相关产品推荐更多 >
万千商家帮你免费找货
0 人在求购买到急需产品
- 详细信息
- 文献和实验
- 技术资料
- 库存:
31
- 英文名:
Chrysophanol-8-O-β-D-glucopyranoside
- CAS号:
13241-28-6
- 保质期:
2年
- 供应商:
上海联祖
- 保存条件:
4℃冷藏、密封、避光
- 规格:
20mg/支
商品属性:
商品介绍:
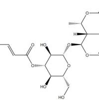
产品名称:大黄酚-8-O-葡萄糖苷
中文别名:
英文名: Chrysophanol-8-O-β-D-glucopyranoside
英文别名: 补充中
CAS登录号: 13241-28-6
分子式: C21H20O9
分子量: 416.38
规格: 20 mg/支
分子结构:
外观:黄色粉末
纯度: ≥98%
用途:用于含量测定/鉴定/药理实验等
提取来源: 大黄
熔点: · 248-249
旋光度: 补充中
鉴别方法: NMR,MS
贮存条件: 4℃冷藏、密封、避光
有效期: 2年
供货能力: 现货
标准品的选择原则:
1.考虑标准品的稳定性
如:阿莫西林的对照品选阿莫西林三水合物(其稳定性优于阿莫西林及其一水合物)。
2.考虑盐基、酸根的不同
如:某些药物杂质对照品,有些做成盐酸盐,有些为游离碱,在选择和使用过程也要注意哪个适合自己。若用于测含量要考虑换算因子。
3.用作红外鉴别的对照品要考虑晶型的一致。(晶型不一致、红外很有可能不一致)
4.官方对照品往往用于定位或含量检测,往往不建议用作晶型鉴定、或红外标准图谱(官方对照品的制备工艺很大程度与生产工艺不一致,有可能是HPLC制备纯化得到的,晶型无法保证一致性,有少数产品官方也会提供产品对照光谱,国内也有红外光谱集)
公司正在出售的产品:
Bcl-2 Antibody Blocking Peptide Ferredoxin 1(FDX1)ELISA Kit
CACNB3/L-type Ca++ CPβ3 Antibody Blocking Peptide Regulated On Activation In Normal T-Cell Expressed And Secreted(RANTES)ELISA Kit
CTR9 Antibody Blocking Peptide Azurocidin 1(AZU1)ELISA Kit
DIDO1 Antibody Blocking Peptide Legumain(LGMN)ELISA Kit
ARHGEF25 Antibody Blocking Peptide Asparaginase(ASPG)ELISA Kit
FOXP3 Antibody Blocking Peptide Asparagine Synthetase(ASNS)ELISA Kit
HPV16-E7 Antibody Blocking Peptide Aspartyl Aminopeptidase(ASPEP)ELISA Kit
Factor VIII B chain Antibody Blocking Peptide Aspartylglucosaminidase(AGA)ELISA Kit
BOB1 Antibody Blocking Peptide Aspartate Aminotransferase 2(AST2)ELISA Kit
RBPMS Antibody Blocking Peptide Aspartate Aminotransferase(AST)ELISA Kit
FbxL7 Antibody Blocking Peptide Aspartoacylase 3(ACY3)ELISA Kit
SPRY1 Antibody Blocking Peptide Aspartate Carbamoyltransferase(ATCase)ELISA Kit
PATL2 Antibody Blocking Peptide Aspartate Beta Hydroxylase(ASPH)ELISA Kit
phospho-AXL (Tyr698+Tyr702+Tyr703) Antibody Blocking Peptide Specificity Protein 1(Sp1)ELISA Kit
ATP7A Antibody Blocking Peptide Glycocalicin(GC)ELISA Kit
标准品的分类:
大黄酚-8-O-葡萄糖苷13241-28-61.鉴别用对照品:用于药品鉴别项下的红外、薄层色谱等鉴别;
2.检测用对照品:用于药品检查项下有关物质、溶出度、含量均匀度的检测,一般对照品纯度不低于98.5%
3.含量测定用对照品:用于含量检测,纯度要求高,99%以上。
4.熔点标准品:化学性质稳定,熔点固定、熔程短的一类标准物质,用于熔点温度计的校正,如:偶氮苯(mp:69℃)、磺胺(mp:166℃)、糖精( mp:229℃ )、酚酞( mp:263℃ )
5.溶出度校正片:为特殊制备的某种药片,通常为水杨酸校正片,用于溶出度仪的校正。
| 产品名称 | 英文名称 | 规格 | 货号 |
| 大黄酚-8-O-葡萄糖苷13241-28-6 | Chrysophanol-8-O-β-D-glucopyranoside | 20 mg/支 | LZ-BP2615 |
商品介绍:
产品名称:大黄酚-8-O-葡萄糖苷
中文别名:
