相关产品推荐更多 >
万千商家帮你免费找货
0 人在求购买到急需产品
- 详细信息
- 文献和实验
- 技术资料
- 库存:
59
- 英文名:
Quercetin 3-O-β-D-glucose-7-O-β-D-gentiobioside
- CAS号:
60778-02-1
- 供应商:
帛科
- 保存条件:
2-8°C,避光保存、低温下保存
- 规格:
25mg/支
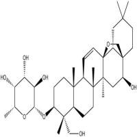
| 产品名称 | 槲皮素-3-O-β-D-葡萄糖-7-O-β-D-龙胆双糖苷分析对照品60778-02-1 | 英文名称 | Quercetin 3-O-β-D-glucose-7-O-β-D-gentiobioside |
| 货号 | BK-DZ0658 | CAS号 | 60778-02-1 |
| 分子式 | C33H40O22 | 分子量 | 788.66 |
中文别称:
英文名:Quercetin 3-O-β-D-glucose-7-O-β-D-gentiobioside
英文别称:
CAS号:60778-02-1
分子式:C33H40O22
分子量:788.66
结构类型:黄酮
溶解性:甲醇、乙醇、DMSO
概念上,标准品是指用于生物检测或效价测定的标准物质,特性量值一般按效价单位来计。
对照品是指采用理化方法进行鉴别、检查和含量测定的标准物质,特性量值一般按纯度来计算。
两个都是标准物质,区别主要在于检测方法和特征量值单位不同。现在很多药品或化合物既有对照品,又有标准品,很容易混淆。
但是有一个简单直接的方法可以鉴别它们,那就是看实验的检测方法!举个例子,如果是用微生物法测定头孢克洛效价时,那标准物质一定是它的标准品,而如果是用HPLC或UV法来测定时,则选用的是它的对照品;
在医药行业中,两者的混用可能伴随着比较大的风险,所以大家务必养成规范贴标签的习惯,按照规定,标准品的容器上至少标明名称、批号、有效期、首次开启日期、含量或效价以及储存条件这六个要素。
不同于试剂有纯度的要求,标准品只要含量是精准的,即使不那么纯,也能做标准物质。另外标准品是从原料药中提纯出来的,比原料药要贵。
| 4-lv-3-硝基肉桂suan | Water, nuclease-free |
| 3-氨基-2-羟基吡啶 | Chondroitin Sulfate SodiuM |
| DL-半胱氨suan | ChroMiuM Picolite |
| 醋suan钯 | cis-Androsterone;Androsterone;3α-Hydroxy-5α-androstan-17-one;5α-Androstan-3α-ol-17-one;3α-Hydroxy-17-androstanone |
| 1-溴-3-lv-5-氟ben | Cilastatin AMMoniuM Salt |
| D-丙氨suan | CliMbazole ; |
| 3-溴丙suan甲酯 | ClindaMycin PalMitate Hydrochloride |
| yisuan铯 | Clocortolone Pivalate |
| 环戊suan | Choline Bitartrate |
| 3,4-二氟ben甲醛 | ChlorpropaMide |
| 6-溴吡啶-2-甲醛 | ChlorpheniraMine Maleate Extended-Release Tablets (Drug Release Calibrator, Single Unit) |
| 4-甲氧基ben甲酰胺 | Chlorogenic Acid |
| 3-氨基-6-甲基吡啶 | 槲皮素-3-O-β-D-葡萄糖-7-O-β-D-龙胆双糖苷分析对照品60778-02-1CesiuM fluoride |
| 3-溴-5-甲基吡啶 | Cesium |
| 3-氨基-5-甲基吡啶 | Cephapirin SodiuM |
分析:
1、红外分光光度法用于鉴别和定量。
2、紫外分光光度法的定量方法。
3、用于仪器或视觉比较的比色定量方法。
4、一种色谱分离、鉴定和定量的方法。
5、其他液-液分离技术的定量分离方法(提取率受实验条件影响)。
6、用于非化学计量关系的定量方法,如滴定法和重量法。
7、特定旋转含量的测定。
8、需要知道组分的固定比例(如顺反结构)作为控制方法。
注意事项:
1、中药对照品的研究、开发、校准、储存和销售是一项耗时耗力的工作,因此应该有一个量表来衡量建立标准物质的必要性和可行性。
2、化学标准物质的建立以和部颁标准修订中提出的质量标准相关项目为依据。
3、为了减少建立化学标准物质所需的繁重工作,我们应该尽努力采用在不比较标准物质的情况下仍能达到预期结果的方法。
风险提示:丁香通仅作为第三方平台,为商家信息发布提供平台空间。用户咨询产品时请注意保护个人信息及财产安全,合理判断,谨慎选购商品,商家和用户对交易行为负责。对于医疗器械类产品,请先查证核实企业经营资质和医疗器械产品注册证情况。
文献和实验指 2分子 D-葡萄糖α -1, 4成键的二糖。按化学系统命名法称为 4-O-α -D-葡萄吡喃糖基 -( 1→ 4) -α -D-葡萄吡喃糖。由于用麦芽或从麦芽抽提出的糖化酶(淀粉酶)作用于淀粉溶液生成的化合物,所以产生这一名称。作为天然的淀粉的代谢产物,并不象蔗糖那样最初是由生物细胞合成利用的二糖物质。具有比蔗糖甜度低的良好甜味,发酵性能也佳,所以以淀粉为原料的制造麦芽糖的工业很早以来就很发达。可被α -葡萄糖苷酶分解成 D-葡萄糖,因此动物
为具有 O-β -D-葡萄糖醛酸基( 1→ 3) -N-乙酰基 -β -D-氨基葡萄糖基( 1→ 4)为单位的双糖重复结构的一种粘多糖。除见之于动物的关节液和眼球玻璃体等的分泌液、脐带、真皮表层等的结缔组织和 Rous肉瘤等某种肿瘤外,它还包括 A型、 C型链球菌属( Strepto-coceus)在内的某些细菌的荚膜成分。细菌透明质酸不与蛋白质结合,但动物组织中的透明质酸或多或少含有一些蛋白质,似乎以蛋白多糖和肽多糖的形态存在。不过与蛋白质部分结合的方式还不清楚。链
由三分子单糖以糖苷键连结而组成的化合物之总称。天然存在的三糖,有龙胆属(龙胆)根中的龙胆三糖,广泛分布于甘蔗等的棉子糖,以及松柏类分泌的松三糖和车前属(Plantago)种子中分离出的车前三糖(Planteose)等。其他,作为多糖部分水解产物的有麦芽三糖等,是根据结构进行系统命名的。如:棉子糖命名为O-α-D-半乳糖吡喃基-(1→6)-α-D-葡糖吡喃基-β-D-果糖呋喃苷。这是以苷(-side)作为词尾,最后的单糖还原基参于糖苷键,也就是表示非还原性三糖。
技术资料暂无技术资料 索取技术资料









