相关产品推荐更多 >
万千商家帮你免费找货
0 人在求购买到急需产品
- 详细信息
- 文献和实验
- 技术资料
- 库存:
36
- 英文名:
Norisoboldine
- CAS号:
23599-69-1
- 保质期:
2年
- 供应商:
上海联祖
- 保存条件:
4℃冷藏、密封、避光
- 规格:
20mg/支
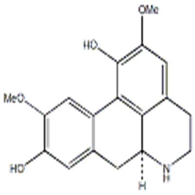
去甲异波尔定23599-69-1
| 产品中文名称 | 去甲异波尔定 | 英文名 | Norisoboldine |
| CAS登录号 | 23599-69-1 | 货号 | LZ-BP2524 |
| 分子式 | C18H19NO4 | 纯度 | HPLC≥98% |
| 分子量 | 313.35 | 分析方法 | HPLC-DAD or/and HPLC-ELSD |
| 鉴定方法 | Mass, NMR | 规格 | 20mg/支 |
规格:20mg/支
提取来源:樟科山胡椒属植物乌药Lindera aggregata (Sims) Kosterm根皮及树皮提出的有效成分
纯度:HPLC≥98%
分析方法: HPLC-DAD or/and HPLC-ELSD
鉴定方法: 质谱(Mass), 核磁(NMR)
贮存条件:4℃冷藏、密封、避光
有效期:2年
供货能力:大量现货
绝对定量的标准品如何制作?
绝对定量是指在实时荧光定量 PCR 实验中,对已知量的样本进行连续稀释后扩增,生成标准曲线。然后通过与此曲线比较,定量未知样本,绝对定量可测定靶点的实际拷贝数。
包括以下三个步骤:
(1) 将标准品稀释成不同浓度,作为模板进行扩增;
(2) 以标准品拷贝数的对数值为横坐标,以测得的Ct值为纵坐标绘制标准曲线;
(3) 根据未知样品的Ct值,即可在标准曲线中获得样品的拷贝数。
HSH2D Antibody Blocking Peptide Bone Marrow Stromal Cell Antigen 1(BST1)ELISA Kit
ELK4 Antibody Blocking Peptide Osteosarcoma Amplified 9(OS9)ELISA Kit
C9orf93 Antibody Blocking Peptide Periostin(POSTN)ELISA Kit
phospho-MEF2C (Thr20) Antibody Blocking Peptide Muscle, Skeletal, Receptor Tyrosine Kinase(MUSK)ELISA Kit
MECR Antibody Blocking Peptide Troponin T Type 1, Slow Skeletal(TNNT1)ELISA Kit
C1orf185 Antibody Blocking Peptide Troponin I Type 1, Slow Skeletal(TNNI1)ELISA Kit
Phospho-PDPK1 (Tyr9) Antibody Blocking Peptide Troponin I Type 2, Fast Skeletal(TNNI2)ELISA Kit
PLAA Antibody Blocking Peptide Actin Alpha 1, Skeletal Muscle(ACTa1)ELISA Kit
COPS3 Antibody Blocking Peptide Osteocalcin(OC)ELISA Kit
EB2/End binding protein 2 Antibody Blocking Peptide Bone Morphogenetic Protein Receptor II(BMPRII)ELISA Kit
DPCD Antibody Blocking Peptide Bone Morphogenetic Protein Receptor 1B(BMPR1B)ELISA Kit
CCDC116 Antibody Blocking Peptide Bone Morphogenetic Protein Receptor 1A(BMPR1A)ELISA Kit
RNF213 Antibody Blocking Peptide Bone Morphogenetic Protein 7(BMP7)ELISA Kit
MAP4K1 Antibody Blocking Peptide Bone Morphogenetic Protein 4(BMP4)ELISA Kit
Recombinant mouse Thy-1 protein, His Bone Morphogenetic Protein 3(BMP3)ELISA Kit
PLEKHM2/SKIP Antibody Blocking Peptide Bone Morphogenetic Protein 2(BMP2)ELISA Kit
CCDC47 Antibody Blocking Peptide Bone Morphogenetic Protein 10(BMP10)ELISA Kit
Anillin Antibody Blocking Peptide Glutaredoxin 5(GLRX5)ELISA Kit
标准溶液配制常见问题
去甲异波尔定23599-69-11. 标准品的取用一般有称量法和容量法,在称量的时候有什么注意事项呢?
根据需要称量的重量和允许误差选择合适的天平。如称量少于10mg的产品,建议使用十万分之一的分析天平。在购买产品时也要注意产品的重量能否满足实验需求。以下是一些建议:
a.称量前:建议将产品直立放置一段时间(放至室温),使产品全部集中到底部,便于取用。尤其是黏稠状物质,可以倾斜至与竖直方向呈45度,使产品集中在瓶底边缘。
b.粉末或晶体:建议采用增量法称量,准备合适的干燥容器,天平归零后取产品放至容器内,得出容器中用于配制标准溶液的物质重量。
c.粘稠状或液体:建议采用增量法称量,先称量原产品连瓶一起的重量,再用适当器具移取所需标准品至容器中,称量移取后的产品连瓶重量,其差值为实际用于配制标准溶液的重量。
d.如果瓶盖上粘有物质,可以在减量法称量时连瓶盖一起称量,移取产品时注意使用干燥的器具
风险提示:丁香通仅作为第三方平台,为商家信息发布提供平台空间。用户咨询产品时请注意保护个人信息及财产安全,合理判断,谨慎选购商品,商家和用户对交易行为负责。对于医疗器械类产品,请先查证核实企业经营资质和医疗器械产品注册证情况。
文献和实验生物碱是天然中药材中分量很重的一类活性成分,多具有显著而特殊的生理活性,在消炎、镇痛、降血压、抗癌等发面表现出越来越重要的药用价值。传统生物碱的分离方法主要有:浸渍、煎煮、溶剂回流、渗漉等,以及新开发的超临界流体萃取技术,微波辅助提取技术,超声辅助提取技术,双水相萃取技术等。成都瑞芬思生物科技有限公司对生物碱这一类物质的分离利用常规方法,总结了一些分离技巧,获得生物碱分离纯化的高效的方法,不但可以提高产品纯度,也可以提高收率。以去甲异波尔定这个生物碱为例,去甲异波尔定属于异喹啉生物碱,按照常
.1 65.0 65.0 66.4 69.1 66.8 66.4 67.5 68.1 69.7 62.5 64.3 66.3 66.6 67.8
的命名 直链烷烃按碳原子数叫“正某烷”。十个及十个碳原子以下的烷烃分别用天干(甲、乙、丙、丁、戊、己、庚、辛、壬、癸)表示。例如,CH4四烷,C2H6乙烷,C3H8丙烷……C10H22癸烷。对含有十个碳原子以上的烷烃用汉语数字命名。例如,C11H24十一烷,C12H26十二烷,C20H42二十烷等。 2.含侧链烷烃的命名 且无其它支链的烷烃,则按碳原子总数叫做异某烷。例如, (二)系统命名法 对构造比较复杂的化合物的命名
技术资料暂无技术资料 索取技术资料










