相关产品推荐更多 >
万千商家帮你免费找货
0 人在求购买到急需产品
- 详细信息
- 技术资料
- 库存:
38
- 英文名:
Trifolirhizin
- CAS号:
6807-83-6
- 保质期:
2年
- 供应商:
上海联祖
- 保存条件:
4℃冷藏、密封、避光
- 规格:
20mg/支
商品属性:
| 产品名称 | 英文名称 | 规格 | 货号 |
| 三叶豆紫檀苷6807-83-6 | Trifolirhizin | 20 mg/支 | LZ-BP2465 |
商品介绍:
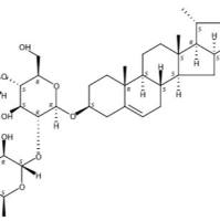
产品名称:三叶豆紫檀苷
英文名称:Trifolirhizin
CAS NO:6807-83-6
分子式:C22H22O10
分子量:446.41
分子结构:
规格:20 mg/支
外观:白色晶体
提取来源:豆科植物苦参(Sophora flavescens)
纯度:HPLC≥98%
分析方法: HPLC-DAD or/and HPLC-ELSD
鉴定方法: 质谱(Mass), 核磁(NMR)
贮存条件:4℃冷藏、密封、避光
有效期:2年
供货能力:大量现货
标准品的选择原则:
1.考虑标准品的稳定性
如:阿莫西林的对照品选阿莫西林三水合物(其稳定性优于阿莫西林及其一水合物)。
2.考虑盐基、酸根的不同
如:某些药物杂质对照品,有些做成盐酸盐,有些为游离碱,在选择和使用过程也要注意哪个适合自己。若用于测含量要考虑换算因子。
3.用作红外鉴别的对照品要考虑晶型的一致。(晶型不一致、红外很有可能不一致)
4.官方对照品往往用于定位或含量检测,往往不建议用作晶型鉴定、或红外标准图谱(官方对照品的制备工艺很大程度与生产工艺不一致,有可能是HPLC制备纯化得到的,晶型无法保证一致性,有少数产品官方也会提供产品对照光谱,国内也有红外光谱集)
TH Antibody Blocking Peptide Persephin(PSPN)ELISA Kit
ESRP1 Antibody Blocking Peptide Penguin(PEN)ELISA Kit
PEX5L Antibody Blocking Peptide Peflin(PEF1)ELISA Kit
FAH Antibody Blocking Peptide PDZ And LIM Domain Protein 1(PDLIM1)ELISA Kit
CNTN5 Antibody Blocking Peptide Paralemmin 3(PALM3)ELISA Kit
Recombinant mouse FcRn protein, C-His-Avi (HEK293) Paralemmin 2(PALM2)ELISA Kit
FNIP1 Antibody Blocking Peptide Paralemmin(PALM)ELISA Kit
HLTF Antibody Blocking Peptide Papilin(PAPLN)ELISA Kit
DRC3 Antibody Blocking Peptide Pannexin 3(PANX3)ELISA Kit
MAGOH/Mago nashi homolog 2 Antibody Blocking Peptide Pannexin 2(PANX2)ELISA Kit
MMP26 Antibody Blocking Peptide Pannexin 1(PANX1)ELISA Kit
ADCY5 Antibody Blocking Peptide Palmdelphin(PALMD)ELISA Kit
SLAMF8 Antibody Blocking Peptide Paladin(PALD)ELISA Kit
SLC9B1 Antibody Blocking Peptide p53 Upregulated Modulator Of Apoptosis(PUMA)ELISA Kit
C1orf53 Antibody Blocking Peptide p21 Protein Activated Kinase 4(PAK4)ELISA Kit
NR2E1 Antibody Blocking Peptide O-Fucosylpeptide-3-Beta-N-Acetylglucosaminyltransferase(RFNG)ELISA Kit
INHA Antibody Blocking Peptide O-Sialoglycoprotein Endopeptidase(OSGEP)ELISA Kit
LBX1 Antibody Blocking Peptide Otubain 2(OTUB2)ELISA Kit
SPATA16 Antibody Blocking Peptide Otubain 1(OTUB1)ELISA Kit
RUVBL1 Antibody Blocking Peptide Osterix(OSX)ELISA Kit
FGF20 Antibody Blocking Peptide Opiorphin(OPI)ELISA Kit
SLC5A3 Antibody Blocking Peptide O-6-Methylguanine DNA Methyltransferase(MGMT)ELISA Kit
IL1A Antibody Blocking Peptide N-Acetyltransferase 9(NAT9)ELISA Kit
标准品的分类:
三叶豆紫檀苷6807-83-61.鉴别用对照品:用于药品鉴别项下的红外、薄层色谱等鉴别;
2.检测用对照品:用于药品检查项下有关物质、溶出度、含量均匀度的检测,一般对照品纯度不低于98.5%
3.含量测定用对照品:用于含量检测,纯度要求高,99%以上。
4.熔点标准品:化学性质稳定,熔点固定、熔程短的一类标准物质,用于熔点温度计的校正,如:偶氮苯(mp:69℃)、磺胺(mp:166℃)、糖精( mp:229℃ )、酚酞( mp:263℃ )
5.溶出度校正片:为特殊制备的某种药片,通常为水杨酸校正片,用于溶出度仪的校正。
风险提示:丁香通仅作为第三方平台,为商家信息发布提供平台空间。用户咨询产品时请注意保护个人信息及财产安全,合理判断,谨慎选购商品,商家和用户对交易行为负责。对于医疗器械类产品,请先查证核实企业经营资质和医疗器械产品注册证情况。
技术资料暂无技术资料 索取技术资料
三叶豆紫檀苷6807-83-6
¥500 - 3800









