相关产品推荐更多 >
万千商家帮你免费找货
0 人在求购买到急需产品
- 详细信息
- 文献和实验
- 技术资料
- 库存:
25
- 英文名:
Sodium Danshensu
- CAS号:
67920-52-9
- 保质期:
2年
- 供应商:
上海联祖
- 保存条件:
4℃冷藏、密封、避光
- 规格:
20mg/支
绝对定量的标准品如何制作?
绝对定量是指在实时荧光定量 PCR 实验中,对已知量的样本进行连续稀释后扩增,生成标准曲线。然后通过与此曲线比较,定量未知样本,绝对定量可测定靶点的实际拷贝数。
包括以下三个步骤:
(1) 将标准品稀释成不同浓度,作为模板进行扩增;
(2) 以标准品拷贝数的对数值为横坐标,以测得的Ct值为纵坐标绘制标准曲线;
(3) 根据未知样品的Ct值,即可在标准曲线中获得样品的拷贝数。
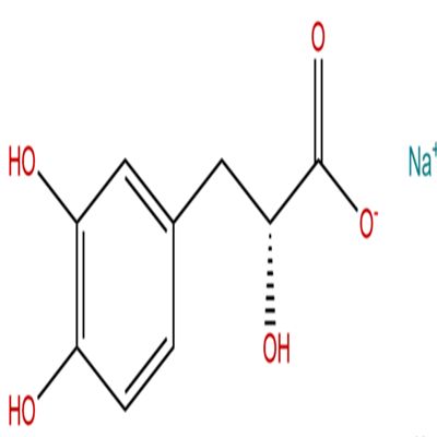
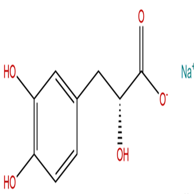
分子结构:
外观:白色针状结晶
纯度: ≥ 98%
用途:用于含量测定/鉴定/药理实验等。
提取来源: 唇形科植物丹参 Salvia miltiorrhiza Bge。
溶解性: 溶于甲醇、水,不溶于氯仿、。
熔点: 255~258℃
旋光度: 补充中…
鉴别方法: NMR; MS
推荐测定方法: HPLC法,以十八烷基硅烷键合硅胶为填料,以甲醇-1%磷酸(15:85)为流动相,检测波长为280nm。
中国药典测定方法: 无
药理药效: 具有抑制血小板聚集及抗ᴒᴒ
DNA标准品-
纯化的PCR扩增片段或含有目的基因的克隆质粒。
优点:易制备,储存稳定;
缺点:缺少逆转录反应过程。
-RNA标准品-
目的基因的体外转录RNA。
优点:结合逆转录反应过程;
缺点:制备时间长,不稳定。
标准溶液配制常见问题
1. 标准品的取用一般有称量法和容量法,在称量的时候有什么注意事项呢?
根据需要称量的重量和允许误差选择合适的天平。如称量少于10mg的产品,建议使用十万分之一的分析天平。在购买产品时也要注意产品的重量能否满足实验需求。以下是一些建议:
a.称量前:建议将产品直立放置一段时间(放至室温),使产品全部集中到底部,便于取用。尤其是黏稠状物质,可以倾斜至与竖直方向呈45度,使产品集中在瓶底边缘。
b.粉末或晶体:建议采用增量法称量,准备合适的干燥容器,天平归零后取产品放至容器内,得出容器中用于配制标准溶液的物质重量。
丹参素钠67920-52-9c.粘稠状或液体:建议采用增量法称量,先称量原产品连瓶一起的重量,再用适当器具移取所需标准品至容器中,称量移取后的产品连瓶重量,其差值为实际用于配制标准溶液的重量。
d.如果瓶盖上粘有物质,可以在减量法称量时连瓶盖一起称量,移取产品时注意使用干燥的器具
FbxL12 Antibody Blocking Peptide Reticulon 2(RTN2)ELISA Kit
C5orf36 Antibody Blocking Peptide Reticulon 1(RTN1)ELISA Kit
FAM162B Antibody Blocking Peptide Clathrin Interactor 1(CLINT1)ELISA Kit
GADD34 Antibody Blocking Peptide Reticulocalbin 3(RCN3)ELISA Kit
C19orf44 Antibody Blocking Peptide Reticulocalbin 2(RCN2)ELISA Kit
5-HT1A Antibody Blocking Peptide Reticulocalbin 1(RCN1)ELISA Kit
FAM107A Antibody Blocking Peptide Plectin(PLEC)ELISA Kit
BAX Antibody Blocking Peptide Advanced Glycosylation End Product Specific Receptor(AGER)ELISA Kit
SLC25A42 Antibody Blocking Peptide Advanced Glycation End Product(AGE)ELISA Kit
TUSC2 Antibody Blocking Peptide Alkylglycerol Monooxygenase(AGMO)ELISA Kit
PCDHGA1 Antibody Blocking Peptide Peripheral Myelin Protein 22(PMP22)ELISA Kit
DOCK3 Antibody Blocking Peptide Peripherin 2(PRPH2)ELISA Kit
FLOT2 Antibody Blocking Peptide Peripherin(PRPH)ELISA Kit
SPOCK2 Antibody Blocking Peptide Ectodysplasin A(EDA)ELISA Kit
MDH2 Antibody Blocking Peptide Epiplakin 1(EPPK1)ELISA Kit
SLC35D2 Antibody Blocking Peptide Exostoses Like Protein 1(EXTL1)ELISA Kit
SCRN3 Antibody Blocking Peptide Exostoses 2(EXT2)ELISA Kit
绝对定量是指在实时荧光定量 PCR 实验中,对已知量的样本进行连续稀释后扩增,生成标准曲线。然后通过与此曲线比较,定量未知样本,绝对定量可测定靶点的实际拷贝数。
包括以下三个步骤:
(1) 将标准品稀释成不同浓度,作为模板进行扩增;
(2) 以标准品拷贝数的对数值为横坐标,以测得的Ct值为纵坐标绘制标准曲线;
(3) 根据未知样品的Ct值,即可在标准曲线中获得样品的拷贝数。