英文名: Chrysophanol-8-O-β-D-glucopyranoside
英文别名: 补充中
CAS登录号: 13241-28-6
分子式: C21H20O9
分子量: 416.38
规格: 20 mg/支
分子结构:
外观:黄色粉末
纯度: ≥98%
用途:用于含量测定/鉴定/药理实验等
提取来源: 大黄
熔点: · 248-249
旋光度: 补充中
鉴别方法: NMR,MS
贮存条件: 4℃冷藏、密封、避光
有效期: 2年
供货能力: 现货
标准品的选择原则:
1.考虑标准品的稳定性
如:阿莫西林的对照品选阿莫西林三水合物(其稳定性优于阿莫西林及其一水合物)。
2.考虑盐基、酸根的不同
如:某些药物杂质对照品,有些做成盐酸盐,有些为游离碱,在选择和使用过程也要注意哪个适合自己。若用于测含量要考虑换算因子。
3.用作红外鉴别的对照品要考虑晶型的一致。(晶型不一致、红外很有可能不一致)
4.官方对照品往往用于定位或含量检测,往往不建议用作晶型鉴定、或红外标准图谱(官方对照品的制备工艺很大程度与生产工艺不一致,有可能是HPLC制备纯化得到的,晶型无法保证一致性,有少数产品官方也会提供产品对照光谱,国内也有红外光谱集)
Bcl-2 Antibody Blocking Peptide Ferredoxin 1(FDX1)ELISA Kit
CACNB3/L-type Ca++ CPβ3 Antibody Blocking Peptide Regulated On Activation In Normal T-Cell Expressed And Secreted(RANTES)ELISA Kit
CTR9 Antibody Blocking Peptide Azurocidin 1(AZU1)ELISA Kit
DIDO1 Antibody Blocking Peptide Legumain(LGMN)ELISA Kit
ARHGEF25 Antibody Blocking Peptide Asparaginase(ASPG)ELISA Kit
FOXP3 Antibody Blocking Peptide Asparagine Synthetase(ASNS)ELISA Kit
HPV16-E7 Antibody Blocking Peptide Aspartyl Aminopeptidase(ASPEP)ELISA Kit
Factor VIII B chain Antibody Blocking Peptide Aspartylglucosaminidase(AGA)ELISA Kit
BOB1 Antibody Blocking Peptide Aspartate Aminotransferase 2(AST2)ELISA Kit
RBPMS Antibody Blocking Peptide Aspartate Aminotransferase(AST)ELISA Kit
FbxL7 Antibody Blocking Peptide Aspartoacylase 3(ACY3)ELISA Kit
SPRY1 Antibody Blocking Peptide Aspartate Carbamoyltransferase(ATCase)ELISA Kit
PATL2 Antibody Blocking Peptide Aspartate Beta Hydroxylase(ASPH)ELISA Kit
phospho-AXL (Tyr698+Tyr702+Tyr703) Antibody Blocking Peptide Specificity Protein 1(Sp1)ELISA Kit
ATP7A Antibody Blocking Peptide Glycocalicin(GC)ELISA Kit
标准品的分类:
大黄酚-8-O-葡萄糖苷13241-28-61.鉴别用对照品:用于药品鉴别项下的红外、薄层色谱等鉴别;
2.检测用对照品:用于药品检查项下有关物质、溶出度、含量均匀度的检测,一般对照品纯度不低于98.5%
3.含量测定用对照品:用于含量检测,纯度要求高,99%以上。
4.熔点标准品:化学性质稳定,熔点固定、熔程短的一类标准物质,用于熔点温度计的校正,如:偶氮苯(mp:69℃)、磺胺(mp:166℃)、糖精( mp:229℃ )、酚酞( mp:263℃ )
5.溶出度校正片:为特殊制备的某种药片,通常为水杨酸校正片,用于溶出度仪的校正。
风险提示:丁香通仅作为第三方平台,为商家信息发布提供平台空间。用户咨询产品时请注意保护个人信息及财产安全,合理判断,谨慎选购商品,商家和用户对交易行为负责。对于医疗器械类产品,请先查证核实企业经营资质和医疗器械产品注册证情况。
文献和实验相关实验
化学课本下册第22、23、25、26、27章。 (6)对应生物化学课本下册第28、29章。 (7)对应生物化学课本下册第30、31、32章。 (8)对应生物化学课本下册第34、35章, (9)对应生物化学课本下册第36、37章。 *(10)第二十章是应使用本笔记的同学要求而添加的,对应课本18、21章。 笔记概要: 本笔记来源于本人一些学长及自己整理的考研笔记,其中部分内容还来源于网上的一些资料,内容较为充实,适合以王镜岩《生物化学》第三版为考研参考教材的各高校的复习考研
技术资料暂无技术资料 索取技术资料
大黄酚-8-O-葡萄糖苷13241-28-6
¥500 - 3800










