相关产品推荐更多 >
万千商家帮你免费找货
0 人在求购买到急需产品
- 详细信息
- 文献和实验
- 技术资料
- 库存:
25
- 英文名:
Angoroside C
- CAS号:
115909-22-3
- 保质期:
2年
- 供应商:
上海联祖
- 保存条件:
4℃冷藏、密封、避光
- 规格:
20mg/支
绝对定量是指在实时荧光定量 PCR 实验中,对已知量的样本进行连续稀释后扩增,生成标准曲线。然后通过与此曲线比较,定量未知样本,绝对定量可测定靶点的实际拷贝数。
包括以下三个步骤:
(1) 将标准品稀释成不同浓度,作为模板进行扩增;
(2) 以标准品拷贝数的对数值为横坐标,以测得的Ct值为纵坐标绘制标准曲线;
(3) 根据未知样品的Ct值,即可在标准曲线中获得样品的拷贝数。
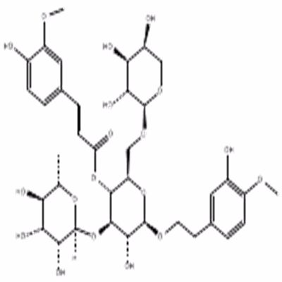
安格洛苷C115909-22-3
| 产品中文名称 | 安格洛苷C | 英文名 | Angoroside C |
| CAS登录号 | 115909-22-3 | 货号 | LZ-BP2559 |
| 分子式 | C36H48O19 | 纯度 | HPLC≥98% |
| 分子量 | 784.28 | 分析方法 | HPLC-DAD or/and HPLC-ELSD |
| 鉴定方法 | Mass, NMR | 规格 | 20mg/支 |
规格:20mg/支
外观:黄色粉末
提取来源:玄参科植物玄参Scrophularia ningpoensis Hemsl.
纯度:HPLC≥98%
分析方法: HPLC-DAD or/and HPLC-ELSD
鉴定方法: 质谱(Mass), 核磁(NMR)
贮存条件:4℃冷藏、密封、避光
有效期:2年
供货能力:大量现货
DNA标准品-
纯化的PCR扩增片段或含有目的基因的克隆质粒。
优点:易制备,储存稳定;
缺点:缺少逆转录反应过程。
-RNA标准品-
目的基因的体外转录RNA。
优点:结合逆转录反应过程;
缺点:制备时间长,不稳定。
标准溶液配制常见问题
1. 标准品的取用一般有称量法和容量法,在称量的时候有什么注意事项呢?
根据需要称量的重量和允许误差选择合适的天平。如称量少于10mg的产品,建议使用十万分之一的分析天平。在购买产品时也要注意产品的重量能否满足实验需求。以下是一些建议:
a.称量前:建议将产品直立放置一段时间(放至室温),使产品全部集中到底部,便于取用。尤其是黏稠状物质,可以倾斜至与竖直方向呈45度,使产品集中在瓶底边缘。
b.粉末或晶体:建议采用增量法称量,准备合适的干燥容器,天平归零后取产品放至容器内,得出容器中用于配制标准溶液的物质重量。
安格洛苷C115909-22-3c.粘稠状或液体:建议采用增量法称量,先称量原产品连瓶一起的重量,再用适当器具移取所需标准品至容器中,称量移取后的产品连瓶重量,其差值为实际用于配制标准溶液的重量。
d.如果瓶盖上粘有物质,可以在减量法称量时连瓶盖一起称量,移取产品时注意使用干燥的器具
phospho-c-Raf (Ser296) Antibody Blocking Peptide Anti-Myelin Oligodendrocyte Glycoprotein Antibody(Anti-MOG)ELISA Kit
REG3A Antibody Blocking Peptide Antithrombin(AT)ELISA Kit
Phospho-NOS3 (Thr495) Antibody Blocking Peptide Anti Mullerian Hormone(AMH)ELISA Kit
INHBB Antibody Blocking Peptide Antizyme Inhibitor 1(AZIN1)ELISA Kit
Phospho-p63 (Ser395) Antibody Blocking Peptide Anti-Gliadin Antibody(AGA)ELISA Kit
HDAC11 Antibody Blocking Peptide Antidiuretic Hormone(ADH)ELISA Kit
FAM83F Antibody Blocking Peptide Acid Phosphatase 5, Tartrate Resistant(ACP5)ELISA Kit
