个展开系统,显色灵敏度要达到检测量 的0.1% ~0.2%。对照液的点样量为梯度,样品液的点样量为药典量 和药典的加倍量。实验的结果要报出样品的Rf值、杂质的量。当杂 质的量较大时,要用双向展开的方法确定样品是否分解。
2)高效液相色谱法:要求两种流动相或不同型号的两根柱子, 最小检出量要达到检测量的0.1% ,进样量为药典量和药典量的加 倍量,进行二极管阵列检测峰纯度,用归一化法或主成分自身稀释 对照法计算杂质量。
3、含量测定
要求用两种方法测定含量。一般为容量法和色谱法。容量法要 求两人分别测定3~5份。每人的平行实验结果以及两人的实验结 果的相对偏差均应小于0.3%。高效液相色谱法需用3种浓度作校 正因子,精密度要求尼 小于1.5%。若用分光光度法测定含量,必 须用对照品法,E值法只能作参考。含量测定用的化学对照品还要 求作DSC纯度测定。
风险提示:丁香通仅作为第三方平台,为商家信息发布提供平台空间。用户咨询产品时请注意保护个人信息及财产安全,合理判断,谨慎选购商品,商家和用户对交易行为负责。对于医疗器械类产品,请先查证核实企业经营资质和医疗器械产品注册证情况。
文献和实验200304购自中国药品生物制品检定所,供含量测定用);硅胶G(青岛海洋化工厂);女贞子药材(购自广州致信中药饮片有限公司);乙腈、甲醇为色谱纯,纯净水,其他试剂均为分析纯。 2 方法与结果 2.1 高效液相色谱法 2.1.1 对照品溶液的制备 精密称取齐墩果酸对照品10.76 mg,加甲醇溶解,制成每毫升含0.538 mg的溶液,作为对照品溶液。 2.1.2 供试品溶液的制备 取女贞子粗粉约0.5 g(批号200510170
AD高效液相色谱仪(配有SPD-10A检测器,N2000色谱工作站),AE240电子分析天平(梅特勒公司)。补骨脂素对照品(供含量测定用,批号:110739-200309,中国药品生物制品检定所提供),3批鱼鳔补肾丸(批号分别为:20060112,20060119,20060326)。乙腈、磷酸为色谱纯,水为超纯化水,其他试剂均为分析纯。 2溶液的制备 2.1对照品溶液精密称取补骨脂素对照品17.92mg,置100ml量瓶中,用甲醇溶解并稀释至刻度,摇匀,精密量取1ml,置
为高纯水,其他制剂均为分析纯。复方虎杖片及缺虎杖的阴性对照样品(广西河丰药业有限公司提供)。� 2 方法与结果� 2.1色谱条件色谱柱phenomenexprodigyODS3(250mm×4.6mm,5μm),流动相:甲醇-0.1%磷酸溶液(85∶15)[1,2],流速:1.0ml/min,检测波长:254nm,柱温:30℃。理论塔板数(n)按大黄素峰计算,应不低于9000,进样量为5μl。� 2.2对照品溶液的制备精密称取五氧化二磷减压干燥24h大黄素对照品
技术资料暂无技术资料 索取技术资料