丹参素钠67920-52-9
| 产品中文名称 | 丹参素钠 | 英文名 | Sodium Danshensu |
| CAS登录号 | 67920-52-9 | 货号 | LZ-BP2626 |
| 分子式 | C9H9O5Na | 纯度 | HPLC≥98% |
| 分子量 | 220.15 | 分析方法 | HPLC-DAD or/and HPLC-ELSD |
| 鉴定方法 | Mass, NMR | 规格 | 20mg/支 |
外观:白色针状结晶
纯度: ≥ 98%
用途:用于含量测定/鉴定/药理实验等。
提取来源: 唇形科植物丹参 Salvia miltiorrhiza Bge。
溶解性: 溶于甲醇、水,不溶于氯仿、。
熔点: 255~258℃
旋光度: 补充中…
鉴别方法: NMR; MS
推荐测定方法: HPLC法,以十八烷基硅烷键合硅胶为填料,以甲醇-1%磷酸(15:85)为流动相,检测波长为280nm。
中国药典测定方法: 无
药理药效: 具有抑制血小板聚集及抗ᴒᴒ
DNA标准品-
纯化的PCR扩增片段或含有目的基因的克隆质粒。
优点:易制备,储存稳定;
缺点:缺少逆转录反应过程。
-RNA标准品-
目的基因的体外转录RNA。
优点:结合逆转录反应过程;
缺点:制备时间长,不稳定。
标准溶液配制常见问题
1. 标准品的取用一般有称量法和容量法,在称量的时候有什么注意事项呢?
根据需要称量的重量和允许误差选择合适的天平。如称量少于10mg的产品,建议使用十万分之一的分析天平。在购买产品时也要注意产品的重量能否满足实验需求。以下是一些建议:
a.称量前:建议将产品直立放置一段时间(放至室温),使产品全部集中到底部,便于取用。尤其是黏稠状物质,可以倾斜至与竖直方向呈45度,使产品集中在瓶底边缘。
b.粉末或晶体:建议采用增量法称量,准备合适的干燥容器,天平归零后取产品放至容器内,得出容器中用于配制标准溶液的物质重量。
丹参素钠67920-52-9c.粘稠状或液体:建议采用增量法称量,先称量原产品连瓶一起的重量,再用适当器具移取所需标准品至容器中,称量移取后的产品连瓶重量,其差值为实际用于配制标准溶液的重量。
d.如果瓶盖上粘有物质,可以在减量法称量时连瓶盖一起称量,移取产品时注意使用干燥的器具
FbxL12 Antibody Blocking Peptide Reticulon 2(RTN2)ELISA Kit
C5orf36 Antibody Blocking Peptide Reticulon 1(RTN1)ELISA Kit
FAM162B Antibody Blocking Peptide Clathrin Interactor 1(CLINT1)ELISA Kit
GADD34 Antibody Blocking Peptide Reticulocalbin 3(RCN3)ELISA Kit
C19orf44 Antibody Blocking Peptide Reticulocalbin 2(RCN2)ELISA Kit
5-HT1A Antibody Blocking Peptide Reticulocalbin 1(RCN1)ELISA Kit
FAM107A Antibody Blocking Peptide Plectin(PLEC)ELISA Kit
BAX Antibody Blocking Peptide Advanced Glycosylation End Product Specific Receptor(AGER)ELISA Kit
SLC25A42 Antibody Blocking Peptide Advanced Glycation End Product(AGE)ELISA Kit
TUSC2 Antibody Blocking Peptide Alkylglycerol Monooxygenase(AGMO)ELISA Kit
PCDHGA1 Antibody Blocking Peptide Peripheral Myelin Protein 22(PMP22)ELISA Kit
DOCK3 Antibody Blocking Peptide Peripherin 2(PRPH2)ELISA Kit
FLOT2 Antibody Blocking Peptide Peripherin(PRPH)ELISA Kit
SPOCK2 Antibody Blocking Peptide Ectodysplasin A(EDA)ELISA Kit
MDH2 Antibody Blocking Peptide Epiplakin 1(EPPK1)ELISA Kit
SLC35D2 Antibody Blocking Peptide Exostoses Like Protein 1(EXTL1)ELISA Kit
SCRN3 Antibody Blocking Peptide Exostoses 2(EXT2)ELISA Kit
风险提示:丁香通仅作为第三方平台,为商家信息发布提供平台空间。用户咨询产品时请注意保护个人信息及财产安全,合理判断,谨慎选购商品,商家和用户对交易行为负责。对于医疗器械类产品,请先查证核实企业经营资质和医疗器械产品注册证情况。
文献和实验相关实验
【摘要】 目的:建立一种测定心舒颗粒含量的方法。方法:以Shim�pack CLC�ODS(5 μm,4.6 mm×150 mm)为分析柱,甲醇�乙腈�磷酸三乙胺水溶液(4:3:93)为流动相,检测波长281 nm,进样量10 μL。采用HPLC法测定丹参素钠的含量。结果:丹参素钠在0.26 μg-0.62 μg范围内,线性关系:Y=14372866X-137054.2(r=0.9998),平均回收率为97.32%,RSD=1.66%(n=5)。结论:本法操作简便,结果可靠,重现
技术资料暂无技术资料 索取技术资料
丹参素钠67920-52-9
¥500 - 3800









