相关产品推荐更多 >
万千商家帮你免费找货
0 人在求购买到急需产品
- 详细信息
- 文献和实验
- 技术资料
- 库存:
27
- 英文名:
(R)Ginsenoside Rg3
- CAS号:
38243-03-7
- 保质期:
2年
- 供应商:
上海联祖
- 保存条件:
4℃冷藏、密封、避光
- 规格:
20mg/支
| 产品名称 | 英文名称 | 规格 | 货号 |
| (R)人参皂苷Rg338243-03-7 | (R)Ginsenoside Rg3 | 20 mg/支 | LZ-BP2595 |
商品介绍:
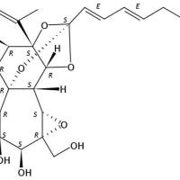
产品名称:(R)人参皂苷Rg3
中文别名: (R)人参皂甙Rg3
英文名: (R)Ginsenoside Rg3
英文别名: beta-D-Glucopyranoside,(3beta,12beta)-12,20-dihydroxydammar-24-en-3-yl 2-O-beta-D-glucopyranosyl;GINSENOSIDE RG3;R-form-Ginsenoside Rg3
CAS登录号: 38243-03-7
分子式:C42H72O13
分子量: 785.01
规格: 20 mg/支
分子结构:
外观:白色粉末
纯度: ≥ 98%
用途:用于含量测定/鉴定/药理实验等。
提取来源: 五加科植物人参Panax ginseng C.A.Mey.的根
溶解性: 可溶于水,不溶于、氯仿。
熔点: 315-318℃
旋光度: 补充中
鉴别方法: NMR; MS
推荐测定方法: 补充中
中国药典测定方法: 无
药理药效: 抗癌、提高免疫功能、调节神经系统。
贮存条件: 4℃冷藏、密封、避光
有效期: 2年
供货能力: 大量现货
标准品的选择原则:
1.考虑标准品的稳定性
如:阿莫西林的对照品选阿莫西林三水合物(其稳定性优于阿莫西林及其一水合物)。
2.考虑盐基、酸根的不同
如:某些药物杂质对照品,有些做成盐酸盐,有些为游离碱,在选择和使用过程也要注意哪个适合自己。若用于测含量要考虑换算因子。
3.用作红外鉴别的对照品要考虑晶型的一致。(晶型不一致、红外很有可能不一致)
4.官方对照品往往用于定位或含量检测,往往不建议用作晶型鉴定、或红外标准图谱(官方对照品的制备工艺很大程度与生产工艺不一致,有可能是HPLC制备纯化得到的,晶型无法保证一致性,有少数产品官方也会提供产品对照光谱,国内也有红外光谱集)
Phospho-BTK (Tyr551) Antibody Blocking Peptide Maspin
KDM4D Antibody Blocking Peptide Breast Cancer Susceptibility Protein 2(BRCA2)ELISA Kit
MTCH2 Antibody Blocking Peptide Breast Cancer Susceptibility Protein 1(BRCA1)ELISA Kit
GSTO1 Antibody Blocking Peptide Breast Cancer Anti Estrogen Resistance 1(BCAR1)ELISA Kit
HSP-60 Antibody Blocking Peptide Lactoferrin(LTF)ELISA Kit
LMAN1 Antibody Blocking Peptide Lactase(LCT)ELISA Kit
DENND3 Antibody Blocking Peptide Lactate Dehydrogenase C(LDHC)ELISA Kit
NCAPG Antibody Blocking Peptide Lactate Dehydrogenase B(LDHB)ELISA Kit
Phospho-MAP2 (Thr1613/1619) Antibody Blocking Peptide Carnitine Palmitoyltransferase 2, Mitochondrial(CPT2)ELISA Kit
MAT2A Antibody Blocking Peptide Carnitine Palmitoyltransferase 1B, Muscle(CPT1B)ELISA Kit
