相关产品推荐更多 >
万千商家帮你免费找货
0 人在求购买到急需产品
- 详细信息
- 文献和实验
- 技术资料
- 库存:
29
- 英文名:
Diphylloside A
- CAS号:
113558-11-5
- 供应商:
帛科
- 保存条件:
2-8°C,避光保存、低温下保存
- 规格:
20mg/支、1g/支
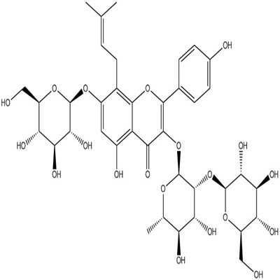
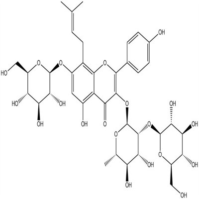
| 产品名称 | 双藿苷A113558-11-5 | 英文名称 | Diphylloside A |
| 货号 | BK-DZ0459 | CAS号 | 113558-11-5 |
| 分子式 | C38H48O20 | 分子量 | 824.78 |
中文别称:
英文名:Diphylloside A
英文别称:Ikarisoside C
CAS号:113558-11-5
分子式:C38H48O20
分子量:824.78
结构类型:黄酮
溶解性:甲醇、DMSO
概念上,标准品是指用于生物检测或效价测定的标准物质,特性量值一般按效价单位来计。
对照品是指采用理化方法进行鉴别、检查和含量测定的标准物质,特性量值一般按纯度来计算。
两个都是标准物质,区别主要在于检测方法和特征量值单位不同。现在很多药品或化合物既有对照品,又有标准品,很容易混淆。
但是有一个简单直接的方法可以鉴别它们,那就是看实验的检测方法!举个例子,如果是用微生物法测定头孢克洛效价时,那标准物质一定是它的标准品,而如果是用HPLC或UV法来测定时,则选用的是它的对照品;
在医药行业中,两者的混用可能伴随着比较大的风险,所以大家务必养成规范贴标签的习惯,按照规定,标准品的容器上至少标明名称、批号、有效期、首次开启日期、含量或效价以及储存条件这六个要素。
不同于试剂有纯度的要求,标准品只要含量是精准的,即使不那么纯,也能做标准物质。另外标准品是从原料药中提纯出来的,比原料药要贵。
| 亚磷suan二苄酯 | FastDigest® AvaI (Eco88I) |
| 2,4,6-三甲基苄胺 | DEUTERIUM BROMIDE |
| D-焦谷氨suan | DIMIDIUM BROMIDE FOR FLUORESCENCE |
| 3-氟benyi胺 | GOLD(III) BROMIDE |
| 6-氨基-1-己醇 | HEXADIMETHRIN BROMIDE FOR PROTEIN |
| 3-氟-4-羟基ben腈 | Lithium bromide |
| 3-氟-4-羟基ben甲醛 | Cupric bromide |
| 5-溴-2-羟基ben甲腈 | Cuprous bromide |
| 4,4'-双甲氧基三ben甲基lv | 2-Bromobutane |
| 4,4,4-三氟丁suan | 1-Bromopentane |
| 2-氨基-4-溴ben酚 | 1-Bromobutane |
| 5-氨基-1,2,3-噻二唑 | 1-Bromopropane |
| 3,5-二甲基金刚胺盐suan盐 | 双藿苷A113558-11-51-Bromo-3-methylbutane |
| 2-氧代-4-ben丁基磷suan二甲酯 | 1-Bromo-2-methylpropane |
| 叔戊氧基钾 | 2-BroMopropane;Isopropyl broMide |
分析:
1、红外分光光度法用于鉴别和定量。
2、紫外分光光度法的定量方法。
3、用于仪器或视觉比较的比色定量方法。
4、一种色谱分离、鉴定和定量的方法。
5、其他液-液分离技术的定量分离方法(提取率受实验条件影响)。
6、用于非化学计量关系的定量方法,如滴定法和重量法。
7、特定旋转含量的测定。
8、需要知道组分的固定比例(如顺反结构)作为控制方法。
注意事项:
1、中药对照品的研究、开发、校准、储存和销售是一项耗时耗力的工作,因此应该有一个量表来衡量建立标准物质的必要性和可行性。
2、化学标准物质的建立以和部颁标准修订中提出的质量标准相关项目为依据。
3、为了减少建立化学标准物质所需的繁重工作,我们应该尽努力采用在不比较标准物质的情况下仍能达到预期结果的方法。
风险提示:丁香通仅作为第三方平台,为商家信息发布提供平台空间。用户咨询产品时请注意保护个人信息及财产安全,合理判断,谨慎选购商品,商家和用户对交易行为负责。对于医疗器械类产品,请先查证核实企业经营资质和医疗器械产品注册证情况。
文献和实验Cell Reports:上海科大朱焕乎团队揭示肠道营养信号如何指挥动物全身的发育进程
酰胺/mTORC1 通路是如何协调动物全身发育依旧是个谜。 针对这些问题,研究人员首先通过大规模的遗传筛选,发现一个从酵母到人中都存在的编码过氧化物酶体膜蛋白 PRX-11 的基因突变,能够使葡萄糖神经酰胺缺乏的线虫突破早期发育停滞,并完成个体发育。进一步的研究发现,破坏其他过氧化物酶体的关键基因如 PRX-5,PRX-3 及 PRX-1 等,均可以造成类似的效果。说明过氧化物酶体的活性事实上在葡萄糖神经酰胺缺失造成的发育停滞中起到了关键作用。通 过组织特异性地回补正常的 PRX-11 基因,研究人员发现肠道
22 O 11 →C 6 H 12 O 6 淀粉→紫糊精→红糊精→无色糊精→麦芽糖→葡萄糖 (蓝色)(紫糊精)(红色)(无色)(无色)(无色) (二)糖原 糖原是动物体内贮存的一种多糖,双称为动物淀粉,主要存在于肝脏和肌肉中,因此有肝糖原和肌糖原之分。正常情况下,肝脏中糖原的含量达10%-20%,肌肉中的含量达4%。人体约含糖原400g,糖原在体内的贮存有重要意义
对之间的范德瓦士力是稳定DNA成双螺旋结构的主要能量。 上述DNA的双螺旋结构是溶液及活体中常见的形式,通称B型。当B型所处条件的湿度低于75%时,可转变为A型。A型的碱基对不垂直于双螺旋的轴、倾斜约20度,螺距降为2.8nm,每一螺旋含11个碱基对。B型与A型的水合程度不同,它们是DNA分子在天然条件下的两种基本形式。除A、B型外尚发出有C型双螺旋,似B型,螺距3.3nm,第一螺旋含9个碱基对。 DNA双螺旋结构阐明的量重要意义在于第一次提出了遗传信息是以DNA分子中核苷
技术资料暂无技术资料 索取技术资料