ZNF434/HCCS5 Antibody Blocking Peptide Anti-Thyroid Microsome Antibody(ATMA)ELISA Kit
HHLA1 Antibody Blocking Peptide Anti-Methylglyoxal Antibody(AMA)ELISA Kit
TRIM50 Antibody Blocking Peptide Utrophin(UTRN)ELISA Kit
Naca Antibody Blocking Peptide Anti-Ribosomal RNP Antibody(Anti-rRNP)ELISA Kit
FGFR3 Antibody Blocking Peptide Anti-Ribosomal P Protein Antibody(ARPA)ELISA Kit
PLK5 Antibody Blocking Peptide Anti-Ribonucleoprotein Antibody(Anti-RNP)ELISA Kit
COX7A2 Antibody Blocking Peptide Anti-Glycoprotein 210 Antibody(AGPA)ELISA Kit
PKP1 Antibody Blocking Peptide Anti-Glutamic Acid Decarboxylase Antibodies(Anti-GAD)ELISA Kit
SLC16A4 Antibody Blocking Peptide Anti-Liver/Kidney Microsomal Antibody(Anti-LKMA)ELISA Kit
MTG1 Antibody Blocking Peptide Anti-Single Stranded DNA Antibody(Anti-ssDNA)ELISA Kit
风险提示:丁香通仅作为第三方平台,为商家信息发布提供平台空间。用户咨询产品时请注意保护个人信息及财产安全,合理判断,谨慎选购商品,商家和用户对交易行为负责。对于医疗器械类产品,请先查证核实企业经营资质和医疗器械产品注册证情况。
文献和实验再获新进展!Mol Cell:施一公团队完善人类剪接体结构「地图」,揭示外显子连接机制
)已经与活性位点对接,以保证 3' 外显子序列锚定在 PRP8 上。步骤 II 因子 FAM192A 则与 U2 snRNA 和分支位点二联体相接触。 图片来源:Molecular Cell 在 pre-C*-I 向 pre-C*-II 过渡过程中,对步骤 II 因子 Cactin、FAM32A、PRKRIP1 和 SLU7 进行招募。值得注意的是,RNA 解旋酶 PRP22 在 pre-C*-I、pre-C*-II 和 C* 复合物中的位置截然不同,提示其在 3' 外显子结合和校对中
施一公团队再获新进展!Mol Cell:完善人类剪接体结构「地图」,揭示外显子连接机制
)已经与活性位点对接,以保证 3' 外显子序列锚定在 PRP8 上。步骤 II 因子 FAM192A 则与 U2 snRNA 和分支位点二联体相接触。 图片来源:Molecular Cell 在 pre-C*-I 向 pre-C*-II 过渡过程中,对步骤 II 因子 Cactin、FAM32A、PRKRIP1 和 SLU7 进行招募。值得注意的是,RNA 解旋酶 PRP22 在 pre-C*-I、pre-C*-II 和 C* 复合物中的位置截然不同,提示其在 3' 外显子结合和校对中
,促进解离。 4、向悬浮液中加入 50μl 脱氧核糖核酸酶(2mg / ml),并在 20°C-22°C 下孵育1min。 5、加入 8ml 预冷的 DMEM/F12(含 10%FBS)终止消化。 6、将悬浮液经过 70μm 细胞筛网过滤,收集解离的细胞。 7、将过滤的细胞悬液在 4℃ 条件下 220g 离心 5min。 8、用 1mlDMEM / F12(20°C-22°C)冲洗细胞一次,离心收集细胞沉淀后,加入500μl DMEM / F12(20°C-22°C)重悬细胞,并在细胞计数后,将细胞
技术资料暂无技术资料 索取技术资料