phospho-CRYAB (Ser59) Antibody Blocking Peptide Carnitine Palmitoyltransferase 1A, Liver(CPT1A)ELISA Kit
NPBWR2 Antibody Blocking Peptide Carnitine Transporter 2(CT2)ELISA Kit
Melamine/BSA Carnitine Acetyltransferase(CRAT)ELISA Kit
KLK10 Antibody Blocking Peptide Carnitine-O-Octanoyltransferase(CORT)ELISA Kit
LRP5L Antibody Blocking Peptide Fusion(FUS)ELISA Kit
OGG1 Antibody Blocking Peptide Solute Carrier Family 3, Member 2(SLC3A2)ELISA Kit
CD7 Antibody Blocking Peptide Solute Carrier Family 39, Member 6(SLC39A6)ELISA Kit
phospho-PRKAA1 (Ser496) Antibody Blocking Peptide Solute Carrier Family 30 Member 8(SLC30A8)ELISA Kit
标准品的分类:
(R)人参皂苷Rg338243-03-71.鉴别用对照品:用于药品鉴别项下的红外、薄层色谱等鉴别;
2.检测用对照品:用于药品检查项下有关物质、溶出度、含量均匀度的检测,一般对照品纯度不低于98.5%
3.含量测定用对照品:用于含量检测,纯度要求高,99%以上。
4.熔点标准品:化学性质稳定,熔点固定、熔程短的一类标准物质,用于熔点温度计的校正,如:偶氮苯(mp:69℃)、磺胺(mp:166℃)、糖精( mp:229℃ )、酚酞( mp:263℃ )
5.溶出度校正片:为特殊制备的某种药片,通常为水杨酸校正片,用于溶出度仪的校正。
风险提示:丁香通仅作为第三方平台,为商家信息发布提供平台空间。用户咨询产品时请注意保护个人信息及财产安全,合理判断,谨慎选购商品,商家和用户对交易行为负责。对于医疗器械类产品,请先查证核实企业经营资质和医疗器械产品注册证情况。
文献和实验指在 DNA双链之一部分,由与其互补的 RNA与之结合而产生的核酸分子的环形结构。为与由 DNA而成的 D环相对应的名称。因 RNA、 DNA杂合的双链比 DNA双链稳定,所以在比 DNA的双链开始分开时稍高的温度下, RNA分子仍与 DNA的互补部分形成稳定的双链。即如图 A所示, RNA与具同一性质的 DNA部分置换,形成 R环。在基因 DNA具有外显子 -内含子( Exons- introns)结构时,则如图 B所示只在内含子部分的 DNA以双链环残存着,产生与 Excons数相应
R因子 R factor 抗药因子或抗多药剂因子的简称。 R是 resista- nce一词的首字。它是一种细胞质性的质粒,这种质粒具有使寄主菌对链霉素、氯霉素、四环素等抗菌素或磺胺剂产生抗药性的基因群,和 F因子一样,通过接台进行转移,获得该因子的细菌同时获得对多种药剂的抗性,因而给治疗带来很大麻烦。 R因子的实体为环状双链 DNA分子。自从 50年代后半期在日本发现 R因子以来,渡道力等( 1969)曾对此进行了研究。其它国家也分离了许多 R因子。现在已知有各式
r选择 r-selection 由 R.H.MacArthur和 E.O.wilson( 1967)创造的术语. r选择与 K选择是对立的.内部的自然增加率 r有利于自然的增大只限于种群密度远远低于环境容纳能力的时候,在种群维持接近于环境容纳能力的高密度水平时.而高效率地利用有限的资源毋宁说选择会有利于少数后代确保其存活的基因型。基于这一认识,根据 Logistic曲线.前者特命名为 r选择,后者命名为 K选择. r选择是指对在一个新的栖息场所(如岛屿)定居过程中,或对不断变动其不安
技术资料暂无技术资料 索取技术资料









